蚀变带内矿体开采中人工假底的应用研究 |
| 宋恩祥,李强,张静,彭康 |
|
Research and Application of Artificial False Bottom in Mining of Orebody in Alteration Zone |
| Enxiang SONG,Qiang LI,Jing ZHANG,Kang PENG |
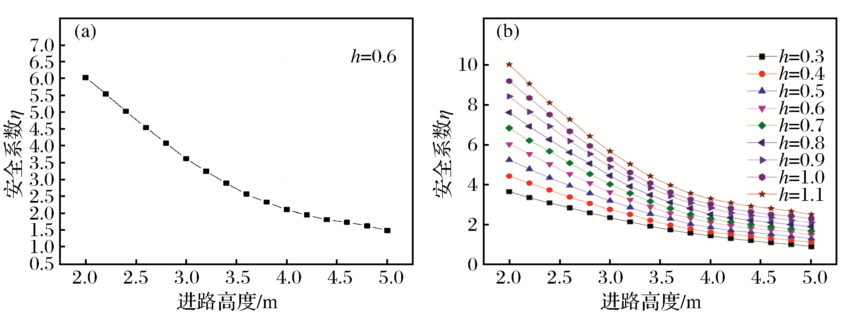
| 图5 人工假底厚度h=0.6 m(a)和h=0.3~1.1 m(b)时M-η曲线图 |
| Fig.5 The M-η curve when artificial false bottom thickness h=0.3 m(a)and h=0.3~1.1 m(b) |
|