ISSN 1005-2518
CN 62-1112/TF

黄金科学技术, 2022, 30(4): 540-549 doi: 10.11872/j.issn.1005-2518.2022.04.026

采选技术与矿山管理

单轴压缩下不同尺寸充填体能量损伤演化特征试验研究

赵奎,1,2, 刘周超1,2, 曾鹏,1,2, 龚囱1,2

1.江西理工大学资源与环境工程学院,江西 赣州 341000

2.江西理工大学江西省矿业工程重点实验室,江西 赣州 341000

Experimental Study on Energy Damage Evolution Characteristics of Filling Specimens with Different Sizes Under Uniaxial Compression

ZHAO Kui,1,2, LIU Zhouchao1,2, ZENG Peng,1,2, GONG Cong1,2

1.School of Resources and Environmental Engineering, Jiangxi University of Science and Technology, Ganzhou 341000, Jiangxi, China

2.Key Laboratory of Mining Engineering of Jiangxi Province, Jiangxi University of Science and Technology, Ganzhou 341000, Jiangxi, China

通讯作者: 曾鹏(1987-),男,江西赣州人,副教授,从事采矿工程、矿山岩石力学试验与工程稳定性、岩石类材料声发射与次声检测技术等方面的教学与研究工作。zengpeng23@126.com

收稿日期: 2022-02-16   修回日期: 2022-04-13  

基金资助: 国家自然科学基金项目“硬脆性岩石特征应力损伤演化机制及其与Kaiser效应的关系研究”.  52164004
“浸矿侵蚀下离子型稀土矿床基岩结构面剪切强度劣化时效特性及机理”.  52104086
江西省重点研发计划重点项目“矿山地下开采灾害预警、应急救援关键技术与示范”.  20212BBG71009
江西省博士后科研项目“赣南钨矿深部充填尾砂胶结充填体破坏的次声波预测方法及其机理探索性研究”.  2020KY39

Received: 2022-02-16   Revised: 2022-04-13  

作者简介 About authors

赵奎(1969-),男,安徽六安人,教授,从事矿山岩石力学测试与工程研究工作yglmf_zk@163.com , E-mail:yglmf_zk@163.com

摘要

对4种不同尺寸(40,70.7,100,150 mm)的充填体试件进行了室内单轴压缩试验,研究了尺寸变化对充填体能量演化规律和损伤破坏机制的影响,并得到了基于弹性能耗比的充填体破坏前兆判据。研究结果表明:单轴压缩下不同尺寸充填体的能量演化规律相似,体现为峰前以弹性应变能积蓄为主,峰后耗散能占比不断上升并迅速超越弹性应变能;随着试件尺寸的增加,充填体在峰值应力处总输入应变能、弹性应变能和耗散能均呈非线性下降趋势;根据耗散能曲线,可将充填体能量损伤演化过程划分为初始损伤、损伤加速、损伤稳定发展和损伤破坏4个阶段;试件尺寸越大,弹性能耗比K值变化幅度越大;弹性能耗比K值曲线整体先上升后下降,持续到一个较低值,在临近峰值应力处再转为上升。弹性能耗比K值曲线的这一变化规律可作为充填体临界破坏前兆特征。

关键词: 尺寸效应 ; 充填体 ; 能量损伤 ; 弹性能耗比 ; 破坏前兆

Abstract

The indoor uniaxial compression tests were carried out on four filling specimens with different sizes of 40 mm,70.7 mm,100 mm and 150 mm.The effects of size changes on the energy evolution law and damage mechanism of filling were studied,and the precursory criterion of filling body failure based on elastic energy consumption ratio was obtained.The results show that the energy evolution laws of different sizes of fillings under uniaxial compression are similar,which are reflected in that the elastic strain energy is mainly accumulated before the peak stress,the energy is released and dissipated during the failure process of the specimen,the curve of dissipated energy and elastic energy shows an alternating growth trend,and the proportion of dissipated energy increases continuously and exceeds the elastic strain energy rapidly after the peak stress.With the increase of specimen size,the total input strain energy,elastic strain energy and dissipation energy of the filling body at the peak stress show a nonlinear downward trend,indicating that the energy storage limit and bearing capacity of the filling body are decreasing with the increase of specimen size.The dissipative energy characteristics of the filling body can better reflect the four stages of damage evolution in the filling body.In the initial damage stage and the stable development stage of damage,the variation range of the dissipation energy curves of the sample with the size of 40 mm is slightly larger than that of the sample with other sizes.In the stage of damage acceleration and damage failure,the corresponding curves of 40 mm and 70.7 mm samples and 100 mm and 150 mm samples show two different growth trends.The smaller the size is,the more severe the damage is.The larger the size of the filling specimen is,the greater the change range of the elastic energy consumption ratio K value of the specimen is.The elastic energy consumption ratio K value curve increases first and then decreases,continues to a low value,and then increases near the peak stress.This variation law of K value curve of elastic energy consumption ratio can be used as the precursory characteristic of critical failure of filling body.

Keywords: size effect ; filling body ; energy damage ; elastic energy consumption ratio ; failure precursor

PDF (6441KB) 元数据 多维度评价 相关文章 导出 EndNote| Ris| Bibtex  收藏本文

本文引用格式

赵奎, 刘周超, 曾鹏, 龚囱. 单轴压缩下不同尺寸充填体能量损伤演化特征试验研究[J]. 黄金科学技术, 2022, 30(4): 540-549 doi:10.11872/j.issn.1005-2518.2022.04.026

ZHAO Kui, LIU Zhouchao, ZENG Peng, GONG Cong. Experimental Study on Energy Damage Evolution Characteristics of Filling Specimens with Different Sizes Under Uniaxial Compression[J]. Gold Science and Technology, 2022, 30(4): 540-549 doi:10.11872/j.issn.1005-2518.2022.04.026

充填采矿法作为一种绿色开采方法,被广泛应用于各类矿山(靳少博等,2021卢蓉等,2021赵奎等,2020a)。充填体是矿山开采单元的主要支撑部分,是一种多孔性非均质材料,其力学性质受尺寸变化的影响显著(Wu et al.,2017Yilmaz et al.,2015)。甘德清等(2018)结合VIC-3D全场应变测量系统对4种不同尺寸充填体的强度特征及破裂演化过程进行了分析,发现随着充填体尺寸的增加,试样单轴抗压强度逐渐减小,尺寸较小的试样破坏后其表面出现了多条裂纹,而尺寸较大的试样表面易出现宏观破坏带。Xue et al.(2020)开展了不同尺寸纤维增强型充填体的单轴压缩试验,发现尺寸变化是影响试样力学性能的主要因素之一,且试样强度随体积增加而降低。郭育霞等(2021)研究了单轴压缩下充填体强度、声发射及电阻率随尺寸的变化规律,发现充填体内部包含的气孔、微裂隙和微孔隙等缺陷是尺寸效应的主要形成原因,并建立了不同尺寸充填体的损伤及本构方程。

充填体的破坏过程是充填体在外力作用下其内部孔隙、微裂纹发生压密、闭合,随着加载的进行,微裂纹不断扩展、贯通,最终导致宏观裂纹形成、试样整体失稳的过程。实际上充填体加载过程是试样始终保持与加载环境进行能量及物质交换的过程,其破坏是由外部载荷作用下内部能量驱动导致的(高玮等,2011谢和平等,2004)。因此,通过研究不同尺寸的充填体能量释放规律并建立充填体失稳破坏过程与能量之间的联系,对揭示充填体损伤演化机制具有重要意义。

国内外已有大量学者对岩石和充填体的能量耗散特征进行了研究,并得到了众多有益结论(张志镇,2013李天斌等,2015)。谢和平等(2005)基于能量耗散及能量释放原理建立了岩石的强度丧失准则和岩体整体破坏准则;李子运等(2018)开展了不同围压下的页岩三轴加卸载试验,研究了加卸载全过程中页岩轴向应变能、径向扩散能、损耗能和可释放弹性应变能的演化规律,发现不同围压下页岩各能量指标在峰前的分配比例区别不大,峰后能量积蓄的围压效应明显,并提出弹性能耗比可作为岩石强度失效判据。徐文彬等(2014)研究了三轴加载过程中充填体能耗与应力、应变的关系,结果表明:随着围压的增加,充填体吸收总能量曲线的非线性段持续时间越长,吸收总能量曲线与轴向应变呈指数函数关系,且围压越大则吸收总能量曲线增长速度越快。尹升华等(2021)分析了不同粗骨料替代率下充填体单轴压缩过程中的能量分配规律及能量损伤演化特征,发现充填体峰值应力处弹性应变能、破坏处单位体积应变能与粗骨料替代率呈二次函数关系,根据耗散能与总输入应变能之间的比例关系曲线,可将充填体加载过程划分为5个阶段。侯永强等(2020a)开展了不同应变速率下充填体的冲击加载试验,结果表明:充填体的峰前能耗量密度、峰后能耗量密度、单位体积应变能及总能耗量密度与应变率之间均呈指数函数关系,同时充填体动态抗压强度与充填体峰后耗散能密度间呈正相关关系。

综上所述,关于岩石和充填体在单轴、三轴等加载路径下的能量演化特征和力学特性得到了广泛研究与讨论,但有关不同尺寸下充填体在加载过程中的各能量指标分布和能耗特征等方面的研究鲜有报道。基于单轴压缩试验,本文研究了4种不同尺寸充填体试样受力破坏过程中的能量演化规律,分析了总应变能、弹性应变能和耗散能随尺寸变化的特征,统计了不同尺寸充填体峰值应力处各能量指标变化规律,同时基于弹性耗能比变化趋势,探索了不同尺寸充填体破坏前兆判据。

1 能量计算原理

考虑单位体积充填体在外力作用下的变形,根据热力学第一定律,假定试样在加载过程中与外界无热量交换,则有以下关系:

U=Ue+Ud
Ue=12Euσ12+σ22+σ32-2μ¯ σ1σ2+σ1σ3+σ2σ3

式中:U为外力对单位体积试样作用下所产生的总输入应变能;Ue为单元可释放的弹性应变能;Ud为单元耗散能(谢和平等,2005)。本次试验采用加载路径为单轴压缩,试样仅受轴向作用力,故单位体积充填体各部分应变能可表示为

U=0ε1σ1dε1
Ue=12σ1εe=12Euσ12

式中:Euμ¯分别为试件的卸载弹性模量和卸载泊松比;σε分别为充填体试样的应力和应变。具体计算过程参照图1,其中,应力—应变曲线与横坐标轴间所围面积为总输入应变能U,从加载点处作一斜率为Eu的直线与横坐标轴相交,其中直线与横坐标之间阴影区域面积代表弹性应变能Ue,应力—应变曲线与直线间对应面积为单元耗散能Ud。本文采用初始弹性模量E0替代卸载弹性模量Eu来计算可释放弹性应变能(侯永强等,2020b)。

图1

图1   单位体积中弹性应变能与耗散能关系

Fig.1   Relationship between elastic strain energy and dissipated energy


2 试验方案

充填体制备采用全尾砂,取自江西某铜矿山充填站,胶结剂为P.O 42.5普通复合硅酸盐水泥,水为普通自来水,灰砂比为1∶4,料浆质量浓度为75%。搅拌均匀后,浇筑成尺寸分别为40 mm×40 mm×40 mm(A组)、70.7 mm×70.7 mm×70.7 mm(B组)、100 mm×100 mm×100 mm(C组)和150 mm×150 mm×150 mm(D组)的充填体试样各3个,如图2所示。经24 h后脱模放入标准养护箱中养护28 d,养护温度设置为(20±2)℃,湿度控制在96%以上。养护完成后,测量试样的尺寸及波速,并挑选波速接近的充填体试样进行单轴压缩试验。单轴压缩试验采用中国科学院武汉岩土力学研究所研发的RMT-150C岩石力学试验系统,如图3所示。加载方式为位移控制,加载速率为0.002 mm/s。

图2

图2   不同尺寸充填体试样

Fig.2   Backfills of different sizes


图3

图3   RMT-150C岩石力学试验系统

Fig.3   RMT-150C rock mechanics experimental equipment system


3 试验结果分析

3.1 应力—应变特征

图4所示为不同尺寸充填体在单轴压缩下的典型应力—应变曲线,根据曲线斜率变化规律,可将应力—应变曲线划分为4个阶段(以D组试样为例):孔隙压密阶段(OA段)、线弹性阶段(AB段)、塑性屈服阶段(BC段)和峰后破坏阶段(CD段)(赵奎等,2020b)。

图4

图4   不同尺寸充填体应力—应变曲线

Fig.4   Stress-strain curves of backfills with different sizes


图4可知,不同阶段的曲线变化规律如下:(1)孔隙压密阶段,试样内部孔隙在压实作用下逐渐闭合,可以看出70.7 mm的充填体试样相比40 mm的试样存在更短更陡的压密阶段,这是因为尺寸越小的充填体试样受端部“钳住”效应影响越大,端部三轴压缩作用明显(潘鹏志等,2008)。随着尺寸的增加,试样压密阶段延长,这是由于充填体内部孔隙在增多。(2)孔隙压密后,曲线斜率基本不变,进入线弹性阶段。(3)随着荷载继续施加,当超过充填体弹性极限时,试样进入塑性屈服阶段,此阶段充填体内部孔隙持续发育、扩展,曲线逐渐到达峰值点,尺寸愈小,其抗压能力越强。(4)到达峰值点后,继续加载,各尺寸试样应力—应变曲线斜率趋于一致,应力趋于一稳定值(残余强度)。随着尺寸的增加,试样残余强度逐渐减小。图5所示为不同尺寸充填体的最终破坏形态,可以看出,随着尺寸的增加,试样破坏模式由张拉破坏逐渐向剪切破坏过渡,破坏过程中试样宏观裂纹贯通程度逐渐增强,大尺寸试样中塌落区数量及规模明显增多。

图5

图5   不同尺寸充填体破坏形态

(a)尺寸为40 mm;(b)尺寸为70.7 mm;(c)尺寸为100 mm;(d)尺寸为150 mm

Fig.5   Failure forms of backfills with different sizes


3.2 能量演化规律

根据以上计算原理,得到不同尺寸充填体试样所对应总输入应变能U、单元弹性应变能Ue和单元耗散能Ud的演化规律,图6所示为不同尺寸充填体各能量指标与应力—应变关系曲线。由图6可知,不同尺寸充填体试样在单轴压缩作用下各能量指标具有相似规律,均具有明显阶段性特征(尹升华等,2021)。

图6

图6   不同尺寸充填体能量与应力—应变关系曲线

Fig.6   Relationship curves between energy and stress-strain of backfills with different sizes


(1)压密阶段(OA段)。压密初始段,初始总输入应变能与单元弹性应变能随加载进行具有相似的变化规律,均呈非线性增长,而单元耗散能基本呈线性增长趋势。造成此种现象的原因是,初始压密阶段,在轴向应力作用下,充填体试样内部大量的微孔隙、裂隙及气孔等缺陷首先闭合,此过程需消耗能量,耗散能在总应变能中占比明显大于弹性应变能。当试样尺寸为40 mm、70.7 mm、100 mm和150 mm时,对应耗散能占比分别为64%、62%、57%和52%,即尺寸越大,试样耗散能占比越少。随着荷载继续施加,充填体内部孔隙迅速闭合,此时耗散能曲线与弹性应变能曲线出现交会点,耗散能曲线呈下降趋势,而后弹性应变能将逐步超越耗散能,此时耗散能占比分别为34%、30%、26%和44%。随着尺寸的增加,试样耗散能占比呈先下降后上升的趋势。

(2)线弹性阶段(AB段)。弹性应变能曲线与总输入应变能曲线基本保持一致,呈上升趋势。由此表明,此阶段总输入应变能几乎全部转化为充填体内部的弹性应变能,耗散能曲线与横坐标轴平齐,能量耗散微乎其微,此时充填体接近为一弹性体,而耗散能占比分别为8%、13%、6%和12%。

(3)塑性屈服阶段(BC段)。弹性应变能上升趋势减缓,并在峰值应力处达到最高值(储能极限值),耗散能曲线由平缓转为上升趋势,耗散能占比逐步增加,但弹性应变能仍占据主导地位。表明充填体内部出现了微裂纹的衍生及扩展,此时耗散能占比分别为42%、46%、26%和30%。随着尺寸的增加,试样耗散能占比整体呈下降趋势。

(4)峰后破坏阶段(CD段)。由于充填体内部微裂纹进一步扩展并逐渐贯通,弹性应变能曲线呈快速下降趋势,而耗散能上升速率持续增加,并迅速超越弹性应变能。随着加载继续进行,充填体表面出现宏观裂纹并逐步失去承载能力(能量积蓄能力),内部积蓄的弹性应变能则快速以耗散能的形式释放。

3.3 尺寸变化对能量演化的影响

表1为不同尺寸充填体试样在峰值应力处对应各能量值及弹性应变能、耗散能占总输入应变能的比例。由表1可知,当试样尺寸为40 mm、70.7 mm、100 mm和150 mm时,对应的总输入应变能均值分别为107,76,41,38 kJ/m3。随着尺寸的增加,充填体试样的总输入应变能、弹性应变能及耗散能均呈非线性下降趋势,相较尺寸为40 mm的试样,其余尺寸试样总输入应变能下降幅度分别为29%、62%和64%,即尺寸愈大,试样所吸收总能量下降越多。

表1   不同尺寸充填体峰值应力对应的应变能

Table 1  Strain energy corresponding to peak stress of backfills with different sizes

试样尺寸

/mm

峰值点总能量

/(kJ·m-3

峰值点弹性能

/(kJ·m-3

峰值点耗散能

/(kJ·m-3

40A11046048
A21106541
A31016146
平均值1056245
70.7B1753736
B2744237
B3794432
平均值764135
100C1373711
C2452413
C341299
平均值413011
150D1422510
D2372712
D3352614
平均值382612

新窗口打开| 下载CSV


图7所示为峰值点能量指标随尺寸变化曲线。当试样尺寸为40 mm、70.7 mm、100 mm和150 mm时,对应的弹性应变能均值分别为62,41,30,26 kJ/m3。相较尺寸为40 mm的试样,其余尺寸试样总输入应变能下降幅度分别为33%、51%和57%。峰值应力处对应弹性应变能值称为试样的储能极限值,代表试样所存储应变能的大小,亦反映了试样的原始损伤程度。随着尺寸的增加,充填体的储能极限不断降低。其中,尺寸为100 mm和150 mm试样的降低幅度明显大于尺寸为70.7 mm的试样,说明尺寸越大,试样内部含微孔隙等缺陷越多。耗散能大小代表试样抵御变形的能力,当试样尺寸为40 mm、70.7 mm、100 mm和150 mm时,对应的耗散能均值分别为45,35,11,12 kJ/m3,相较尺寸为40 mm的试样,其余尺寸试样耗散能下降幅度分别为22%、76%和74%,说明尺寸越大,试样承载能力越差。

图7

图7   峰值点能量指标随尺寸变化曲线

Fig.7   Curves of peak point energy index with size


3.4 不同尺寸充填体损伤破坏特征

由于内部微孔隙等缺陷的存在,充填体单轴压缩过程亦是能量积蓄及耗散过程,在外力作用下,试样所受总应变能无法被完全吸收,能量耗散的多少可代表内部损伤破坏程度的高低。分析耗散能—应变曲线(图6)的变化趋势,可将充填体损伤演化过程划分为4个阶段(侯永强等,2020b)。分述如下:

(1)初始损伤阶段(OA段),对应应力—应变曲线初始压密阶段。耗散能曲线呈缓慢上升趋势,充填体内部孔隙压密是能量转移、转化的主要原因。其中,输入的大部分应变能转化为耗散能,而部分应变能被储存起来,表面充填体试样产生了轻微初始损伤。

(2)损伤稳定发展阶段(AB段),对应应力—应变曲线线弹性阶段。耗散能曲线由上升转为下降趋势,并逐渐呈水平稳定增长,代表孔隙已被压密,总输入应变能基本等于弹性应变能,损伤程度极低。

(3)损伤加速阶段(BC段),对应应力—应变曲线塑性破坏阶段。当弹性应变能积蓄到一定程度后,充填体试样难以继续吸收,弹性应变能曲线上升趋势减缓,而耗散能曲线呈急剧上升趋势,原先闭合裂纹及微孔隙等继续扩展,并伴随新生裂纹的产生及大量能量的耗散,损伤程度迅速增加。

(4)损伤破坏阶段(CD段),对应应力—应变曲线峰后破坏阶段。到达充填体试样所能储存能量的极限(峰值应力处)后,弹性应变能曲线呈快速下降趋势。表明试样将无法继续储存能量,原先储存的弹性应变能以耗散能形式迅速释放,而耗散能曲线上升趋势出现再一次增长,损伤程度急剧上升,并最终达到损伤极值,充填体丧失承载能力。

图8给出了不同尺寸充填体试样的耗散能随位移加载变化曲线,在初始损伤阶段和损伤稳定发展阶段,4种尺寸试样耗散能—应变曲线变化趋势相近,仅尺寸为40 mm试样变化幅度略大,到达损伤加速阶段及损伤破坏阶段,4类曲线开始出现明显不同的变化趋势,其中尺寸为40 mm和70.7 mm的试样对应曲线在这2个阶段呈剧烈增长模式,而尺寸为100 mm和150 mm的试样对应的曲线则由平缓过渡到快速增长模式。由此可知,尺寸越小,试样损伤破坏程度越剧烈,试样内所能积蓄的能量及所需消耗的能量也更多。

图8

图8   不同尺寸充填体耗散能与应变关系曲线

Fig.8   Relation curves between dissipated energy and strain of backfills with different sizes


3.5 基于弹性能耗比的充填体破坏前兆特征

综上可知,能量耗散和能量释放与充填体内部损伤演化及整体破坏具有良好的对应性。李子运等(2018)提出采用弹性能耗比K值来反映岩石损伤与能量之间的关系,并将其突变点作为岩石的强度失效判据。弹性能耗比K值定义为试样加载过程中耗散能与弹性能之比,即:

K=Ud/Ue

对于理想弹性体,在加载过程中吸收的总输入应变能完全以弹性应变能的形式储存在试样内部,弹性能耗比K值在加载过程中始终为0。对于此类典型的弹塑性充填体,部分输入应变能将以摩擦能、声波能和表面能等形式释放,弹性能耗比K值随着加载的进行而变化,耗散能的增加意味着试样内部损伤的加剧,当耗散能增长到一定程度时,将最终导致试样的破坏。

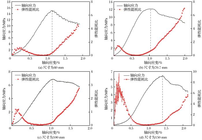
图9给出了不同尺寸典型试样加载过程中弹性能耗比K值变化曲线与应力—应变曲线的对应关系。由图9可知,4种尺寸试样弹性能耗比K值的变化曲线具有相似变化规律:初始压密阶段,弹性能耗比曲线表现为陡升—陡降趋势,该阶段充填体内部的孔隙压密至闭合;线弹性阶段至塑性破坏阶段,弹性能耗比曲线呈缓慢下降趋势,充填体试样内部孔隙压密后持续被压缩,弹性能耗比趋于0,充填体积蓄的能量逐步达到最大值;临近峰值应力处,弹性能耗比曲线由持续下降转变为逐步上升趋势;峰后阶段,弹性能耗比增长加速,此时试样已出现较大范围损伤,内部孔隙和微裂隙相互贯通、持续扩展现象,随着加载的进行,充填体失稳破坏。弹性能耗比是反映充填体加载过程储能与耗能关系的参数,弹性能耗比曲线由持续下降转变为逐步上升趋势可作为充填体临界破坏前兆特征。

图9

图9   弹性能耗比随应变的变化曲线

Fig.9   Curves of elastic energy consumption ratio versus strain


对比不同尺寸充填体试样弹性能耗比曲线可知,随着尺寸的增加,弹性能耗比呈增加趋势,尺寸为100 mm和150 mm的试样在压密阶段的弹性能耗比曲线变化剧烈,其中尺寸为150 mm的试样弹性能耗比最大值达到9左右,另外2种尺寸试样曲线波动较小,最大值不足2,反映出大尺寸试样内部所含缺陷较小尺寸试样更多,压密阶段耗散能较弹性能增加迅速。

4 结论

(1)单轴压缩下不同尺寸充填体的总输入应变能、弹性应变能和耗散能的演化规律具有相似性,均表现为峰值应力前以弹性应变能积蓄为主,试样破坏过程中发生能量释放和耗散,耗散能和弹性能曲线出现了交替增长趋势,峰值应力后耗散能占比不断上升并迅速超越弹性应变能。

(2)随着试件尺寸的增加,充填体在峰值应力处的总输入应变能、弹性应变能和耗散能均呈非线性下降趋势,说明随着试件尺寸的增加,充填体的储能极限和承载能力均不断降低。

(3)充填体的耗散能特征能够较好地反映充填体内部损伤演化的4个阶段。初始损伤阶段和损伤稳定发展阶段,尺寸为40 mm的试样耗散能变化幅度略大于其余尺寸试样;损伤加速和损伤破坏阶段,尺寸为40 mm和70.7 mm的试样与尺寸为100 mm和150 mm的试样对应的耗散能曲线呈现出2种不同的增长趋势,尺寸越小则试样损伤破坏程度越剧烈。

(4)充填体试件的尺寸越大,试样弹性能耗比K值变化幅度越大。弹性能耗比K值曲线整体先上升后下降,然后持续到一个较低值,在临近峰值应力处再转为上升。弹性能耗比K值曲线的这一变化规律可作为充填体临界破坏前兆特征。

(5)本研究结果为室内尺度试验结果运用于矿山现场相关问题提供了理论参考,也为井下充填体的稳定性分析和失稳预测提供了一定的工程依据。

http://www.goldsci.ac.cn/article/2022/1005-2518/1005-2518-2022-30-4-540.shtml

参考文献

Gan DeqingHan LiangLiu Zhiyiet al2018.

Experimental study on the size effect of compressive strength of cemented filling body

[J].Metal Mine,471):32-36.

Gao WeiWang LeiYang Dayong2011.

Rock damage evolution based on energy principle

[J].Chinese Journal of Rock Mechanics and Engineering,30Supp.2):4087-4092.

Guo YuxiaZhao YonghuiFeng Guoruiet al2021.

Study on damage size effect of cemented gangue backfill body under uniaxial compression

[J].Chinese Journal of Rock Mecha-nics and Engineering,4012):2434-2444.

Hou YongqiangYin ShenghuaCao Yonget al2020a.

Research on damage and energy dissipation characteristics of cemented backfill under different loading rates

[J].Journal of Hunan University (Natural Sciences),478):108-117.

Hou YongqingYin ShenghuaCao Yonget al2020b.

Analysis of damage characteristics and energy dissipation of cemented tailings backfill with different curing ages under uniaxial compression

[J].Journal of Central South University(Science and Technology),517):1955-1965.

Jin ShaoboLiu KeweiHuang Jinet al2021.

Study on damage constitutive model of backfill under uniaxial compression loading

[J].Gold Science and Technology,294):555-563.

Li TianbinChen ZiquanChen Guoqinget al2015.

An experimental study of energy mechanism of sandstone with different moisture contents

[J].Rock and Soil Mechanics,36Supp.2):229-236.

Li ZiyunWu GuangHuang Tianzhuet al2018.

Variation of energy and criteria for strength failure of shale under traixial cyclic loading

[J].Chinese Journal of Rock Mechanics and Engineering,373):662-670.

Lu RongMa FengshanZhao Jieet al2021.

Analysis of acoustic emission index characteristics for indoor uniaxial compression test of backfill

[J].Gold Science and Technology,292):218-225.

Pan PengzhiZhou HuiFeng Xiating2008.

Research on effect of loading conditions on failure processes of rocks with different sizes under uniaxial compression

[J].Chinese Journal of Rock Mechanics and Engineering,27Supp.2):3636-3642.

Wu J BWang E YRen X Ket al2017.

Size effect of concrete specimens on the acoustic emission characteristics under uniaxial compression conditions

[J].Advances in Materials Science and Engineering,2017:1-12.

[本文引用: 1]

Xie HepingJu YangLi Liyun2005.

Criteria for strength and structural failure of rocks based on energy dissipation and energy release principles

[J].Chinese Journal of Rock Mechanics and Engineering,2417):3003-3010.

Xie HepingPeng RuidongJu Yang2004.

Energy dissipation of rock deformation and fracture

[J].Chinese Journal of Rock Mechanics and Engineering,2321):3565-3570.

Xu WenbinSong WeidongWang Dongxuet al2014.

Energy dissipation properties of cement backfill body under triaxial compression conditions

[J].Journal of China University of Mining and Technology,435):808-814.

Xue G LYilmaz ESong W Det al2020.

Fiber length effect on strength properties of polypropylene fiber reinforced cemented tailings backfill specimens with different sizes

[J].Construction and Building Materials,241118113.

[本文引用: 1]

Yilmaz EBelem TBenzaazoua M2015.

Specimen size effect on strength behavior of cemented paste backfills subjected to different placement conditions

[J].Engineering Geology,18552-62.

[本文引用: 1]

Yin ShenghuaHou YongqiangYang Shixinget al2021.

Analysis of deformation failure and energy dissipation of mixed aggregate cemented backfill during uniaxial compression

[J].Journal of Central South University(Science and Technology),523):936-947.

Zhang Zhizhen2013.

Energy Evolution Mechanism During Rock Deformation and Failure

[D].XuzhouChina University of Mining and Technology.

Zhao KuiXie WenjianZengpenget al2020a.

Experimental study on AE characteristics of cemented tailings backfill failure process with different concentration

[J].Journal of Applied Acoustics,394):543-549.

Zhao KuiZhuo YulongZeng Penget al2020b.

Synergies in downward slice stoping with cemented filling

[J].Metal Mine,495):19-25.

甘德清韩亮刘志义2018.

胶结充填体抗压强度尺寸效应的试验研究

[J].金属矿山,471):32-36.

[本文引用: 1]

高玮汪磊杨大勇2011.

岩石损伤演化的能量方法研究

[J].岩石力学与工程学报,30增2):4087-4092.

[本文引用: 1]

郭育霞赵永辉冯国瑞2021.

矸石胶结充填体单轴压缩损伤破坏尺寸效应研究

[J].岩石力学与工程学报,4012):2434-2444.

[本文引用: 1]

侯永强尹升华曹永2020a.

不同加载速率下胶结充填体损伤特性与能量耗散特征分析

[J].湖南大学学报(自然科学版),478):108-117.

[本文引用: 1]

侯永强尹升华曹永2020b.

单轴压缩下不同养护龄期尾砂胶结充填体损伤特性及能量耗散分析

[J].中南大学学报(自然科学版),517):1955-1965.

[本文引用: 2]

靳少博刘科伟黄进2021.

单轴压缩下充填体损伤本构模型研究

[J].黄金科学技术,294):555-563.

[本文引用: 1]

李天斌陈子全陈国庆2015.

不同含水率作用下砂岩的能量机制研究

[J].岩土力学,36增2):229-236.

[本文引用: 1]

李子运吴光黄天柱2018.

三轴循环荷载作用下页岩能量演化规律及强度失效判据研究

[J].岩石力学与工程学报,373):662-670.

[本文引用: 2]

卢蓉马凤山赵杰2021.

充填体室内单轴压缩试验声发射指标特性分析

[J].黄金科学技术,292):218-225.

[本文引用: 1]

潘鹏志周辉冯夏庭2008.

加载条件对不同尺寸岩石单轴压缩破裂过程的影响研究

[J].岩石力学与工程学报,27增2):3636-3642.

[本文引用: 1]

谢和平鞠杨黎立云2005.

基于能量耗散与释放原理的岩石强度与整体破坏准则

[J].岩石力学与工程学报,2417):3003-3010.

[本文引用: 2]

谢和平彭瑞东鞠杨2004.

岩石变形破坏过程中的能量耗散分析

[J].岩石力学与工程学报,2321):3565-3570.

[本文引用: 1]

徐文彬宋卫东王东旭2014.

三轴压缩条件下胶结充填体能量耗散特征分析

[J].中国矿业大学学报,435):808-814.

[本文引用: 1]

尹升华侯永强杨世兴2021.

单轴压缩下混合集料胶结充填体变形破坏及能耗特征分析

[J].中南大学学报(自然科学版),523):936-947.

[本文引用: 2]

张志镇2013.

岩石变形破坏过程中的能量演化机制

[D].徐州中国矿业大学.

[本文引用: 1]

赵奎谢文健曾鹏2020a.

不同浓度的尾砂胶结充填体破坏过程声发射特性试验研究

[J].应用声学,394):543-549.

[本文引用: 1]

赵奎卓毓龙曾鹏2020b.

下向分层胶结充填开采中的协同性

[J].金属矿山,495):19-25.

[本文引用: 1]

/