全尾砂物理特性对絮凝沉降性能影响规律的研究 |
| 李兆宇,孙伟,张盛友,李金鑫 |
|
Study on the Effect of Physical Properties of Full Tailings on Flocculation and Sedimentation Performance |
| Zhaoyu LI,Wei SUN,Shengyou ZHANG,Jinxin LI |
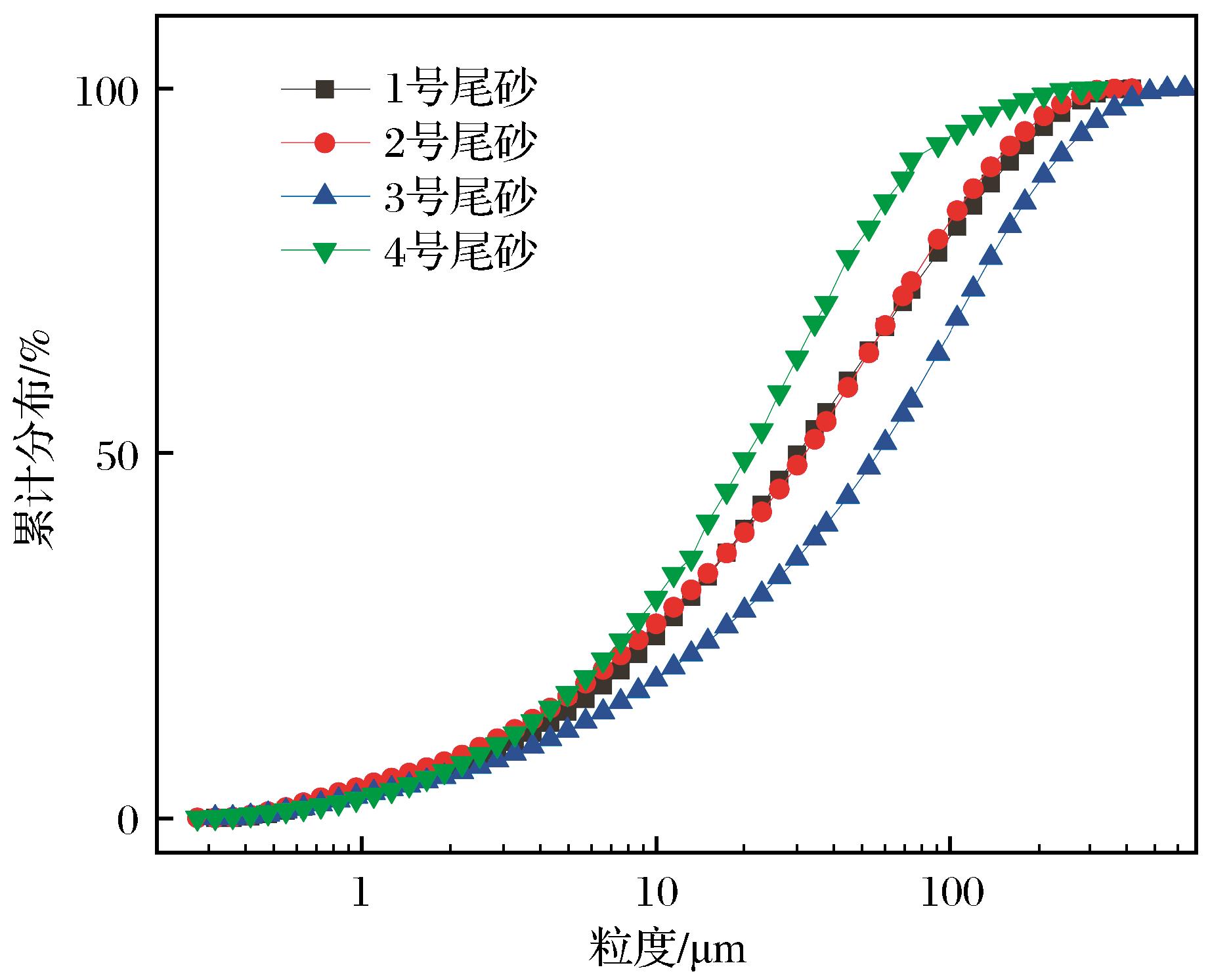
| 图1 尾砂粒级组成 |
| Fig.1 Grain composition of tailings |
|