蚀变带内矿体开采中人工假底的应用研究 |
| 宋恩祥,李强,张静,彭康 |
|
Research and Application of Artificial False Bottom in Mining of Orebody in Alteration Zone |
| Enxiang SONG,Qiang LI,Jing ZHANG,Kang PENG |
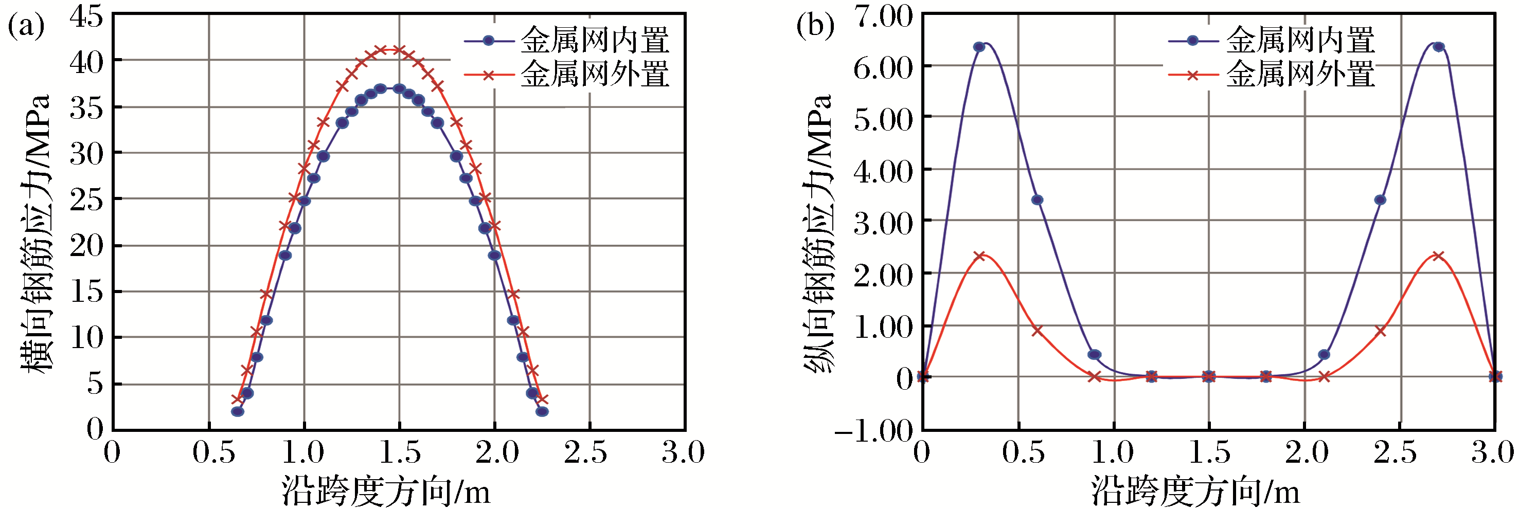
| 图10 金属网横向钢筋(a)和纵向钢筋(b)最大拉应力 |
| Fig.10 Maximum tensile stress of transverse reinforcement(a) and longitudinal reinforcement(b) of metal mesh |
|