全尾砂物理特性对絮凝沉降性能影响规律的研究 |
| 李兆宇,孙伟,张盛友,李金鑫 |
|
Study on the Effect of Physical Properties of Full Tailings on Flocculation and Sedimentation Performance |
| Zhaoyu LI,Wei SUN,Shengyou ZHANG,Jinxin LI |
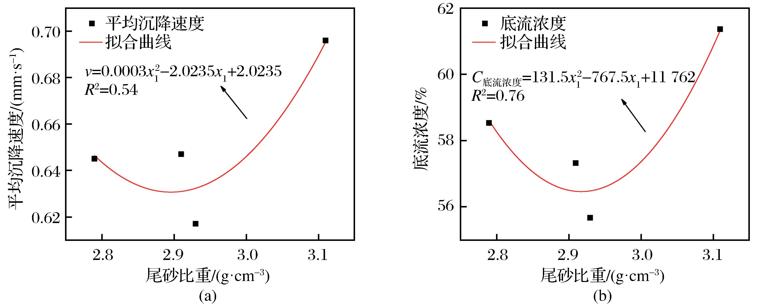
| 图5 平均沉降速度(a)和底流浓度(b)随尾砂比重的变化规律 |
| Fig.5 Variation laws of average sedimentation velocity(a)and bottom flow concentration(b)with tailings proportion |
|