单轴压缩下不同尺寸充填体能量损伤演化特征试验研究 |
| 赵奎,刘周超,曾鹏,龚囱 |
|
Experimental Study on Energy Damage Evolution Characteristics of Filling Specimens with Different Sizes Under Uniaxial Compression |
| Kui ZHAO,Zhouchao LIU,Peng ZENG,Cong GONG |
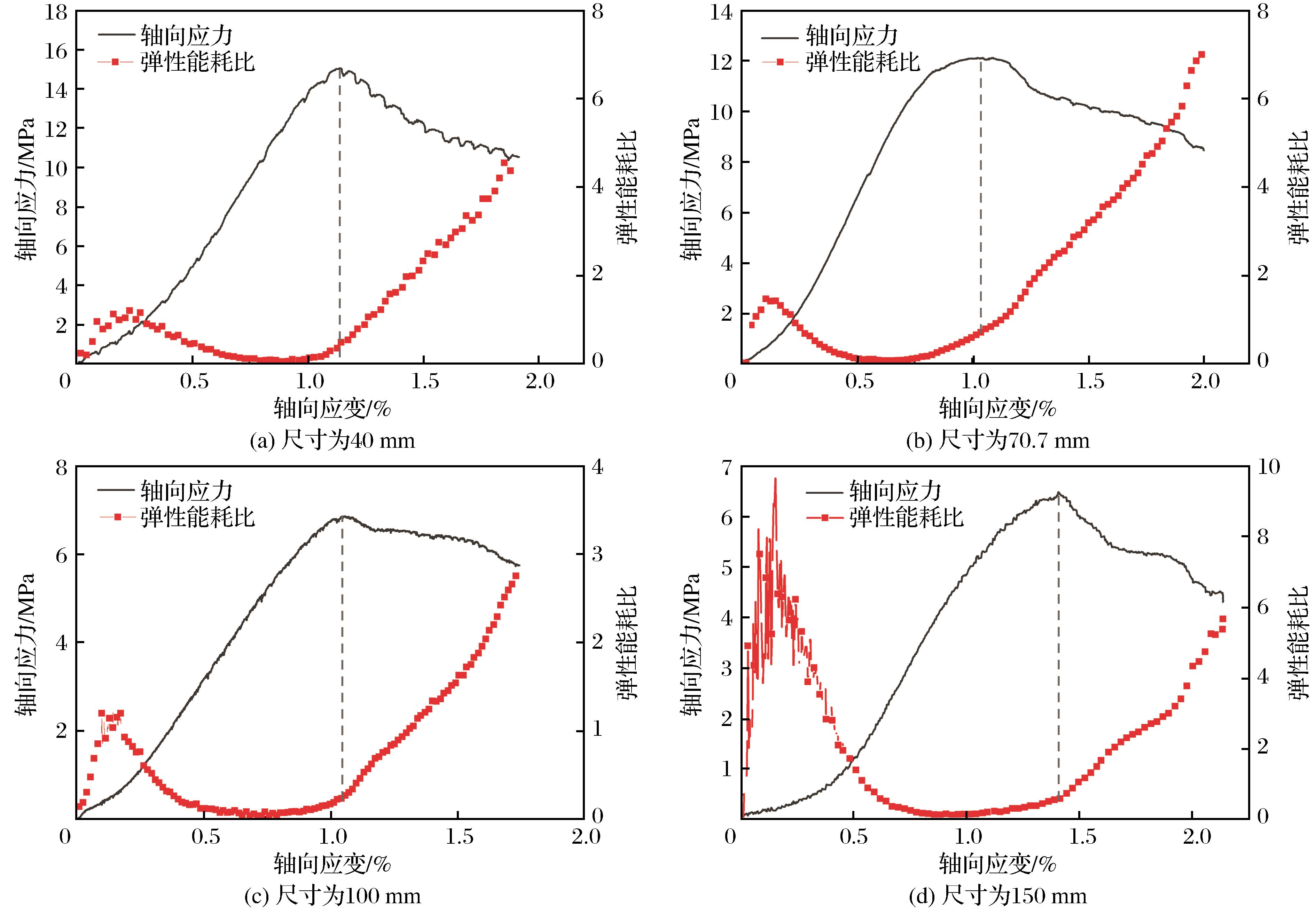
| 图9 弹性能耗比随应变的变化曲线 |
| Fig.9 Curves of elastic energy consumption ratio versus strain |
|