基于离散元的花岗岩热敏感性及裂纹扩展研究 |
| 李明兼,尹土兵,谭小松,杨政 |
|
Study on Thermal Sensitivity and Crack Propagation of Granite Based on Discrete Element Method |
| Mingjian LI,Tubing YIN,Xiaosong TAN,Zheng YANG |
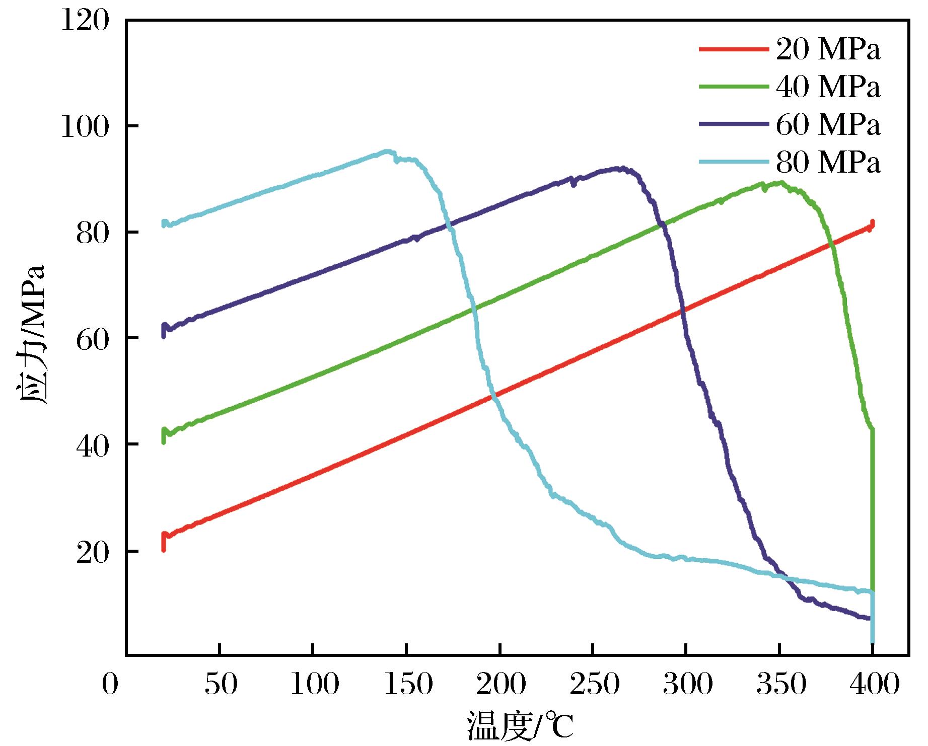
| 图9 含有45°预制裂隙模型的温度—应力曲线(α=45°) |
| Fig.9 Temperature-stress curves(α=45°) of model with 45° prefabricated flaws |
|