蚀变带内矿体开采中人工假底的应用研究
Research and Application of Artificial False Bottom in Mining of Orebody in Alteration Zone
通讯作者:
收稿日期: 2018-10-29 修回日期: 2019-06-10 网络出版日期: 2019-10-29
| 基金资助: |
|
Received: 2018-10-29 Revised: 2019-06-10 Online: 2019-10-29
关键词:
Keywords:
本文引用格式
宋恩祥, 李强, 张静, 彭康.
SONG Enxiang, LI Qiang, ZHANG Jing, PENG Kang.
嵩县山金矿区矿体赋存于M1构造蚀变带中,严格受构造破碎带控制,其中Ⅰ号矿体为主矿体,其产状与M1构造蚀变带基本一致,位于构造蚀变带中下部,具有明显的侧伏特征;深部圈定的Ⅱ号盲矿体为次要矿体,位于Ⅰ号矿体下盘约20 m处,其产状与Ⅰ号矿体一致。矿区单工程矿体平均厚度为6.45 m,倾角为51°~55°,矿体平均金品位为4.13×10-6。矿区地质资料显示,赋存于M1构造蚀变带中的矿体属于中等稳固矿体,由于顶板岩体破碎,穿脉工程穿过断裂带时需进行支护。因此,嵩县山金矿区主要采用上向进路充填法进行开采,但开采时需留设一定厚度的保护矿柱。由于该矿区主矿体赋存于构造蚀变带中,且矿石品位较高,为保证采场稳定性并有效回收各中段间的顶底柱资源,提高矿体资源利用率,矿山设计在各中段开采结束后施工人工假底,达到既能有效回收构造破碎带内顶底柱资源,又能保证人工假底下矿体开采安全的目的[3,4,5]。
国内学者对人工假底下进路稳定性进行的数值模拟研究主要是对人工假底厚度进行模拟,从而确定最佳人工假底厚度。在确定人工假底厚度的前提下,对进路稳定性进行模拟分析从而确定最佳进路参数的研究相对较少[9,10,11,12,13,14,15,16]。本研究通过分析人工假底下矿体开采过程中假底的力学特性及其失稳机理,在人工假底安全厚度确定的情况下,采用安全系数法分析进路宽度和高度对进路稳定性的影响,从而提出安全合理的进路宽度和高度范围;同时,对人工假底进行配筋设计,并采用FLAC3D数值模拟软件对人工假底中金属网不同铺设位置下假底位移与应力场变化进行模拟,确定金属网的合理铺设位置,并将研究结果应用于工程实际,确保了人工假底下顶底柱开采的回收率和安全性。
1 人工假底力学模型与失稳机理
1.1 力学模型
根据矿山生产设计,采用上向进路充填法对矿区构造破碎带内矿体进行开采,上下分层进路平行布置。人工假底设置在采场底部,作为承载层承受自重及上覆荷载,两帮为矿体围岩或充填体,底板为矿体,其力学模型如图1所示。
图1
图2
当-l≤x≤l时,在x=0处弯矩和拉应力有极值:
式中:Ej为进路侧帮基础的弹性模量(MPa);El为顶板的弹性模量(MPa);μ为充填体的泊松比;h为顶板厚度(m);l为进路半宽(m);M为进路高度(m)。
当x>l时(x<-l与其对称,不再重述),在x=xA处,弯矩有极大值。此时:
因此,进路最大弯矩Mmax=MAX(︱M(0)|,|M(xA)|),令︱M(0)|=|M(xA)|,可解得αl=3.44。即当αl>3.44时,︱M(0)|<|M(xA)|,在A-A'发生最大弯矩;当αl<3.44时,︱M(0)|>|M(xA)|在O-O'发生最大弯矩。
矿区进路回采多为“隔一采一”方式,一步回采时进路两侧为矿体,此时αl>3.44,称之为“硬支弱板”结构;二步回采时进路两侧为充填体,此时αl<3.44,称之为“软支弱板”结构。大量研究表明,人工假底最危险情况是“软支弱板”结构,该进路结构最容易发生拉伸破坏,这种破坏是由假顶中间位置发生弯曲引起的,此时,假底最大弯矩与最大拉应力分别为
式中:q为承载层所受均布荷载。
1.2 失稳机理
由上述分析可知,嵩县山金构造蚀变带内矿体顶底柱回采过程中,人工假底最容易发生“软支弱板”结构破坏。这种易发生破坏的结构形式多见于二步回采进路,此时人工假底的承载层为充填打底部分,各项物理力学指标较优,支座为普通充填部分,此时直接在O-O'截面发生拉伸式破坏。同时,由于上覆均布载荷的作用,O-O'截面会产生沿走向的裂纹,而此处为下向进路两部分充填体的粘结处,粘结力较弱,裂纹必定沿进路长轴方向扩展,从而造成拉伸破坏(图3)。
图3
图3
进路薄“板”的“软支弱板”结构破坏形式
Fig.3
Destructive form of the “soft-supported and weak plate” structure of the thin “plate” in the approach
2 人工假底下进路稳定性分析
嵩县山金采用进路法回收顶底柱的进路规格一般为跨度L=4.0 m,高度M=3.5 m,充填体人工假底厚度h=0.6 m。由岩石试验和充填体力学试验得到矿体弹性模量Ej=7 697 MPa,人工假底弹性模量EL=110 MPa,泊松比μ=0.25,容重γ1=1.76 t/m3,普通充填体弹性模量E'j=70 MPa,容重γ2=1.70 t/m3。由普氏压力拱理论可知,充填体人工假底仅受自重和高度约为2.5 m的普通充填体的作用。根据矿山胶结充填体试验,人工假底抗压强度为4.0 MPa,且其抗拉强度约为抗压强度的10%~19%,故抗拉强度为0.40~0.76 MPa,本研究中抗拉强度取值为0.40 MPa。根据《建筑结构可靠度设计统一标准GB50068-2018》[17],临时性结构可按正常使用状态设计,其可靠度指标η=1~2,故当安全系数η≥2时,进路处于稳定状态,此时进路回采可安全进行;当η=1时,进路处于临界状态,此时很可能发生冒落[18,19,20,21]。
2.1 进路宽度对进路稳定性的影响
表1 进路最大半宽要求
Table 1
安全 系数 | 进路最大半宽要求l /m | ||||||||
|---|---|---|---|---|---|---|---|---|---|
| h=0.3 | h=0.4 | h=0.5 | h=0.6 | h=0.7 | h=0.8 | h=0.9 | h=1.0 | h=1.1 | |
| η=1.0 | 2.3 | 2.4 | 2.5 | 2.6 | 2.8 | >2.0 | >2.8 | >2.8 | >2.8 |
| η≥2.0 | 1.8 | 1.9 | 1.9 | 2.0 | 2.0 | 2.1 | 2.1 | 2.2 | 2.2 |
图4
图4
人工假底厚度h=0.3 m(a)和h=0.3~1.1 m(b)时l-η曲线图
Fig.4
The l-η curve when artificial false bottom thickness h=0.3 m(a) and h=0.3~1.1 m(b)
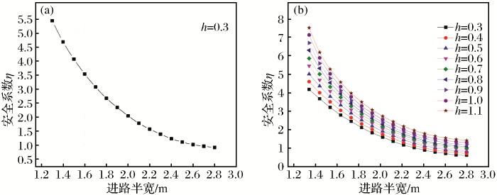
由图4可知,随人工假底厚度的增加,进路安全系数增加,如进路半宽l=2.0 m,人工假底厚度h=0.4~0.8 m时,安全系数分别为1.75、1.93、2.04、2.16和2.28,h基本满足安全生产要求,当h≥0.6 m时进路达到稳定状态。随着进路半宽的增加,进路安全系数则逐渐减小,如人工假底厚度h=0.5 m,进路半宽l=1.6~2.3 m时,安全系数分别为3.33、2.90、2.52、2.19、1.93、1.69、1.46和1.28,均处于稳定状态。因此,当人工假底厚度h=0.3~1.1 m、安全系数η≥2.0(稳定条件)和η=1.0(临界条件)时,假底厚度与允许进路半宽之间的关系如表1所示,可见回采稳定条件为l≤1.8 m,回采临界条件为l≤2.3 m。
2.2 进路高度对进路稳定性的影响
表2 进路最大高度要求
Table 2
安全 系数 | 进路最大高度要求M/m | ||||||||
|---|---|---|---|---|---|---|---|---|---|
| h=0.3 | h=0.4 | h=0.5 | h=0.6 | h=0.7 | h=0.8 | h=0.9 | h=1.0 | h=1.1 | |
| η=2.0 | 3.2 | 3.4 | 3.8 | 4.0 | 4.4 | 4.8 | 5.0 | >5.0 | >5.0 |
| η=1.0 | 4.8 | 5.0 | >5.0 | >5.0 | >5.0 | >5.0 | >5.0 | >5.0 | >5.0 |
图5
图5
人工假底厚度h=0.6 m(a)和h=0.3~1.1 m(b)时M-η曲线图
Fig.5
The M-η curve when artificial false bottom thickness h=0.3 m(a)and h=0.3~1.1 m(b)
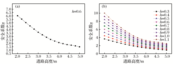
由图5可知,随着承载层厚度的增加,进路安全系数增加,如进路高度M=4.0 m,假底厚度h=0.4~0.9 m时,回采安全系数分别为1.62、1.86、2.11、2.30、2.51和2.84,安全系数由临界状态转为稳定状态。相比之下,进路高度对安全系数的影响较小,如h=0.6 m,M=2.8 m和3.8 m时,进路高度增加了1.0 m,安全系数由4.08降为2.32,变化值为1.76。与之相反,当M=3.0 m,h=0.5 m和1.0 m时,假底厚度仅增加了0.5 m,而安全系数变化值为2.08。因此,当提高安全系数时,不宜采取降低进路高度的措施,而应增加人工假底厚度,这样效果较显著。当人工假底厚度h=0.4~1.1 m,η=2(稳定)时,回采进路高度在5.0 m以内,均满足临界要求。由此可得,承载层厚度h=0.3~1.1 m,安全系数η≥2(稳定)和η=1(临界)时,假底厚度与允许进路高度之间的关系见表2。
综上分析,结合矿区生产实际,当前矿山回收顶底柱时设计人工假底厚度为0.6 m,进路宽度为3.5~4.0 m,高度范围为3.0~4.0 m,可保证底柱安全开采。
3 人工假底有限元计算
3.1 计算模型
根据矿山开采设计,采用上向进路充填采矿法,“隔一采一”的方式进行回采,进路高度为3.5 m,宽度为3.5 m。根据矿山充填体强度力学试验结果,进路采场充填及人工假底均为灰砂比1∶8的C料尾砂胶结充填体。通过上述对人工假底失稳机理的分析可知,人工假底在二步进路回采时具有“软支弱板”结构特征,此时假底主要在中部发生拉伸破坏。在进行进路开采人工假底强度设计时,由于充填体假底的抗拉强度远小于其抗压强度,为保证设计的人工假底满足进路下安全开采,首先要求设计的人工假底的抗拉强度满足安全开采要求。因此,矿山在进行人工假底设计时,考虑在人工假底中铺设金属网,金属网主筋直径为12 mm,间距为300 mm;根据单位宽度上分布的钢筋截面面积不宜小于单位宽度上受力钢筋截面面积的15%,垂直于主筋分布的配筋也可按直径为12 mm、间距为300 mm设计,如图6所示。
图6
图6
尾砂胶结充填体人工假底钢筋网布置示意图
Fig.6
Layout of tailings cemented backfill artificial false bottom reinforcement mesh
因此,在确定人工假底厚度为0.6 m的情况下,对人工假底中铺设金属网时假底强度和金属网铺设位置不同时的假顶位移及应力场变化进行模拟计算,并设计金属网铺设位置为充填体底部(方案1)和中部(方案2)2种情况。通过计算分析2种不同金属网铺设位置承受荷载情况下人工假底位移及其应力场变化,最终确定安全合理的金属网铺设方式。
3.2 力学参数
通过对嵩县山金构造破碎带内矿体顶底柱回采设计、矿区充填体强度力学试验及人工假底配筋设计,得出有限元计算中材料力学参数(表3)。
表3 材料物理力学参数
Table 3
| 材料 | 密度/(kg·m-3) | 弹性模量/MPa | 泊松比 | 抗压强度/MPa | 黏聚力/MPa | 摩擦角/(°) |
|---|---|---|---|---|---|---|
| 1∶8充填体 | 1 760 | 110 | 0.14 | 4 | 0.30 | 18 |
| Φ12 mm钢筋 | 7 800 | 2.0×105 | 0.20 | - | 200 | - |
3.3 计算结果分析
(1)位移场变化分析。根据计算结果的位移场变化情况(图7),在金属网外置方案(方案1)中,人工假底并未立即发生破坏,由位移矢量图及充填体底部位移可知,人工假底最大挠度为2.12 mm,与金属网内置情况的挠度几乎相同。在金属网内置方案(方案2)中,人工假底最大位移为2.49 mm。因此,根据位移分析结果,不论金属网在人工假底中是内置还是外置,人工假底均未产生塑性变形,在重力和均布荷载作用下,其强度均能达到要求,能够保持稳定承载。
图7
图7
方案1(a)、方案2(b)z方向位移等值线和人工假底底部(c)z方向位移
Fig.7
The z-direction displacement contour of scheme 1(a),scheme 2(b) and the z-direction displacement at bottom of the artificial false bottom(c)
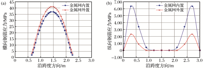
(2)应力场变化分析。根据计算结果的人工假底充填体最大主应力变化情况(图8),金属网外置后的人工假底中充填体底部在接近两帮位置所受拉应力最大,z方向最大主拉应力值为0.077 MPa,远未达到充填体的抗拉强度;在金属网内置情况下,人工假底中充填体底部在跨中位置所受拉应力最大,且z方向最大主拉应力值为0.08 MPa。2种方案下人工假底模拟所受应力值均在强度范围内,根据模拟分析结果,均达到了设计要求。
图8
图8
方案1(a)、方案2(b)人工假底充填体和人工假底底部充填体(c)最大主应力
Fig.8
Maximum principal stress of the artificial false bottom filling body in scheme 1(a),scheme 2(b)and the bottom of the artificial false bottom filling body(c)
图9
图9
方案1(a)和方案2(b)金属网最大拉应力图
Fig.9
Maximum tensile stress of the metal mesh of scheme 1(a) and scheme 2(b)
图10
图10
金属网横向钢筋(a)和纵向钢筋(b)最大拉应力
Fig.10
Maximum tensile stress of transverse reinforcement(a) and longitudinal reinforcement(b) of metal mesh
通过对人工假底中金属网布置于不同位置时假底的位移及应力变化进行数值模拟分析可知,在人工假底中铺设金属网之后,当假底承受的荷载较大时,金属网能起到提高人工假底承载能力的作用,同时验证了人工假底配筋率的合理性,即在人工假底中铺设一定网度的钢筋,可以使假底强度满足要求,具备可靠的承载能力。但在金属网外置的情况下,人工假底中充填体与金属网的粘结并不理想,金属网所能发挥的承载能力也会大幅降低;由于岩石流变等长期变形引起的围岩变形,导致金属网变形松弛,此时金属网外置会造成充填体与金属网脱离,当人工假底受力过大时会造成严重破坏,因此将钢筋内置,可保证钢筋与充填材料的粘结咬合,充分发挥金属网的承载能力与充填体自身的承载力。
3.4 工程应用实践
根据研究结果,在矿山140 m中段1线至5线的1535采场按照厚度为0.6 m、充填体灰砂比为1∶8的设计施工人工假底,并在假顶中部按间距300 mm铺设直径为12 mm的金属网,假顶下回采进路宽3.5 m,高3.5 m。人工假底下进路回采后假顶稳定,充填体完整性较好,钢筋包裹完整,保障了顶底柱回采作业安全,如图11所示。
图11
4 结论
(1)进路法开采上下分层进路平行布置,建立了人工假底薄“板”力学模型,由顶底柱回采两侧为充填体的进路上部人工假底为“软支弱板”结构可知,在进路顶板中间易发生弯曲拉伸破坏。根据强度要求和矿山充填体强度力学试验结果,对充填体假底进行配筋计算设计,采用1∶8的C料胶结充填体,Φ12 mm钢筋组成的网度为300 mm×300 mm的钢筋网充填体假底,可提高人工假底的抗拉强度。
(2)采用安全系数法对进路稳定性进行分析评价,进路的安全系数随人工假底厚度增加、进路宽度和高度减小而增大,且人工假底厚度对安全系数的影响较大,进路宽度和高度对安全系数的影响较小,因此当提高安全系数时应考虑先增加人工假底厚度;人工假底厚度、进路宽度和高度分析结果表明,当人工假底厚度为0.6 m时,进路宽度范围为3.5~4.0 m,高度范围为3.0~4.0 m,其安全系数η≥2,均为稳定状态,能保证安全生产。
(3)采用数值模拟分析法对人工假底中金属网布置方式进行选择,确定了人工假底中金属网内置,可保证钢筋与充填材料的粘结咬合,充分发挥金属网的承载能力与充填体自身的承载,并验证了矿山人工假底配筋率的合理性,即在人工假底中铺设钢筋,使人工假底具有较大承载力,从而满足强度要求。
参考文献
海底下框架式分层充填法开采中矿岩稳定性分析
[J].
Ore-rock stability of frame stope hierarchical level filling mining method in seabed mining
[J].
海下点柱式开采的有限元动态模拟分析
[J].
FE dynamic simulation analysis of in under-sea point pillar mining
[J].
近海矿体开采人工假底厚度优化及工程应用
[J].
Thickness optimization and engineering application of artificial false bottom in offshore ore mining
[J].
胶结充填体下顶底柱进路开采参数优选
[J].
Parameter optimization for pillars robbing under cemented filling body
[J].
人工假底假巷在中薄脉金矿中的应用
[J].
Application of artificial concrete-bottom and concrete-lane in the thin vein of gold mine
[J].
三山岛金矿无架腿支护技术研究与应用
[J].
Research and application of support technology without legs in Sanshandao gold mine
[J].
无轨机械化盘区点柱式充填采矿法实践
[J].
The practice of mining method for trackless mechanisation panel pillar filling
[J].
地下大跨度采场围岩突变失稳风险预测
[J].
Instability forecast and risk evaluation of the surrounding rock masses for a large space stope
[J].
Long-term stability of a backfilled room-and-pillar test section at the Buick Mine,Missouri,USA
[J].
Dynamic analysis of fault rock burst based on gradient-dependent plasticity and energy criterion
[J].
基于响应面法的海下框架式采场结构优化选择
[J].
Optimization of frame stope structure parameters based on response surface method in under-sea mining
[J].
The use of models in sill mat design at Falconbridge
[C]//
基于弹性薄板模型的开放式充填顶板稳定性研究
[J].
Study on roof stability of open backfilling based on elastic plate model
[J].
基于可靠度理论的钢筋混凝土假顶强度确定与配筋设计研究
[J].
Strength determination for reinforced concrete false roof and reinforcement design based on reliability theory
[J].
基于安全系数和可靠度的极破碎矿体进路优化
[J].
Optimization of drift in extremely fractured ore-body based on safety coefficient and reliability analysis
[J].
急倾斜破碎矿体采矿方法改进与顶板再造设计
[J].
Improvement of steep and fractured ore-body mining method and design of re-construction of sub-top
[J].
建筑结构可靠度设计统一标准:GB50068-2018
[S].
Uniform Standard for reliability of building structures:GB50068-2018
[S].
Numerical modeling of paste sills in underhand cut & fill stopes
[C]//
金属矿滨海基岩开采岩石力学理论与实践
[J].
Theory and practice of rock mechanics related to exploitation of undersea metal mine
[J].
Galerkin solution of Winkler foundation-based irregular Kirchhoff plate model and its application in crown pillar optimization
[J].
Finite element slope stability analysis by sheer strength reduction technique
[J].
/
| 〈 |
|
〉 |


甘公网安备 62010202000672号