全尾砂物理特性对絮凝沉降性能影响规律的研究 |
| 李兆宇,孙伟,张盛友,李金鑫 |
|
Study on the Effect of Physical Properties of Full Tailings on Flocculation and Sedimentation Performance |
| Zhaoyu LI,Wei SUN,Shengyou ZHANG,Jinxin LI |
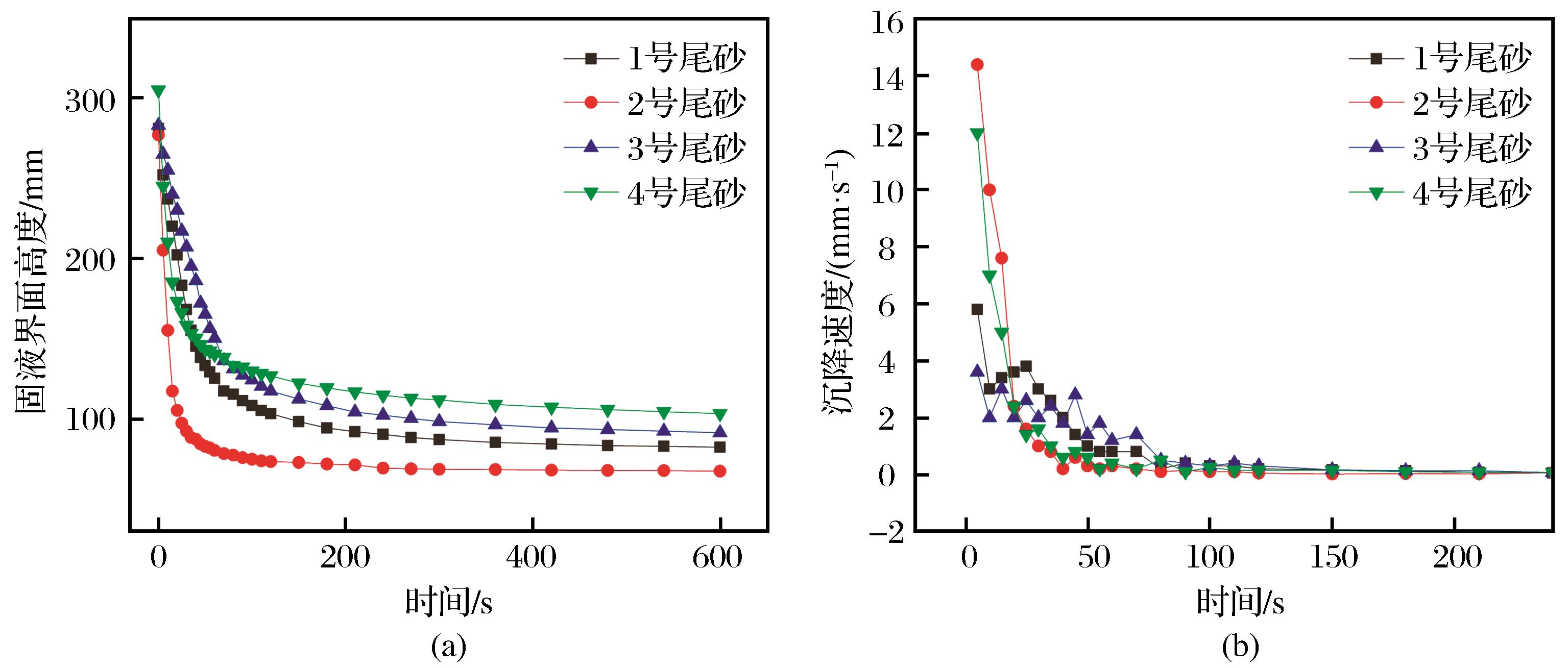
| 图4 固液界面高度(a)和沉降速度(b)随时间的变化规律 |
| Fig.4 Variation law of solid-liquid interface height(a) and sedimentation velocity(b)with time |
|