单轴压缩下不同尺寸充填体能量损伤演化特征试验研究 |
| 赵奎,刘周超,曾鹏,龚囱 |
|
Experimental Study on Energy Damage Evolution Characteristics of Filling Specimens with Different Sizes Under Uniaxial Compression |
| Kui ZHAO,Zhouchao LIU,Peng ZENG,Cong GONG |
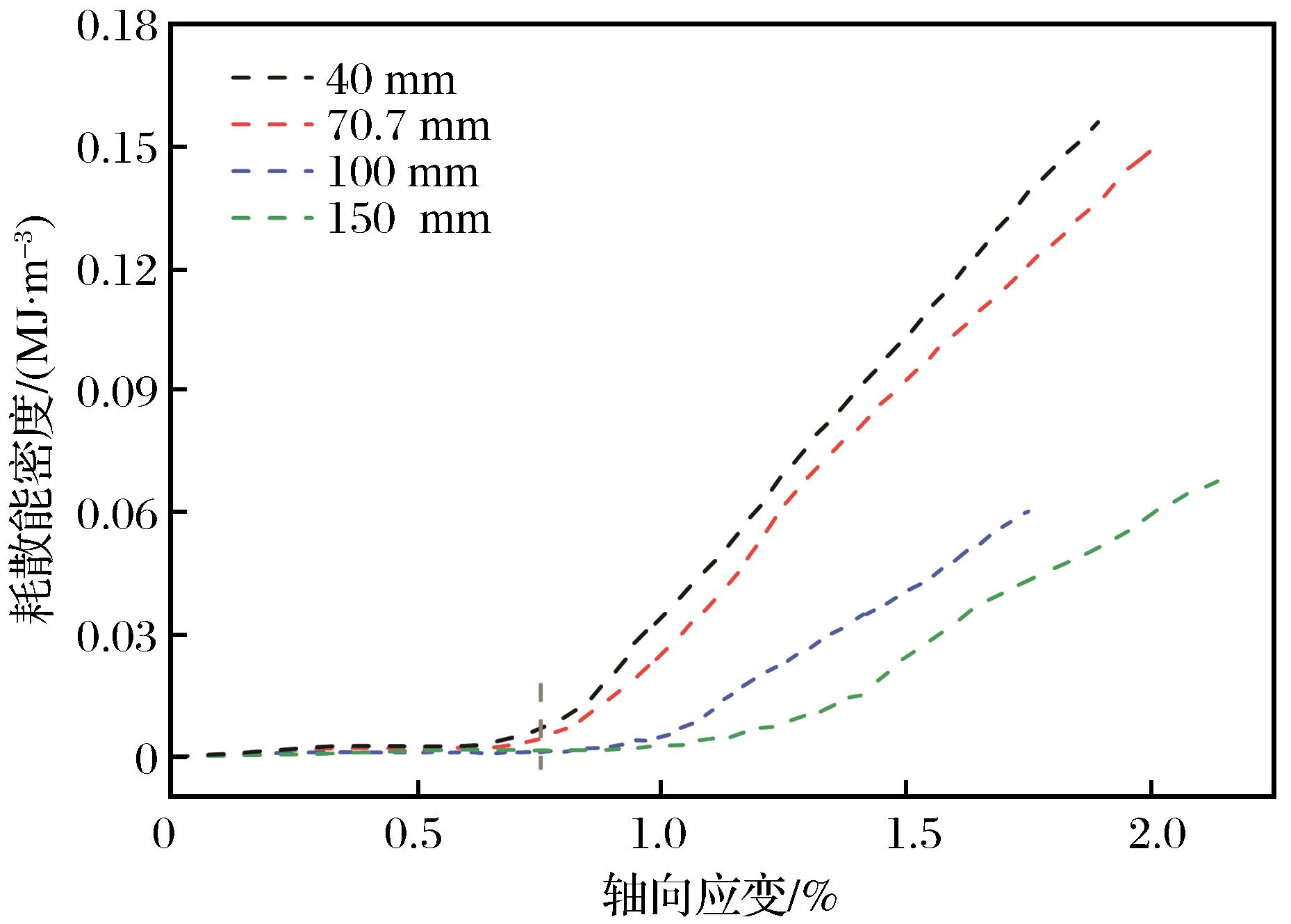
| 图8 不同尺寸充填体耗散能与应变关系曲线 |
| Fig.8 Relation curves between dissipated energy and strain of backfills with different sizes |
|