基于离散元的花岗岩热敏感性及裂纹扩展研究 |
| 李明兼,尹土兵,谭小松,杨政 |
|
Study on Thermal Sensitivity and Crack Propagation of Granite Based on Discrete Element Method |
| Mingjian LI,Tubing YIN,Xiaosong TAN,Zheng YANG |
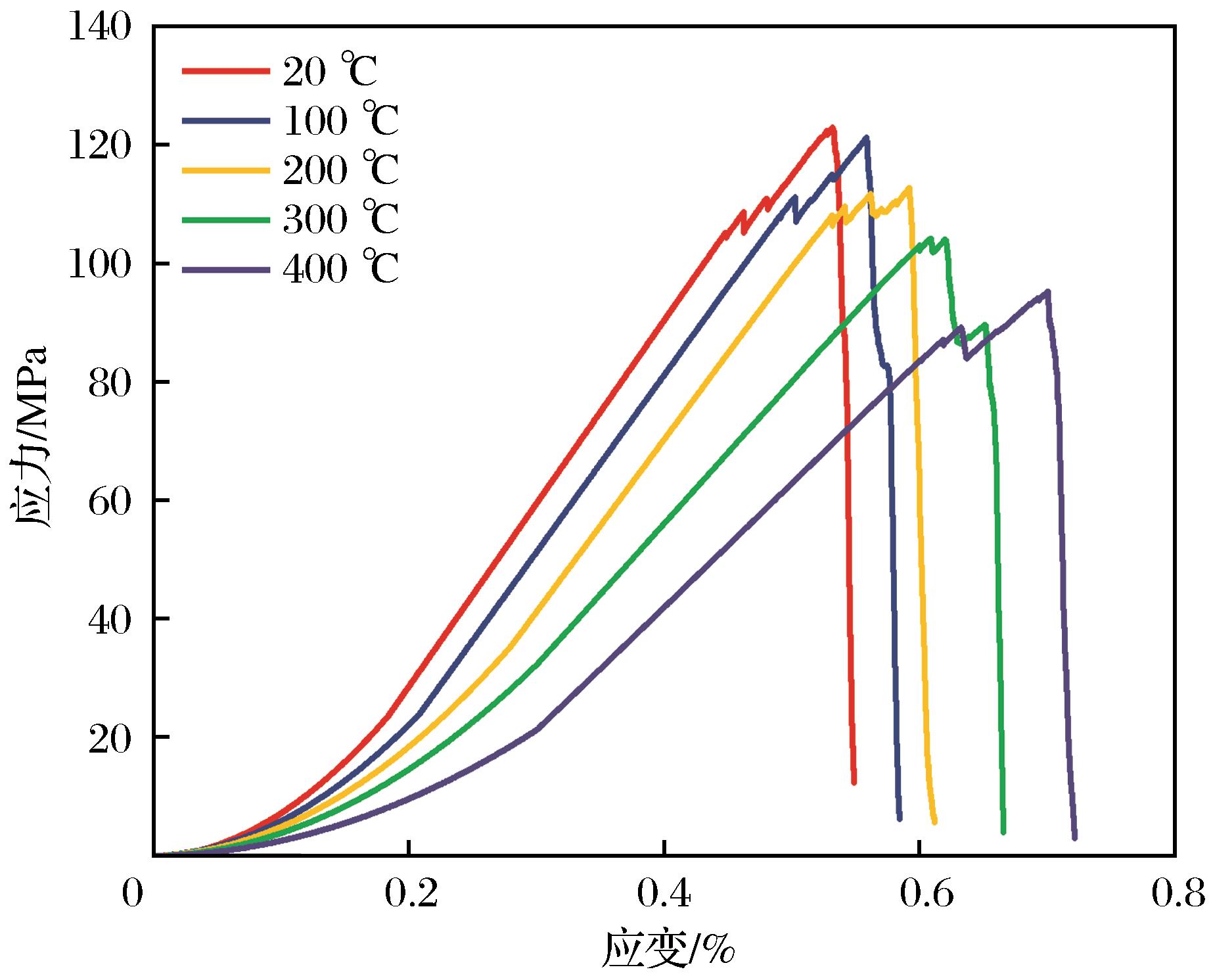
| 图5 模拟加载的应力—应变曲线 |
| Fig.5 Stress-strain curves of simulated loading |
|