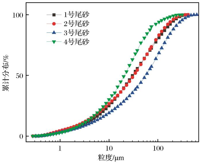
With the depletion of shallow mineral resources and the implementation of the national environmental protection policy,the filling mining method has gradually become the preferred mining method for major mines.In order to study the influence of the tailings own characteristics on the performance of flocculation and settlement during the filling process,the influence of the tailings own physical characteristics on the settlement effect was investigated by conducting flocculation and settlement experiments on four different tailings at the same feeding concentration,flocculant type and dosage.The experimental results and regression analysis show that the specific gravity,median particle size and -200 mesh particle content of the tailing sand are not mono-tonically correlated with the settling velocity and bottom flow concentration,and there is no simple univariate correlation between them,and the fitted equations are not well fitted by non-linear regression.The median particle size of the tailing sand show a positive correlation with the settling velocity and the bottom flow concentration.The -200 mesh particle content is negatively correlated with the settling velocity and bottom flow concentration in the process of flocculation and settling,and the fit is high,which has a higher degree of influence on the settling effect.The single-factor correlation of specific gravity of tailings,median particle size with settling velocity and bottom flow concentration is low,and the regression equation of these three factors with settling velocity and bottom flow concentration is obtained by multiple linear regression using SPSS software,and the significance of these factors is further analyzed.For the influence degree of flocculation settling velocity of tailings mortar,-200 mesh particle content > median particle size > proportion of the tailings.For the influence degree of tailings bottom flow concentration,median particle size >-200 mesh particle con-tent > proportion of the tailings.
Keywords:flocculation sedimentation
;
median particle size
;
proportion of the tailings
;
granular composition
;
bottom flow concentration
;
sedimentation velocity
;
full tailings
LI Zhaoyu, SUN Wei, ZHANG Shengyou, LI Jinxin. Study on the Effect of Physical Properties of Full Tailings on Flocculation and Sedimentation Performance[J]. Gold Science and Technology, 2022, 30(1): 64-71 doi:10.11872/j.issn.1005-2518.2022.01.124
随着科学技术的快速发展,矿产资源的开发利用程度不断提高,但同时也产生了大量的固体废弃物。充填采矿法不仅能够有效回收利用固体废弃物,而且在改善地压环境方面发挥着重要作用,为实现矿山绿色开采提供了一条有效途径(Wang et al.,2008)。在充填料浆制备过程中,尾砂浓密脱水浓缩作为井下高效充填的关键环节(焦华喆等,2010),其工艺参数选择尤为重要。为了加快尾砂沉降速率并获得适宜的底流浓度,通常采用加入絮凝剂的方法来提高尾砂浓缩效率,加速脱水浓缩过程。
絮凝剂是一种通过物理化学作用使细微颗粒聚集的药剂,在矿山领域,常将絮凝剂的化合物类型划分为有机高分子絮凝剂、无机絮凝剂、矿物类助凝剂和微生物絮凝剂,以及部分复合絮凝剂,如:高分子无机—有机复合絮凝剂等。针对不同类型的尾矿,选用的絮凝剂及其添加量不尽相同,目前国内外学者采用多因素耦合试验方法研究入料浓度、絮凝剂种类和絮凝剂添加量对尾砂沉降效果的影响规律。同时,通过核磁共振、电镜扫描等技术手段对絮凝剂使用效果进行微观、细观等多层面、多角度分析。Wang et al.(2020)和Zhu et al.(2018)利用电镜扫描和激光粒度分析等技术,发现粗尾砂粒与絮凝结构结合,导致絮凝过程中尾砂的加速沉降;吴爱祥等(2016)利用Design-Expert 软件分析并筛选影响全尾砂絮凝沉降的重要因素,考察多因素耦合条件下尾砂的沉降特征及规律。还有学者通过控制变量等方式研究絮凝剂种类及单耗、矿浆浓度等因素对沉降效果的影响规律(王星等,2008;李金鑫等,2021;张美道等,2020);也有学者通过改变絮凝剂种类及单耗等因素,揭示了絮凝剂种类及单耗对絮凝沉降效果的影响规律,以及有机、无机和复合絮凝剂的作用机理(Fan et al.,2020;康虔等,2019;孙浩等,2021)。刘奇等(2021)、朱建国等(2020)和隋璨等(2020)通过研究中值粒径、-200目粒径含量对絮凝沉降速度的影响,揭示了尾砂粒径对絮凝沉降的影响规律及作用机理。此外,刘奇等(2021)研究了尾砂粒级及密度对底流浓度和单位面积固体通量的影响,并通过回归分析推导了尾砂中值粒径与底流浓度改变量的方程。
Experimental research on factors influencing tailing pulp flocculation on settling
[J].Metal Mine,37(5):149-151,153.
WuAixiang, ZhouJing, YinShenghua, alet,2016.
Influence factors on flocculation sedimentation of unclassified tailings
[J].The Chinese Journal of Nonferrous Metals,26(2):439-446.
ZhangMeidao, RaoYunzhang, XuWenfeng, alet,2020.
Experimental study on static flocculation and settlement of full tailing mortar in a mine
[J].Metal Mine,49(12):50-54.
ZhengBokun, DengGaoling, LiXiangdong,2018.
Research on the application of long distance and stable pressure paste filling technology in high and steep mountainous areas
[J].Mining Technology,18(2):1-2,14.
ZhuJianguo, LiuFuchun, XiongYouwei, alet,2020.
Experimental study on settling characteristics of tail sand with different grain size grading
[J].Mining Research and Development,40(5):41-44.
ZhuZ F, XiongX Z, LiangC H, alet,2018.
On the flocculation and settling characteristics of low- and high-concentration sediment suspensions:Effects of particle concentration and salinity conditions
[J].Environmental Science and Pollution Research,25(14):14226-14243.
Characterisation of floc size,effective density and sedimentation under various flocculation mechanisms
1
2020
... 絮凝剂是一种通过物理化学作用使细微颗粒聚集的药剂,在矿山领域,常将絮凝剂的化合物类型划分为有机高分子絮凝剂、无机絮凝剂、矿物类助凝剂和微生物絮凝剂,以及部分复合絮凝剂,如:高分子无机—有机复合絮凝剂等.针对不同类型的尾矿,选用的絮凝剂及其添加量不尽相同,目前国内外学者采用多因素耦合试验方法研究入料浓度、絮凝剂种类和絮凝剂添加量对尾砂沉降效果的影响规律.同时,通过核磁共振、电镜扫描等技术手段对絮凝剂使用效果进行微观、细观等多层面、多角度分析.Wang et al.(2020)和Zhu et al.(2018)利用电镜扫描和激光粒度分析等技术,发现粗尾砂粒与絮凝结构结合,导致絮凝过程中尾砂的加速沉降;吴爱祥等(2016)利用Design-Expert 软件分析并筛选影响全尾砂絮凝沉降的重要因素,考察多因素耦合条件下尾砂的沉降特征及规律.还有学者通过控制变量等方式研究絮凝剂种类及单耗、矿浆浓度等因素对沉降效果的影响规律(王星等,2008;李金鑫等,2021;张美道等,2020);也有学者通过改变絮凝剂种类及单耗等因素,揭示了絮凝剂种类及单耗对絮凝沉降效果的影响规律,以及有机、无机和复合絮凝剂的作用机理(Fan et al.,2020;康虔等,2019;孙浩等,2021).刘奇等(2021)、朱建国等(2020)和隋璨等(2020)通过研究中值粒径、-200目粒径含量对絮凝沉降速度的影响,揭示了尾砂粒径对絮凝沉降的影响规律及作用机理.此外,刘奇等(2021)研究了尾砂粒级及密度对底流浓度和单位面积固体通量的影响,并通过回归分析推导了尾砂中值粒径与底流浓度改变量的方程. ...
Effect of different types of flocculant on the thickening property of superfine tailings
0
2021
Rule and mechanism of flocculation sedimentation of unclassified tailings
0
2010
Experimental study on continuous settlement law under solid-liquid two phase coupling conditions of unclassified tailings
0
2019
Factors influencing flocculation and sedimentation of full tailings
0
2021
Prediction of technical parameters of full tailings thickening based on static settlement test
0
2021
Influence of different physical properties of tailings on thickening performance
0
2021
Static flocculation and sedimentation rule of ultrafine whole tailings and its application in design of vertical sand bin
0
2019
Experimental study on flocculating sedimentation of tailings slurry in a vertical sand tank
0
2010
Study on the flocculation law and mechanism of APAM unit consumption to different particle size in the flocculation and sedimentation of tailings
0
2020
Influence of different flocculants on settling effect of lead-zinc tailings
0
2021
Study on the design of experiments for measuring liquid viscosity by Stokes method
0
2007
Influence of coarse tailings on flocculation settlement
1
2020
... 絮凝剂是一种通过物理化学作用使细微颗粒聚集的药剂,在矿山领域,常将絮凝剂的化合物类型划分为有机高分子絮凝剂、无机絮凝剂、矿物类助凝剂和微生物絮凝剂,以及部分复合絮凝剂,如:高分子无机—有机复合絮凝剂等.针对不同类型的尾矿,选用的絮凝剂及其添加量不尽相同,目前国内外学者采用多因素耦合试验方法研究入料浓度、絮凝剂种类和絮凝剂添加量对尾砂沉降效果的影响规律.同时,通过核磁共振、电镜扫描等技术手段对絮凝剂使用效果进行微观、细观等多层面、多角度分析.Wang et al.(2020)和Zhu et al.(2018)利用电镜扫描和激光粒度分析等技术,发现粗尾砂粒与絮凝结构结合,导致絮凝过程中尾砂的加速沉降;吴爱祥等(2016)利用Design-Expert 软件分析并筛选影响全尾砂絮凝沉降的重要因素,考察多因素耦合条件下尾砂的沉降特征及规律.还有学者通过控制变量等方式研究絮凝剂种类及单耗、矿浆浓度等因素对沉降效果的影响规律(王星等,2008;李金鑫等,2021;张美道等,2020);也有学者通过改变絮凝剂种类及单耗等因素,揭示了絮凝剂种类及单耗对絮凝沉降效果的影响规律,以及有机、无机和复合絮凝剂的作用机理(Fan et al.,2020;康虔等,2019;孙浩等,2021).刘奇等(2021)、朱建国等(2020)和隋璨等(2020)通过研究中值粒径、-200目粒径含量对絮凝沉降速度的影响,揭示了尾砂粒径对絮凝沉降的影响规律及作用机理.此外,刘奇等(2021)研究了尾砂粒级及密度对底流浓度和单位面积固体通量的影响,并通过回归分析推导了尾砂中值粒径与底流浓度改变量的方程. ...
Cemented backfilling technology with unclassified tailings based on vertical sand silo
1
2008
... 随着科学技术的快速发展,矿产资源的开发利用程度不断提高,但同时也产生了大量的固体废弃物.充填采矿法不仅能够有效回收利用固体废弃物,而且在改善地压环境方面发挥着重要作用,为实现矿山绿色开采提供了一条有效途径(Wang et al.,2008).在充填料浆制备过程中,尾砂浓密脱水浓缩作为井下高效充填的关键环节(焦华喆等,2010),其工艺参数选择尤为重要.为了加快尾砂沉降速率并获得适宜的底流浓度,通常采用加入絮凝剂的方法来提高尾砂浓缩效率,加速脱水浓缩过程. ...
Experimental research on factors influencing tailing pulp flocculation on settling
0
2008
Influence factors on flocculation sedimentation of unclassified tailings
0
2016
Experimental study on static flocculation and settlement of full tailing mortar in a mine
0
2020
Research on the application of long distance and stable pressure paste filling technology in high and steep mountainous areas
0
2018
Experimental study on settling characteristics of tail sand with different grain size grading
0
2020
On the flocculation and settling characteristics of low- and high-concentration sediment suspensions:Effects of particle concentration and salinity conditions
1
2018
... 絮凝剂是一种通过物理化学作用使细微颗粒聚集的药剂,在矿山领域,常将絮凝剂的化合物类型划分为有机高分子絮凝剂、无机絮凝剂、矿物类助凝剂和微生物絮凝剂,以及部分复合絮凝剂,如:高分子无机—有机复合絮凝剂等.针对不同类型的尾矿,选用的絮凝剂及其添加量不尽相同,目前国内外学者采用多因素耦合试验方法研究入料浓度、絮凝剂种类和絮凝剂添加量对尾砂沉降效果的影响规律.同时,通过核磁共振、电镜扫描等技术手段对絮凝剂使用效果进行微观、细观等多层面、多角度分析.Wang et al.(2020)和Zhu et al.(2018)利用电镜扫描和激光粒度分析等技术,发现粗尾砂粒与絮凝结构结合,导致絮凝过程中尾砂的加速沉降;吴爱祥等(2016)利用Design-Expert 软件分析并筛选影响全尾砂絮凝沉降的重要因素,考察多因素耦合条件下尾砂的沉降特征及规律.还有学者通过控制变量等方式研究絮凝剂种类及单耗、矿浆浓度等因素对沉降效果的影响规律(王星等,2008;李金鑫等,2021;张美道等,2020);也有学者通过改变絮凝剂种类及单耗等因素,揭示了絮凝剂种类及单耗对絮凝沉降效果的影响规律,以及有机、无机和复合絮凝剂的作用机理(Fan et al.,2020;康虔等,2019;孙浩等,2021).刘奇等(2021)、朱建国等(2020)和隋璨等(2020)通过研究中值粒径、-200目粒径含量对絮凝沉降速度的影响,揭示了尾砂粒径对絮凝沉降的影响规律及作用机理.此外,刘奇等(2021)研究了尾砂粒级及密度对底流浓度和单位面积固体通量的影响,并通过回归分析推导了尾砂中值粒径与底流浓度改变量的方程. ...
... 随着科学技术的快速发展,矿产资源的开发利用程度不断提高,但同时也产生了大量的固体废弃物.充填采矿法不仅能够有效回收利用固体废弃物,而且在改善地压环境方面发挥着重要作用,为实现矿山绿色开采提供了一条有效途径(Wang et al.,2008).在充填料浆制备过程中,尾砂浓密脱水浓缩作为井下高效充填的关键环节(焦华喆等,2010),其工艺参数选择尤为重要.为了加快尾砂沉降速率并获得适宜的底流浓度,通常采用加入絮凝剂的方法来提高尾砂浓缩效率,加速脱水浓缩过程. ...
固液两相耦合条件下全尾砂连续沉降规律研究
1
2019
... 絮凝剂是一种通过物理化学作用使细微颗粒聚集的药剂,在矿山领域,常将絮凝剂的化合物类型划分为有机高分子絮凝剂、无机絮凝剂、矿物类助凝剂和微生物絮凝剂,以及部分复合絮凝剂,如:高分子无机—有机复合絮凝剂等.针对不同类型的尾矿,选用的絮凝剂及其添加量不尽相同,目前国内外学者采用多因素耦合试验方法研究入料浓度、絮凝剂种类和絮凝剂添加量对尾砂沉降效果的影响规律.同时,通过核磁共振、电镜扫描等技术手段对絮凝剂使用效果进行微观、细观等多层面、多角度分析.Wang et al.(2020)和Zhu et al.(2018)利用电镜扫描和激光粒度分析等技术,发现粗尾砂粒与絮凝结构结合,导致絮凝过程中尾砂的加速沉降;吴爱祥等(2016)利用Design-Expert 软件分析并筛选影响全尾砂絮凝沉降的重要因素,考察多因素耦合条件下尾砂的沉降特征及规律.还有学者通过控制变量等方式研究絮凝剂种类及单耗、矿浆浓度等因素对沉降效果的影响规律(王星等,2008;李金鑫等,2021;张美道等,2020);也有学者通过改变絮凝剂种类及单耗等因素,揭示了絮凝剂种类及单耗对絮凝沉降效果的影响规律,以及有机、无机和复合絮凝剂的作用机理(Fan et al.,2020;康虔等,2019;孙浩等,2021).刘奇等(2021)、朱建国等(2020)和隋璨等(2020)通过研究中值粒径、-200目粒径含量对絮凝沉降速度的影响,揭示了尾砂粒径对絮凝沉降的影响规律及作用机理.此外,刘奇等(2021)研究了尾砂粒级及密度对底流浓度和单位面积固体通量的影响,并通过回归分析推导了尾砂中值粒径与底流浓度改变量的方程. ...
全尾砂絮凝沉降影响因素研究
1
2021
... 絮凝剂是一种通过物理化学作用使细微颗粒聚集的药剂,在矿山领域,常将絮凝剂的化合物类型划分为有机高分子絮凝剂、无机絮凝剂、矿物类助凝剂和微生物絮凝剂,以及部分复合絮凝剂,如:高分子无机—有机复合絮凝剂等.针对不同类型的尾矿,选用的絮凝剂及其添加量不尽相同,目前国内外学者采用多因素耦合试验方法研究入料浓度、絮凝剂种类和絮凝剂添加量对尾砂沉降效果的影响规律.同时,通过核磁共振、电镜扫描等技术手段对絮凝剂使用效果进行微观、细观等多层面、多角度分析.Wang et al.(2020)和Zhu et al.(2018)利用电镜扫描和激光粒度分析等技术,发现粗尾砂粒与絮凝结构结合,导致絮凝过程中尾砂的加速沉降;吴爱祥等(2016)利用Design-Expert 软件分析并筛选影响全尾砂絮凝沉降的重要因素,考察多因素耦合条件下尾砂的沉降特征及规律.还有学者通过控制变量等方式研究絮凝剂种类及单耗、矿浆浓度等因素对沉降效果的影响规律(王星等,2008;李金鑫等,2021;张美道等,2020);也有学者通过改变絮凝剂种类及单耗等因素,揭示了絮凝剂种类及单耗对絮凝沉降效果的影响规律,以及有机、无机和复合絮凝剂的作用机理(Fan et al.,2020;康虔等,2019;孙浩等,2021).刘奇等(2021)、朱建国等(2020)和隋璨等(2020)通过研究中值粒径、-200目粒径含量对絮凝沉降速度的影响,揭示了尾砂粒径对絮凝沉降的影响规律及作用机理.此外,刘奇等(2021)研究了尾砂粒级及密度对底流浓度和单位面积固体通量的影响,并通过回归分析推导了尾砂中值粒径与底流浓度改变量的方程. ...
基于静态沉降试验的全尾砂浓密技术参数预测
2
2021
... 絮凝剂是一种通过物理化学作用使细微颗粒聚集的药剂,在矿山领域,常将絮凝剂的化合物类型划分为有机高分子絮凝剂、无机絮凝剂、矿物类助凝剂和微生物絮凝剂,以及部分复合絮凝剂,如:高分子无机—有机复合絮凝剂等.针对不同类型的尾矿,选用的絮凝剂及其添加量不尽相同,目前国内外学者采用多因素耦合试验方法研究入料浓度、絮凝剂种类和絮凝剂添加量对尾砂沉降效果的影响规律.同时,通过核磁共振、电镜扫描等技术手段对絮凝剂使用效果进行微观、细观等多层面、多角度分析.Wang et al.(2020)和Zhu et al.(2018)利用电镜扫描和激光粒度分析等技术,发现粗尾砂粒与絮凝结构结合,导致絮凝过程中尾砂的加速沉降;吴爱祥等(2016)利用Design-Expert 软件分析并筛选影响全尾砂絮凝沉降的重要因素,考察多因素耦合条件下尾砂的沉降特征及规律.还有学者通过控制变量等方式研究絮凝剂种类及单耗、矿浆浓度等因素对沉降效果的影响规律(王星等,2008;李金鑫等,2021;张美道等,2020);也有学者通过改变絮凝剂种类及单耗等因素,揭示了絮凝剂种类及单耗对絮凝沉降效果的影响规律,以及有机、无机和复合絮凝剂的作用机理(Fan et al.,2020;康虔等,2019;孙浩等,2021).刘奇等(2021)、朱建国等(2020)和隋璨等(2020)通过研究中值粒径、-200目粒径含量对絮凝沉降速度的影响,揭示了尾砂粒径对絮凝沉降的影响规律及作用机理.此外,刘奇等(2021)研究了尾砂粒级及密度对底流浓度和单位面积固体通量的影响,并通过回归分析推导了尾砂中值粒径与底流浓度改变量的方程. ...
... 絮凝剂是一种通过物理化学作用使细微颗粒聚集的药剂,在矿山领域,常将絮凝剂的化合物类型划分为有机高分子絮凝剂、无机絮凝剂、矿物类助凝剂和微生物絮凝剂,以及部分复合絮凝剂,如:高分子无机—有机复合絮凝剂等.针对不同类型的尾矿,选用的絮凝剂及其添加量不尽相同,目前国内外学者采用多因素耦合试验方法研究入料浓度、絮凝剂种类和絮凝剂添加量对尾砂沉降效果的影响规律.同时,通过核磁共振、电镜扫描等技术手段对絮凝剂使用效果进行微观、细观等多层面、多角度分析.Wang et al.(2020)和Zhu et al.(2018)利用电镜扫描和激光粒度分析等技术,发现粗尾砂粒与絮凝结构结合,导致絮凝过程中尾砂的加速沉降;吴爱祥等(2016)利用Design-Expert 软件分析并筛选影响全尾砂絮凝沉降的重要因素,考察多因素耦合条件下尾砂的沉降特征及规律.还有学者通过控制变量等方式研究絮凝剂种类及单耗、矿浆浓度等因素对沉降效果的影响规律(王星等,2008;李金鑫等,2021;张美道等,2020);也有学者通过改变絮凝剂种类及单耗等因素,揭示了絮凝剂种类及单耗对絮凝沉降效果的影响规律,以及有机、无机和复合絮凝剂的作用机理(Fan et al.,2020;康虔等,2019;孙浩等,2021).刘奇等(2021)、朱建国等(2020)和隋璨等(2020)通过研究中值粒径、-200目粒径含量对絮凝沉降速度的影响,揭示了尾砂粒径对絮凝沉降的影响规律及作用机理.此外,刘奇等(2021)研究了尾砂粒级及密度对底流浓度和单位面积固体通量的影响,并通过回归分析推导了尾砂中值粒径与底流浓度改变量的方程. ...
不同絮凝剂对铅锌尾矿沉降效果的影响
1
2021
... 絮凝剂是一种通过物理化学作用使细微颗粒聚集的药剂,在矿山领域,常将絮凝剂的化合物类型划分为有机高分子絮凝剂、无机絮凝剂、矿物类助凝剂和微生物絮凝剂,以及部分复合絮凝剂,如:高分子无机—有机复合絮凝剂等.针对不同类型的尾矿,选用的絮凝剂及其添加量不尽相同,目前国内外学者采用多因素耦合试验方法研究入料浓度、絮凝剂种类和絮凝剂添加量对尾砂沉降效果的影响规律.同时,通过核磁共振、电镜扫描等技术手段对絮凝剂使用效果进行微观、细观等多层面、多角度分析.Wang et al.(2020)和Zhu et al.(2018)利用电镜扫描和激光粒度分析等技术,发现粗尾砂粒与絮凝结构结合,导致絮凝过程中尾砂的加速沉降;吴爱祥等(2016)利用Design-Expert 软件分析并筛选影响全尾砂絮凝沉降的重要因素,考察多因素耦合条件下尾砂的沉降特征及规律.还有学者通过控制变量等方式研究絮凝剂种类及单耗、矿浆浓度等因素对沉降效果的影响规律(王星等,2008;李金鑫等,2021;张美道等,2020);也有学者通过改变絮凝剂种类及单耗等因素,揭示了絮凝剂种类及单耗对絮凝沉降效果的影响规律,以及有机、无机和复合絮凝剂的作用机理(Fan et al.,2020;康虔等,2019;孙浩等,2021).刘奇等(2021)、朱建国等(2020)和隋璨等(2020)通过研究中值粒径、-200目粒径含量对絮凝沉降速度的影响,揭示了尾砂粒径对絮凝沉降的影响规律及作用机理.此外,刘奇等(2021)研究了尾砂粒级及密度对底流浓度和单位面积固体通量的影响,并通过回归分析推导了尾砂中值粒径与底流浓度改变量的方程. ...
... 絮凝剂是一种通过物理化学作用使细微颗粒聚集的药剂,在矿山领域,常将絮凝剂的化合物类型划分为有机高分子絮凝剂、无机絮凝剂、矿物类助凝剂和微生物絮凝剂,以及部分复合絮凝剂,如:高分子无机—有机复合絮凝剂等.针对不同类型的尾矿,选用的絮凝剂及其添加量不尽相同,目前国内外学者采用多因素耦合试验方法研究入料浓度、絮凝剂种类和絮凝剂添加量对尾砂沉降效果的影响规律.同时,通过核磁共振、电镜扫描等技术手段对絮凝剂使用效果进行微观、细观等多层面、多角度分析.Wang et al.(2020)和Zhu et al.(2018)利用电镜扫描和激光粒度分析等技术,发现粗尾砂粒与絮凝结构结合,导致絮凝过程中尾砂的加速沉降;吴爱祥等(2016)利用Design-Expert 软件分析并筛选影响全尾砂絮凝沉降的重要因素,考察多因素耦合条件下尾砂的沉降特征及规律.还有学者通过控制变量等方式研究絮凝剂种类及单耗、矿浆浓度等因素对沉降效果的影响规律(王星等,2008;李金鑫等,2021;张美道等,2020);也有学者通过改变絮凝剂种类及单耗等因素,揭示了絮凝剂种类及单耗对絮凝沉降效果的影响规律,以及有机、无机和复合絮凝剂的作用机理(Fan et al.,2020;康虔等,2019;孙浩等,2021).刘奇等(2021)、朱建国等(2020)和隋璨等(2020)通过研究中值粒径、-200目粒径含量对絮凝沉降速度的影响,揭示了尾砂粒径对絮凝沉降的影响规律及作用机理.此外,刘奇等(2021)研究了尾砂粒级及密度对底流浓度和单位面积固体通量的影响,并通过回归分析推导了尾砂中值粒径与底流浓度改变量的方程. ...
全尾砂絮凝沉降的影响因素
1
2016
... 絮凝剂是一种通过物理化学作用使细微颗粒聚集的药剂,在矿山领域,常将絮凝剂的化合物类型划分为有机高分子絮凝剂、无机絮凝剂、矿物类助凝剂和微生物絮凝剂,以及部分复合絮凝剂,如:高分子无机—有机复合絮凝剂等.针对不同类型的尾矿,选用的絮凝剂及其添加量不尽相同,目前国内外学者采用多因素耦合试验方法研究入料浓度、絮凝剂种类和絮凝剂添加量对尾砂沉降效果的影响规律.同时,通过核磁共振、电镜扫描等技术手段对絮凝剂使用效果进行微观、细观等多层面、多角度分析.Wang et al.(2020)和Zhu et al.(2018)利用电镜扫描和激光粒度分析等技术,发现粗尾砂粒与絮凝结构结合,导致絮凝过程中尾砂的加速沉降;吴爱祥等(2016)利用Design-Expert 软件分析并筛选影响全尾砂絮凝沉降的重要因素,考察多因素耦合条件下尾砂的沉降特征及规律.还有学者通过控制变量等方式研究絮凝剂种类及单耗、矿浆浓度等因素对沉降效果的影响规律(王星等,2008;李金鑫等,2021;张美道等,2020);也有学者通过改变絮凝剂种类及单耗等因素,揭示了絮凝剂种类及单耗对絮凝沉降效果的影响规律,以及有机、无机和复合絮凝剂的作用机理(Fan et al.,2020;康虔等,2019;孙浩等,2021).刘奇等(2021)、朱建国等(2020)和隋璨等(2020)通过研究中值粒径、-200目粒径含量对絮凝沉降速度的影响,揭示了尾砂粒径对絮凝沉降的影响规律及作用机理.此外,刘奇等(2021)研究了尾砂粒级及密度对底流浓度和单位面积固体通量的影响,并通过回归分析推导了尾砂中值粒径与底流浓度改变量的方程. ...
某矿全尾砂浆静态絮凝沉降试验研究
1
2020
... 絮凝剂是一种通过物理化学作用使细微颗粒聚集的药剂,在矿山领域,常将絮凝剂的化合物类型划分为有机高分子絮凝剂、无机絮凝剂、矿物类助凝剂和微生物絮凝剂,以及部分复合絮凝剂,如:高分子无机—有机复合絮凝剂等.针对不同类型的尾矿,选用的絮凝剂及其添加量不尽相同,目前国内外学者采用多因素耦合试验方法研究入料浓度、絮凝剂种类和絮凝剂添加量对尾砂沉降效果的影响规律.同时,通过核磁共振、电镜扫描等技术手段对絮凝剂使用效果进行微观、细观等多层面、多角度分析.Wang et al.(2020)和Zhu et al.(2018)利用电镜扫描和激光粒度分析等技术,发现粗尾砂粒与絮凝结构结合,导致絮凝过程中尾砂的加速沉降;吴爱祥等(2016)利用Design-Expert 软件分析并筛选影响全尾砂絮凝沉降的重要因素,考察多因素耦合条件下尾砂的沉降特征及规律.还有学者通过控制变量等方式研究絮凝剂种类及单耗、矿浆浓度等因素对沉降效果的影响规律(王星等,2008;李金鑫等,2021;张美道等,2020);也有学者通过改变絮凝剂种类及单耗等因素,揭示了絮凝剂种类及单耗对絮凝沉降效果的影响规律,以及有机、无机和复合絮凝剂的作用机理(Fan et al.,2020;康虔等,2019;孙浩等,2021).刘奇等(2021)、朱建国等(2020)和隋璨等(2020)通过研究中值粒径、-200目粒径含量对絮凝沉降速度的影响,揭示了尾砂粒径对絮凝沉降的影响规律及作用机理.此外,刘奇等(2021)研究了尾砂粒级及密度对底流浓度和单位面积固体通量的影响,并通过回归分析推导了尾砂中值粒径与底流浓度改变量的方程. ...
... 絮凝剂是一种通过物理化学作用使细微颗粒聚集的药剂,在矿山领域,常将絮凝剂的化合物类型划分为有机高分子絮凝剂、无机絮凝剂、矿物类助凝剂和微生物絮凝剂,以及部分复合絮凝剂,如:高分子无机—有机复合絮凝剂等.针对不同类型的尾矿,选用的絮凝剂及其添加量不尽相同,目前国内外学者采用多因素耦合试验方法研究入料浓度、絮凝剂种类和絮凝剂添加量对尾砂沉降效果的影响规律.同时,通过核磁共振、电镜扫描等技术手段对絮凝剂使用效果进行微观、细观等多层面、多角度分析.Wang et al.(2020)和Zhu et al.(2018)利用电镜扫描和激光粒度分析等技术,发现粗尾砂粒与絮凝结构结合,导致絮凝过程中尾砂的加速沉降;吴爱祥等(2016)利用Design-Expert 软件分析并筛选影响全尾砂絮凝沉降的重要因素,考察多因素耦合条件下尾砂的沉降特征及规律.还有学者通过控制变量等方式研究絮凝剂种类及单耗、矿浆浓度等因素对沉降效果的影响规律(王星等,2008;李金鑫等,2021;张美道等,2020);也有学者通过改变絮凝剂种类及单耗等因素,揭示了絮凝剂种类及单耗对絮凝沉降效果的影响规律,以及有机、无机和复合絮凝剂的作用机理(Fan et al.,2020;康虔等,2019;孙浩等,2021).刘奇等(2021)、朱建国等(2020)和隋璨等(2020)通过研究中值粒径、-200目粒径含量对絮凝沉降速度的影响,揭示了尾砂粒径对絮凝沉降的影响规律及作用机理.此外,刘奇等(2021)研究了尾砂粒级及密度对底流浓度和单位面积固体通量的影响,并通过回归分析推导了尾砂中值粒径与底流浓度改变量的方程. ...