基于离散元的花岗岩热敏感性及裂纹扩展研究
Study on Thermal Sensitivity and Crack Propagation of Granite Based on Discrete Element Method
通讯作者:
收稿日期: 2021-11-26 修回日期: 2022-04-11
| 基金资助: |
|
Received: 2021-11-26 Revised: 2022-04-11
作者简介 About authors
李明兼(1997-),男,云南曲靖人,硕士研究生,从事高温高压下岩石力学研究工作
关键词:
Keywords:
本文引用格式
李明兼, 尹土兵, 谭小松, 杨政.
LI Mingjian, YIN Tubing, TAN Xiaosong, YANG Zheng.
深部岩石工程往往处于高地应力和高温的状态。作为典型的非连续介质,岩石存在复杂的裂隙和空隙。对于岩石裂纹起裂的强度特征值(裂纹闭合强度、起裂强度和损伤强度)已有较为深入的研究(Martin et al.,2009;Diederichs et al.,2004;Eberhardt et al.,1998),但热力致裂过程中的相关特征值研究仍偏少。许多学者对高温作用下的岩石力学特性进行了深入研究。大量试验研究揭示了岩石热破裂导致的宏观外在变化(朱合华等,2006),但宏观力学变化不足以阐明岩石的破坏机制。当温度较高时,会引发相变(孙强等,2013)。在没有发生矿物熔融破裂的情况下,高温作用导致矿物颗粒发生热膨胀,由于矿物颗粒的热膨胀性能差异引起不均匀的热应力,造成岩石结构发生热破裂,进而影响岩石宏观力学参数的变化(Xu et al.,2010;张志镇等,2010)。而对于已有裂隙的岩石,在经历温度变化后也会伴随新裂纹萌生及原裂纹扩展,导致其原有结构更加破裂(Peng et al.,2019)。岩石的破裂源于内部微观结构改变并与各向异性密切相关,因此,从微观结构的变化进行研究更接近岩石热力致裂的本质。
岩石材料具有明显的非均质特性,其根本原因是矿物颗粒排布的不同以及初始微裂纹分布和形态各异(于庆磊等,2012)。从矿物颗粒的组成和连接来研究岩石的热力致裂机理,可以从本质上反映宏观层面岩石的力学变化。由于当前监测设备的限制,无法从微观层面上对岩石的热力致裂机理进行研究。因此,一些学者采用试验与离散元相结合的方法进行相关研究。模拟研究的宏观表现与试验结果相同(Xu et al.,2018;Wanne et al.,2008),微观的损伤机制也与实验现象相符(Yin et al.,2018)。热诱导产生的应力和微裂纹的存在改变了颗粒间的接触状态,将极大地影响高温岩石整体的力学性能。因此,使用离散元数值模型进行岩石热力致裂研究是可行的。本文以试验研究为基础,对花岗岩矿物成分进行分析并开展力学试验,通过数值手段呈现岩石微观结构,构建与岩石材料相仿的离散元模型,并开展含有不同角度预制裂纹模型在不同初始应力状态下的热力致裂研究。实现了岩石在一定初始应力条件下热裂的可视化,丰富和发展了深部高温高地应力下岩石破碎和工程稳定性的理论。
1 试验概况及模型构建
1.1 试验概况
试验选用的岩样为粗粒花岗岩,取自湖南某采石场。根据国际岩石力学学会标准,将大块花岗岩样品制成φ50 mm×100 mm的圆柱形试样(Fairhurst et al.,1999)。通过X射线衍射试验对样品成分进行分析(图1),得出岩样的组成成分为石英(38.4%)、云母(20.7%)、长石(39.1%)和绿泥石(1.8%)。
图1
分别将岩石试样放入高温炉中进行热处理。高温炉升温速率为2 ℃/min,当温度分别达到100 ℃、200 ℃、300 ℃和400 ℃时,保温200 min后将试样取出,进行自然冷却。使用英国INSTRON实验设备贸易有限公司生产的1346试验机对热处理后的试件进行单轴压缩试验。试验机及数据采集系统装置如图2所示。
图2
图2
INSTRON 1346试验机及数据采集系统
Fig.2
INSTRON 1346 test machine and data acquisition system
经过不同热处理后,岩石试件的力学性质发生了明显变化,部分力学参数如表1所示。
表1 单轴压缩力学参数
Table 1
| 温度/℃ | 峰值强度/MPa | 峰值应变/% | 弹性模量/GPa |
|---|---|---|---|
| 20 | 124 | 0.54 | 31.22 |
| 100 | 121 | 0.55 | 30.03 |
| 200 | 114 | 0.59 | 27.96 |
| 300 | 105 | 0.66 | 23.27 |
| 400 | 96 | 0.68 | 21.11 |
1.2 模型构建
模型的构建过程包括离散元表征模型和微观参数标定。试验使用的花岗岩主要成分有石英、长石和云母,而绿泥石含量较少,所以绿泥石对试验结果的影响可忽略不计。使用微观颗粒的真实粒径进行模拟时会使得计算较为困难,本文采用的粒径范围如下:石英为0.4~0.5 mm,长石为0.4~0.5 mm,云母为0.3~0.4 mm(Yin et al.,2018)。据此构建离散元的二维表征模型,如图3所示。
图3
模型的微观参数包括力学和热学参数,考虑到岩石材料各个组分之间热膨胀的差异性,将不同组分赋予不同的热膨胀系数、导热系数和比热(Wanne et al.,2008;Fei,1995)。模型结构的微观参数如表2所示。
表2 模型结构微观参数
Table 2
| 岩石组分 | 占比/% | 颗粒半径/mm | 热膨胀系数/(K-1) | 导热系数/(W·m-1·K-1) | 比热/(J·kg-1·K-1) | 密度/(kg·m-3) |
|---|---|---|---|---|---|---|
| 石英 | 40.9 | 0.40~0.55 | 24.3×10-6 | |||
| 长石 | 38.4 | 0.30~0.40 | 8.7×10-6 | 3.5 | 1 015 | 2 700 |
| 云母 | 20.7 | 0.30~0.40 | 3.0×10-6 |
热流量通过颗粒之间的粘结进行传导,使用fish语言搜寻颗粒,记录颗粒的基本参数,根据
式中:K为材料的宏观导热率;Vb为颗粒体积;φ为模型孔隙度;lp为粘结长度。
在PFC2D中,岩石试样被视为微观粒子的聚合物。微观粒子之间通过粘结进行聚合。根据牛顿第二定律以及力—位移更新颗粒的位置和接触(周广磊等,2017),颗粒之间力的传导是通过粘结来进行的,平行粘结模型是模拟脆性材料(如岩石材料)常用的粘结模型(Yang et al.,2014)。在以往的PFC模拟研究中,通常使用线性加载阶段的微观模量进行标定(Zhao,2016;Potyondy et al.,2004)。依靠应力—应变曲线中的弹性阶段对岩石的微观系数进行标定,无法完整地体现岩石单轴压缩试验中模量变化的特性。在应力—应变曲线中,岩石的压密阶段可以用通过原点的二次方程σ(ε)进行拟合,对其求导可得与应变相关的切线模量E(ε)。宏观的切线模量会随应变而变化,而粘结模型中的平行模量和线性模量共同控制宏观模量,经过试错法总结平行模量与线性模量之间的影响规律。本文中提出使用模量控制方程,如
式中:ε为单轴压缩试验过程中的应变;k1、k2和b均为与微观模量相关的系数,k1和k2可反映线性模量与平行模量之间的协同变化,b则表明2个微观模量的基础值。
通过试错法对模型参数和微观模量进行标定,得到模型参数标定结果如表3所示。
表3 模型粘结参数
Table 3
| 参数 | 数值 |
|---|---|
| k1 | 54.3 |
| k2 | 129 |
| b | 0.572 |
| emod | 20.7e9 |
| pb_emod | 24.3e9 |
| kratio | 2.6 |
| pb_ten | 11.7e7 |
| pb_coh | 6.50e7 |
图4
图5
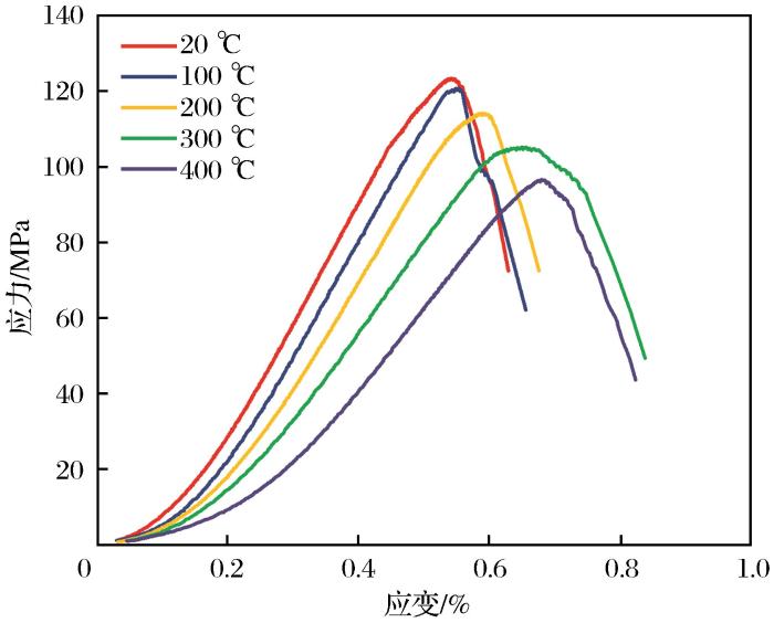
随着热处理温度的升高,岩石试样的单轴压缩峰值强度逐渐降低,弹性模量也降低,峰值应变增加。如图4所示,随着温度的升高,应力—应变曲线中压密段中表现出的应力与应变之间的非线性关系愈发明显,岩石的塑性增强(吴云等,2020)。热应力的作用,使得岩石内部的微裂纹增加,孔隙增大,在压缩过程中,压密段较为明显。岩石组分较为复杂,不同的矿物成分具有不同的热膨胀性,在原生裂纹的基础上,热处理会导致岩石试样中增加新的热裂纹。随着热处理温度的升高,岩石的损伤增加,导致单轴压缩强度均有不同程度的下降。热处理对岩石原有结构的改变,也会导致试样的变形特性发生变化,随着温度的升高,峰值应变逐渐增加。当热处理温度较低时,岩石破坏表现为劈裂破坏,温度较高则会导致岩石颗粒剥落,发生粉碎性破坏,最终破碎的块度也较小(尹土兵等,2012;吴云等,2020)。
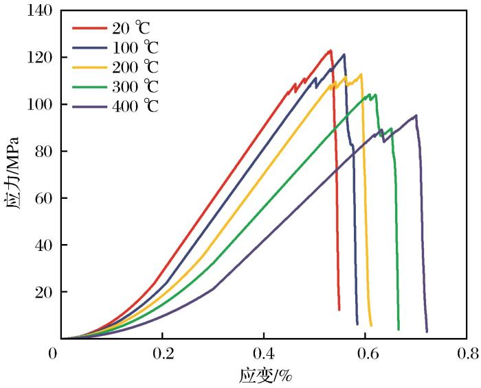
如图6所示,模拟破坏模式与试验结果吻合度较高,结合应力—应变曲线可知,模型的参数合理,能够准确地反映岩石的热力致裂特征。
图6
图6
试验结果与模拟破坏模式对比
Fig.6
Comparison of experimental results with simulated failure modes
2 花岗岩热敏感性的双控制因素
图7
2.1 初始应力状态控制下的花岗岩热敏感性
岩石在压缩过程中,由于局部出现裂纹,能量快速释放产生弹性波的现象称为声发射(Lockner,1993)。微裂纹产生是由于颗粒之间粘结断裂形成的,且伴随着动能释放,使用颗粒之间粘结断裂来类比声发射现象是可行的(Hazzard et al.,2000)。每个连接键发生断裂,就会产生一个微裂纹,对应着一个声发射事件。为细致地反映岩石试样在加热过程中的裂纹萌生情况,使用fish语言,记录了热处理过程中每升高0.1 ℃的热裂纹萌生事件数(图8)。
图8
图8
模型的裂纹萌生事件数—温度关系图(α=45°)
Fig.8
Relationship diagram of number of crack initiation events and temperature of the model(α=45°)
与岩石起裂特征值的相关研究进行类比,定义相关热特征值,即:一定的初始应力状态下,在热处理过程中,随着温度的逐渐升高,达到某个特定温度时出现裂纹,此时的温度称为该应力状态下的起裂温度。随着温度继续升高,会经历一个裂纹剧烈扩展的阶段,这个温度区间为裂纹扩展温度区间。初始应力场和热应力场叠加后,轴向应力增加,当轴向应力达到最大值时,此时的应力和温度分别为峰值热应力和峰值温度。以上参数统称为热特征值。
裂纹萌生事件数随温度升高而逐渐变化。如图8所示,当轴压为20 MPa时,模型在热处理过程中仅产生少量的裂纹,起裂温度为216 ℃,最终产生的热裂纹较少,没有裂纹剧烈扩展现象;当轴压为40 MPa时,起裂温度为122 ℃,裂纹扩展温度区间大致为300~400 ℃;当轴压为60 MPa时,起裂温度为22 ℃,裂纹扩展温度区间大致为250~350 ℃,该轴向应力状态已接近花岗岩的起裂强度,较小的温度变化,就会引发岩石内部的微裂纹剧增并连接形成宏观裂隙;当轴压为80 MPa时,岩石起裂温度近似为20 ℃,裂纹扩展温度区间大致为150~250 ℃,岩石中已经出现了裂纹,任意的温度变化均会导致岩石起裂。
在热处理过程中,热应力场和初始应力场叠加,轴向应力随温度不断变化。应力叠加在轴向应力变化的表现与单轴压缩过程类似,如图9所示,岩石温度进入裂纹扩展温度区间,微裂纹剧烈萌生,温度—应力曲线出现明显波动,当岩石温度达到峰值温度时,轴向应力达到峰值热应力。随着温度的持续升高,微裂纹扩展连接直至形成较大的宏观破裂面,轴向应力急剧下降。当初始轴压为20 MPa时,随着温度的升高,颗粒受热膨胀,轴向应力逐渐增加,当温度达到400 ℃时,轴向应力为82 MPa,裂纹较少,模型保持完好的承载功能。当轴向应力为40 MPa时,峰值温度为352 ℃,此时,轴向应力达到89 MPa,随着温度继续升高,岩石开始剧烈破坏,轴向应力急剧下降。当初始应力为60 MPa时,峰值温度为267 ℃,峰值热应力为92 MPa。当初始应力为80 MPa时,峰值温度为140 ℃,峰值热应力为95 MPa。
图9
图9
含有45°预制裂隙模型的温度—应力曲线(α=45°)
Fig.9
Temperature-stress curves(α=45°) of model with 45° prefabricated flaws
随着轴向应力的增加,岩石的起裂温度逐渐降低。当轴向应力较大时,裂纹扩展温度区间会向更小的温度区间方向移动(表4);当轴向应力超过60 MPa后,较小的温度变化就会导致岩石中裂纹萌生,较低的温度区间也能诱发裂纹剧烈萌生,表明初始轴向应力增加,花岗岩的热敏感性增强。热力致裂过程中的峰值热应力均低于常温下的单轴抗压强度,并随着初始轴向应力的增加而增加。加热过程中热损伤增加,当初始轴向应力较小时,达到峰值应力所需要的加热进程较长,热损伤过程也较长,导致峰值热应力随初始轴向应力的增加而逐渐增加。
表4 45°预制裂纹的热特征值
Table 4
初始轴向 应力/MPa | 起裂温度/℃ | 扩展温度 区间/℃ | 峰值温度/℃ | 峰值热 应力/MPa |
|---|---|---|---|---|
| 20 | 216 | - | 400 | 82 |
| 40 | 122 | 300~400 | 352 | 89 |
| 60 | 22 | 250~350 | 267 | 92 |
| 80 | 20 | 150~250 | 140 | 95 |
为探究初始轴向应力对花岗岩热敏感性的普遍影响规律,开展了预制裂纹角度α=45°
(1)起裂温度。如图10所示,随着模型轴向初始应力的增加,起裂温度逐渐降低,表明较高的初始应力状态会使得模型起裂的热敏感性增强。在含有3种不同角度预制裂纹的模型中,当初始应力较低(20,40 MPa)时,起裂温度高低顺序分别为60°>45°>30°。当初始应力达到60 MPa时,30°和45°的起裂温度接近;当初始应力达到80 MPa时,三者的起裂温度均较为接近,表明初始应力较大时预制裂纹的角度对模型的起裂温度影响较小。
图10
(2)峰值温度。如图11所示,在较低的应力状态下进行加热,模型轴向应力呈线性增加,当峰值温度达到400 ℃时模型仍未见明显破坏,在保温阶段,轴向应力趋于稳定状态。在应力水平较高的状态下进行加热,峰值温度随初始应力轴压的增加而不断下降。
图11
图12
通过对含不同角度预制裂纹的模型进行相关热特征值研究,对花岗岩热敏感性做出定量评价,结果表明:当预制裂纹的角度发生改变后,起裂温度、峰值温度和峰值热应力随轴向应力的变化呈相同变化趋势,得出当含有一定角度α的预制裂纹时,初始轴向应力控制着岩石的热敏感性,即:随着初始轴向应力的增加,花岗岩热敏感性增强。
2.2 预制裂纹控制下的花岗岩热敏感性
预制裂纹尖端有明显的应力集中现象,从而致使尖端处更容易出现裂纹。由2.1小节可知,在含有不同角度预制裂纹的模型中,起裂的热特征值存在一定的差异。不同角度的预制裂纹尖端处产生的应力集中现象也不同,从而导致预制裂纹尖端处裂纹的萌生有一定的区别。为探究不同角度控制下的花岗岩热敏感性变化规律,开展了初始轴向应力为50 MPa,预制裂纹角度α为0°、15°、30°、45°、60°、75°、90°的试样在加热过程中的热特征值研究。
当初始轴向应力一定时,随着预制裂纹角度α逐渐增加,裂纹扩展温度区间存在明显的滞后现象。当预制裂纹角度α为0°时,如图13(a)所示,较小温度变化就能够使颗粒之间的粘结断裂,形成热裂纹,当温度达到约150 ℃时,热裂纹剧烈萌生,温度继续升高至300 ℃时,热裂纹萌生频率又达到一个较明显的峰值,热裂纹萌生频率出现明显的双峰值。当预制裂纹角度α为15°时,较小的温度变化也能使模型中萌生热裂纹,当温度达到约160 ℃时,热裂纹萌生频率持续增加[图13(b)]。当预制裂纹角度α为30°时,升温初期就会萌生热裂纹,而温度约为250 ℃时是热裂纹大量萌生的阶段[图13(c)]。当预制裂纹角度α为45°和60°时,温度需达到约300 ℃,模型才进入热裂纹剧烈萌生的阶段[图13(d)、13(e)]。当预制裂纹角度为75°和90°时,裂纹剧烈萌生的阶段靠近400 ℃[图13(f)、13(g)]。不同角度的预制裂纹会造成热裂纹的起裂存在明显差异,热裂纹剧烈萌生的阶段随预制裂纹角度α的增加而靠后,且α较大时,只有较高的温度才能使模型中剧烈萌生热裂纹。
图13
图13
模型的裂纹萌生事件数—温度关系图
Fig.13
Relationship diagram of number of crack initiation events and temperature of the model
预制裂纹角度α会对热力致裂过程中的热特征值产生影响。如图14所示,首先是与温度相关的热特征值,当预制裂纹角度较小(0°,15°,30°)时,起裂温度较低,接近20 ℃,表明预制裂纹角度α较小时,较小的温度变化就会萌生热裂纹,而当预制裂纹角度增大时,起裂温度随α的增加呈增加趋势。而峰值温度和峰值热应力也随预制裂纹角度α的增大呈增长趋势。
图14
在相同的初始轴向应力状态下,含有不同角度预制裂纹的岩石,在初始应力场和热应力场的叠加过程中,受预制裂纹角度α的影响,其热敏感性有明显差异,随着α的增大,岩石的热敏感性降低。主要表现在:(1)α逐渐增大,热裂纹萌生的峰值温度区间会逐渐向后移动,表明随着α的增大,热裂纹剧烈萌生需要更高的温度。(2)α逐渐增大,其峰值温度和峰值热应力逐渐增加,当α较大时,峰值温度接近400 ℃,当α较小时,峰值温度则较低。较大的预制裂纹角度会使岩石热裂的进程增加,加热至较高温度才能引起宏观破坏。(3)起裂温度随着α的增大而逐渐增加,当α较小时,起裂温度接近20 ℃,较小的温度变化均会有热裂纹萌生,当α较大时,需要加热至较高温度,才有热裂纹萌生。
3 裂纹扩展
在一定初始应力状态下进行加热,热应力场与初始应力场相互叠加,在轴向应力方面表现为轴压随着温度的增加而不断增强,达到峰值热应力后下降,这与单轴压缩过程中应力—应变曲线的变化较为相似,轴向应力增强的过程也将导致预制裂纹尖端处应力集中,裂纹萌生并进行扩展。含单一预制裂纹的岩石试样,加载过程中微裂纹萌生、连接,最终形成宏观裂纹。如图15所示,宏观裂纹基本类型有2种,分别是翼裂纹和次生裂纹(潘鹏志等,2008)。翼裂纹在预制裂纹端部产生,在裂纹尖端拉应力作用下朝着荷载最大的方向扩展。次生裂纹又可划分为2种,一种是与预制裂纹平行的次生共面裂纹,另一种是与预制裂纹成一定角度的次生倾斜裂纹。高温加热会使矿物颗粒之间粘结断裂,形成微裂纹,以下对加热过程中不同初始应力状态、不同倾角预制裂纹的裂纹扩展模式及裂纹扩展机理展开研究。
图15
3.1 裂纹扩展模式
含有预制裂隙的模型中,新裂隙萌生方向与预制裂隙端部颗粒的排列方式有关,本文考虑在颗粒排布方式相同的条件下发生的裂纹扩展。当裂隙尖端的应力集中达到一定程度,裂纹随之扩展(蒋明镜等,2014)。图16所示为含不同角度预制裂纹的模型在不同初始应力状态下热力致裂的破坏状态。在较低的应力(20 MPa)状态下,加热结束后,仅有少量裂纹分布在预制裂隙的端部,无法产生明显破坏。在不同的高初始应力(40,60,80 MPa)状态下,热力致裂的最终破坏模式基本相似,能够观测到翼裂纹和次生裂纹。结果表明,对一定初始应力状态下的岩石进行加热,轴向应力表现为与单轴加载相似,热力致裂的最终裂纹扩展模式与初始应力的大小无关。
图16
图16
含30°、45°和60°预制裂隙模型在不同初始应力状态下的裂纹扩展模式
Fig.16
Crack propagation modes of prefabricated crack models with 30°,45° and 60° under different initial stress states
在相同的初始轴向应力下,预制裂纹角度α为45°的模型中,除了翼裂纹外,能够明显观测到倾斜次生裂纹。预制裂纹角度α为30°和60°的模型中,次生裂纹与预制裂纹近平行,也形成了次生共面裂纹。表明含有不同角度预制裂纹的模型,其最终破坏模式有一定差异。热力致裂过程中,轴向受到约束,而径向则是自由面,预制裂纹角度α不同时,应力集中方式不同,导致起裂模式存在差异,也可能造成模型的承载极限有差异。
图17
3.2 裂纹扩展机理
岩石中不同矿物颗粒热膨胀性能存在一定的差异,当加热后,不同矿物颗粒膨胀后产生不均匀的热应力,导致应力重新分布,在应力明显集中的区域,颗粒之间的粘结达到极限后发生断裂,产生热裂纹。在初始应力相同的状态下,应力分布随着温度逐渐演化。根据弹塑性力学,空间应力的3个应力张量不变量(杨桂通,1980)分别表示为
对于平面应力,σzz,τxz,τyz 均为0,则第二不变量可简化为
Det.准则是建立在第二应力不变量基础上的,根据二维断裂的Det.准则(Papadopoulos,1993):
当I2达到最大值时,TV和TD差值达到最大。根据该断裂准则,裂纹沿着应力张量行列式Det.(σij )最大的方向扩展,当区域边界上的第二不变量I2达到材料断裂的临界值时,裂纹扩展,裂纹扩展角度由
裂纹扩展的最终结果与初始应力状态的大小无关,当初始轴向应力为20 MPa时,模型中最终裂纹结果中数量较少,裂纹扩展阶段应力变化不明显,故选取初始应力状态为40 MPa下的模型进行应力集中方式研究。在不同应力状态下,应力集中均会随温度的升高而不断变化,且含有不同角度预制裂隙的模型裂纹扩展温度区间也不相同,在不同的裂纹扩展温度区间中的重叠部分内选取一个相同温度区间(300~340 ℃)。如图18所示,对该温度区间下的起始温度(300 ℃)、中间温度(320 ℃)和终止温度(340 ℃)进行不同角度预制裂隙模型的第二不变量对比研究。图18(a1)所示为第二不变量在温度为300 ℃时的分布状态,在此温度下,“Ⅰ”区内的第二不变量值较小,当温度升高至320 ℃后,第二不变量分布如图18(a2)所示,“Ⅰ”区内的第二不变量值明显增大,根据
图18
4 结论
本文结合室内试验和数值模拟,构建了离散元模型并加以验证。根据离散元理论和Det.断裂准则,对花岗岩的热特征值和热裂纹扩展路径进行分析。研究结果表明:岩石所处的应力状态和所含有的原始裂纹会对热裂纹的萌生、扩展路径以及热力致裂特征值产生影响。
(1)岩石矿物颗粒受热膨胀而产生的热应力与初始应力场叠加,叠加应力场随温度的升高而不断变化,在预制裂纹尖端附近,第二不变量最大。随着温度的升高,第二不变量演化,裂纹扩展位置主要在第二不变量较大处。
(2)应力状态影响热力致裂特征值,但不会改变裂纹扩展的最终模式。随着初始应力的增大,起裂温度变低,裂纹扩展温度区间前移,裂纹萌生剧烈。特征值的变低,反映出热敏感性增强,使得高应力状态下的热力破岩成为可能。
(3)预制裂纹的角度也会影响热力致裂特征值并影响岩石的最终扩展模式,当预制裂纹角度较小时,花岗岩热敏感性较强,裂纹扩展模式为预制裂隙压密,当预制裂纹角度较大时,则是裂隙滑移。
(4)初始应力较小,需要较高的热应力进行叠加,才能达到岩石破裂的极限状态,所需要的加热进程较长,峰值温度相对较高,但加热过程中的热损伤也会较大,导致峰值热应力较低,并低于常规压缩强度。
上述结论揭示了含有不同预制裂纹的数值模型在不同初始应力状态下的热力致裂特性,其本质为热应力场与初始应力场的叠加效应。本文研究的目的是探索温度和应力对岩石破坏的影响,以期对深部热力破岩和复合应力场下的岩石破坏机制进行一些基础性探索。
http://www.goldsci.ac.cn/article/2022/1005-2518/1005-2518-2022-30-4-559.shtml
参考文献
Damage initiation and propagation in hard rock during tunnelling and the influence of near-face stress rotation
[J].
Identifying crack initiation and propagation thresholds in brittle rock
[J].
Draft ISRM suggested method for the complete stress-strain curve for intact rock in uniaxial compression
[J].
Thermal expansion
[C]//
Crack initiation mechanism of pre-existing cracked granite
[J].
Simulating acoustic emissions in bonded-particle models of rock
[J].
Distinct element numerical analysis of crack evolution in rocks containing pre-existing double flaw
[J].
The role of acoustic emission in the study of rock fracture
[J].
Estimating the potential for spalling around a deep nuclear waste repository in crystalline rock
[J].
Particle simulation of thermally-induced rock damage with consideration of temperature-dependent elastic modulus and strength
[J].
Research on influence of pre-existing crack geometrical and material properties on crack propagation in rocks
[J].
Fracture Mechanics
[M]//
Microscopic characterization of microcrack development in marble after cyclic treatment with high temperature
[J].
A bonded-particle model for rock
[J].
Physico-mechanical properties variation of rock with phase transformation under high temperature
[J].
Bonded-particle modeling of thermally fractured granite
[J].
Deformation and failure characteristics of granite under uniaxial compression after high temperature
[J].
Research on mechanical characteristics and micropore structure of granite under high-temperature
[J].
The grain-based model numerical simulation of unconfined compressive strength experiment under thermal-mechanical coupling effect
[J].
Discrete element modeling on fracture coalescence behavior of red sandstone containing two unparallel fissures under uniaxial compression
[J].
A numerical estimate method of dynamic fracture initiation toughness of rock under high temperature
[J].
Study and comparison of mechanical properties of sandstone under static and dynamic loadings after high temperature
[J].
Meso-structure characterization based on coupled thermal-mechanical model for rock failure process and applications
[J].
Acoustic emission characteristics and thermodynamic coupling model of granite under uniaxial compression
[J].
Thermal influence on mechanical properties of granite:A microcracking perspective
[J].
A time-dependent thermo-mechanical creep model of rock
[J].
Testing study on mechanical properties of tuff,granite and breccia after high temperatures
[J].
预制裂隙花岗岩的裂纹起裂机理试验研究
[J].
含双裂隙岩石裂纹演化机理的离散元数值分析
[J].
预制裂纹几何与材料属性对岩石裂纹扩展的影响研究
[J].
岩石高温相变与物理力学性质变化
[J].
高温作用后花岗岩单轴压缩下变形破坏特征研究
[J].
高温后砂岩静,动态力学特性研究与比较
[J].
基于细观结构表征的岩石破裂热—力耦合模型及应用
[J].
花岗岩单轴压缩的声发射特征及热力耦合模型
[J].
基于温度—应力耦合作用的岩石时效蠕变模型
[J].
3种岩石高温后力学性质的试验研究
[J].
/
| 〈 |
|
〉 |


甘公网安备 62010202000672号