全球金属镓、锗贸易网络格局演变与供应危机传播研究
Study on the Evolution of Global Gallium and Germanium Metal Trade Network Patterns and Supply Crisis Dissemination
通讯作者:
收稿日期: 2024-03-29 修回日期: 2024-05-24
| 基金资助: |
|
Received: 2024-03-29 Revised: 2024-05-24
作者简介 About authors
廖秋敏(1980-),女,黑龙江齐齐哈尔人,教授,硕士生导师,从事国际贸易理论与政策、矿产品贸易方面的研究工作
关键词:
Keywords:
本文引用格式
廖秋敏, 谢柳燕, 韩嘉雯.
LIAO Qiumin, XIE Liuyan, HAN Jiawen.
金属镓和锗通常被归类为“小金属”,是重要的战略性矿产资源。镓是典型的稀有分散金属,往往作为副产品从闪锌矿和方铅矿中产出(郭彩莲等,2013),多用于制造集成电路和光电材料等。金属锗多赋存在锌和铅锌—硫化铜矿石中,在全球的主要终端用途是半导体、太阳能电池、光纤系统、红外光学和聚合催化剂等。2023年美国地质调查局发布的报告显示,我国的镓储量约为75万t,占全球总储量的86.21%(U.S.Geological Survey,2003);锗储量3 000 t,仅次于美国(3 870 t),排名第2,但出口方面我国供应了全球83%的锗(European Commis-sion,2010,2023)。由此可见,我国是全球领先的镓、锗生产国和出口国。2023年7月3日,为了维护国家安全和利益,经国务院批准,中国安全与管制局决定对镓、锗相关物项实施出口管制,引发世界各国政府和企业的强烈反应。欧盟和美国试图通过增加生产以及寻找替代产品来保障供给,日本和荷兰则开始寻求稳定的国际供应链合作关系。全球镓、锗贸易格局将发生重大转变。
目前,国内外学者对镓、锗供应问题进行了大量研究。从研究内容来看,关于镓的研究主要集中在矿产资源分布、产品国际供需状况(敦妍冉等,2019;刘麦等,2020;武秋杰等,2021)、产业发展态势(李春等,2017;陈瑞强等,2020;蔡蔚等,2021)和应用前景(赵飞燕等,2017)等方面。关于锗的研究表明,虽然美国的锗矿资源丰富,但从1984年开始美国便将锗列为国防储备资源进行战略保护(李向娜等,2016)。我国是粗锗出口大国,也是高端锗产品进口依赖国。学者们对镓、锗等多个产品的国际供需以及存在的风险进行了研究,发现全球镓、锗关键金属处于中高风险水平,我国镓、锗初级产品过剩,且供应风险增加(陆挺等,2015;王昶等,2018;黄健柏等,2020)。从研究方法来看,贸易网络能够定量揭示国家(地区)间的产品贸易关系,常被用来研究产品在贸易网络中的地位(许和连等,2015;杨文龙等,2018)、各贸易国之间的竞争或互补关系(刘敏等,2021)以及贸易网络节点的韧性、网络脆弱性和核心—边缘结构等特性(廖秋敏等,2023;张琳琛等,2023;陈伟等,2024)。关于产品贸易网络供应危机的研究,早期仿照传染病(Daley et al.,1999)和政治观点(Castellano et al.,2009)传播并基于复杂网络动力学模型进行研究。目前,对供应风险评估的研究正在从传统的动态供应风险评估机制转向以需求为导向的供应风险评估机制(韩世通等,2023)。供应危机的传播可看作是加权定向网络中的一种级联失效或雪崩(Lee et al.,2011;Wang et al.,2018),来模拟供应危机的传播规模、传播时间和影响程度(撒兴昌等,2023)。目前供应链网络研究已经从单层网络发展到双层复杂网络(宋明媚等,2023),甚至三层网络(沈曦等,2022;Wang et al.,2022)。
现有文献从不同角度对镓、锗重要矿产资源的供给问题进行了诸多研究,但仍存在以下问题:(1)总体而言,现有文献缺少对镓、锗重要矿产资源贸易网络格局的相关研究;(2)针对贸易网络中供应危机传播方面的研究较少,尤其是利用级联失效模型对重要矿产资源进行供应危机模拟的研究比较缺乏,这个问题在国际经贸摩擦加剧和地缘政治冲突频繁的今天尤为重要。基于此,本文利用复杂网络和级联失效模型,对2002—2022年全球金属镓、锗贸易网络进行研究。通过测算贸易平均度、贸易依赖指数和贸易流向的演变,仿真模拟了2022年全球金属镓、锗供应危机的传播过程,重点分析了雪崩规模排名前10国家的传播路径、传播规模和传播轮次。研究结果有助于明确全球金属镓、锗供应风险的来源和影响范围,并采取针对性的预防措施来维护供应安全稳定,为降低地缘政治风险和开展相关产业链的国际经济合作提供决策参考。
1 研究方法与数据来源
1.1 数据来源
根据中华人民共和国商务部和海关总署2023年7月3日发布的《关于对镓、锗相关物项实施出口管制的公告》,实施出口管制的为“金属镓(单质)(参考海关商品编号:8110929010、8112929090、8112999000)”和“金属锗(单质,包括但不限于晶体、粉末、碎料等形态)(参考海关商品编号:8112921010、8112921090、8112991000)”,需要特别指出的是,海关编码811292和811299中均同时包含金属镓和金属锗,故无法单独获取金属镓、锗中的一种贸易数据来研究。因此,本文选取金属镓、金属锗(HS编码为811292和811299,其中HS编码是《商品名称及编码协调制度的国际公约》的简称),国际贸易数据来自UN Comtrade(联合国贸易数据库),时间选取为2002—2022年。其中,811292为未锻轧金属镓、锗的HS编码,811299为其他金属镓、锗的HS编码。由于各个国家的统计口径有所不同,导致数据库中进出口数据存在不对称性,因此统一使用进口国报告的数据,以此来降低统计误差和进出口数据不对称的影响(Sun et al.,2022)。
本文只选取镓和锗的金属单质产品进行分析,未分析化合物,原因是联合国贸易数据库仅能提供6位编码的商品贸易数据,而我国出口管制商品是在10位编码商品层面上进行的。金属单质的3个10位编码基本构成了6位编码的主要产品,对于化合物而言,10位编码的商品只是6位编码项下很小的一部分,利用6位编码商品贸易数据分析镓和锗化合物的国际贸易并不能反映真实的贸易状况。
1.2 金属镓和金属锗贸易网络构建及指标选取
以国家为基本研究对象,以贸易渠道为基本途径的贸易网络,是现实中世界贸易系统在拓扑空间中的一种映射,它不仅具有复杂系统的拓扑特性,而且包含贸易活动的经济属性(Zhou et al.,2016)。因此,本研究拟利用赋权法
式中:
分析一个国家在全球贸易网络中的地位和影响力,选取复杂网络理论分析中的平均度指标(王诺等,2016),来表征全球金属镓、锗贸易网络的贸易范围。平均度的数值越大,说明贸易繁荣;平均度的数值变小,意味着贸易开始出现收缩。平均度也可以用来衡量网络的连通性,平均度越高的网络,就等于每个国家都拥有多个贸易关系,使得资源在多个国家之间进行流动,实现贸易通畅。贸易平均度(K)可表示为
式中:
HM指数(Hubness Measurement Index)可以测算FTA(Free Trade Agreement)网络中的潜在轴心经济体,反映经济体之间的贸易依赖非对称性(张雨佳等,2017)。
式中:
1.3 级联失效仿真模型
贸易网络是一柄双刃剑,一方面拉近了国际间的贸易“距离”,另一方面也将局部危机蔓延至更大范围(Kali et al.,2007)。级联失效作为复杂网络动力学过程,表现为网络中某个节点失效后,通过节点之间耦合关系诱发邻域节点失效,产生连锁反应,导致整个网络瘫痪的动态过程(魏龙等,2017)。通过在国际贸易网络中建立一个有向加权网络,在此基础上利用计算机仿真来模拟国际贸易的级联扩散过程,最后给出一种以网络连接端故障为基础的经济危机传播分析方法(周靖等,2018)。级联失效引发的雪崩过程一直持续到没有经济体因为供应危机而崩溃时结束(王诺等,2016)。本研究从现实角度出发,模拟金属镓和金属锗的供应危机对其整个贸易网络的影响。级联失效模拟过程如图1所示,具体传播过程描述如下:
图1
(1)网络上所有节点的状态置为正常。定义网络上国家节点
(2)假设节点
(3)如果连接到异常节点的任何一个正常节点
(4)重复步骤(3),直至网络中无新增异常态国家时,仿真过程终止。
2 全球金属镓、锗贸易格局演变
2.1 贸易量和贸易网络平均度
图2
图2
2002—2022年全球金属镓、锗贸易量和贸易平均度
Fig.2
Global gallium and germanium metal trade volume and average degree of trade, 2002—2022
关于贸易量,由图2(a)可知,近20年来全球金属镓、锗贸易量呈先上升后下降的变化趋势,波动幅度较大。贸易量的快速上升通常是由于相关行业市场需求增加造成的,例如:2003年全球移动电话销量大增,引发金属镓、锗的贸易量呈上升趋势;2006年GaAs太阳能电池开始大量生产利用以及光纤生产增长,带动了全球镓、锗的需求量增长;2012年中国国家储备局宣布计划储备购买20 t锗和2017年LED行业成为焦点,使得金属镓、锗贸易规模上升。然而,贸易量下降的原因除了相关行业的需求因素外,市场环境变化也起着至关重要的作用。2002年电信市场低迷,导致美国关停一家镓精炼厂,澳大利亚也推迟了重启镓工厂的计划;2019年,中美贸易摩擦导致美国镓金属进口量大幅下降;2020年全球新冠肺炎疫情对相关行业供给和需求的影响十分明显,导致当年全球金属镓、锗贸易量急剧减少。在图2(b)中,由于美国出口到马来西亚的贸易量一直较大,且2006年的贸易量比2005年增长了约242倍。将2002—2022年美国出口到马来西亚的数据作为异常值删除,得到的贸易量如图2(b)所示。由图2(b)可知,产品HS811299的贸易量整体波动幅度较大,2006年达到最高水平后回落,2011年再次上涨到高位之后连续10年呈下降趋势。由图2可知,全球金属镓、锗贸易量的波动明显,产品HS811292与产品HS811299的变化趋势不一致,且不存在明显的相关性。
关于贸易平均度,图2显示全球金属镓和金属锗的贸易平均度水平均较高,整体呈上升趋势,且产品HS811299的贸易平均度总体高于产品HS811292。从贸易平均度与贸易量之间的关系来看,在产品HS811292的贸易中,二者呈正相关关系,而产品HS811299的情况比较复杂。2002—2004年,贸易平均度与贸易量呈负相关;2005—2006年,二者短暂同步变化后又呈负相关;2011—2022年,二者大体呈正相关。由此可见,2种不同的金属镓、锗产品存在异质性,贸易量与贸易平均度的变化趋势并不一致,表明全球金属镓、锗贸易关系复杂。
2.2 金属镓、锗全球贸易的市场依赖
表1 2002年、2012年和2022年全球主要国家和地区金属镓、锗(产品HS811292)贸易HM指数(前10位)
Table 1
| 序号 | 2002年 | 2012年 | 2022年 | ||||||
|---|---|---|---|---|---|---|---|---|---|
| 生产地 | 消费地 | HM指数 | 生产地 | 消费地 | HM指数 | 生产地 | 消费地 | HM指数 | |
| 1 | 瑞典 | 德国 | 0.99948 | 匈牙利 | 德国 | 1.00000 | 芬兰 | 美国 | 0.99996 |
| 2 | 荷兰 | 德国 | 0.99863 | 斯洛文尼亚 | 奥地利 | 0.99985 | 阿拉伯 | 中国 | 0.99724 |
| 3 | 奥地利 | 英国 | 0.98454 | 白俄罗斯 | 俄罗斯 | 0.99843 | 瑞士 | 德国 | 0.99047 |
| 4 | 马来西亚 | 中国 | 0.96604 | 马来西亚 | 美国 | 0.99804 | 瑞典 | 德国 | 0.98752 |
| 5 | 捷克 | 英国 | 0.91682 | 波兰 | 美国 | 0.99650 | 波兰 | 德国 | 0.93651 |
| 6 | 中国香港 | 中国 | 0.87603 | 斯洛伐克 | 德国 | 0.99572 | 奥地利 | 德国 | 0.89588 |
| 7 | 韩国 | 中国 | 0.77891 | 丹麦 | 英国 | 0.99279 | 立陶宛 | 拉脱维亚 | 0.83084 |
| 8 | 意大利 | 法国 | 0.73358 | 奥地利 | 英国 | 0.94452 | 意大利 | 德国 | 0.68427 |
| 9 | 瑞士 | 德国 | 0.67737 | 南非 | 德国 | 0.65831 | 荷兰 | 美国 | 0.65458 |
| 10 | 加拿大 | 美国 | 0.48569 | 比利时 | 英国 | 0.60189 | 爱尔兰 | 德国 | 0.52968 |
表2 2002年、2012年和2022年全球主要国家和地区金属镓、锗(产品HS811299)贸易HM指数(前10位)
Table 2
| 序号 | 2002年 | 2012年 | 2022年 | ||||||
|---|---|---|---|---|---|---|---|---|---|
| 生产地 | 消费地 | HM指数 | 生产地 | 消费地 | HM指数 | 生产地 | 消费地 | HM指数 | |
| 1 | 斯威士兰 | 南非 | 0.99922 | 哥斯达黎加 | 马来西亚 | 0.99997 | 智利 | 美国 | 0.99982 |
| 2 | 智利 | 美国 | 0.99286 | 巴布亚新几内亚 | 澳大利亚 | 0.99564 | 匈牙利 | 韩国 | 0.94076 |
| 3 | 泰国 | 美国 | 0.98185 | 加纳 | 荷兰 | 0.99461 | 以色列 | 美国 | 0.83765 |
| 4 | 中国香港 | 中国 | 0.97082 | 泰国 | 日本 | 0.98770 | 越南 | 中国 | 0.82216 |
| 5 | 捷克 | 俄罗斯 | 0.94664 | 拉脱维亚 | 法国 | 0.96859 | 荷兰 | 法国 | 0.74190 |
| 6 | 斯洛文尼亚 | 英国 | 0.94635 | 匈牙利 | 中国 | 0.95610 | 加拿大 | 美国 | 0.68619 |
| 7 | 以色列 | 美国 | 0.92414 | 墨西哥 | 美国 | 0.93023 | 奥地利 | 德国 | 0.65273 |
| 8 | 墨西哥 | 美国 | 0.69984 | 中国香港 | 中国 | 0.82650 | 捷克 | 英国 | 0.57145 |
| 9 | 澳大利亚 | 印度 | 0.69951 | 智利 | 美国 | 0.79502 | 巴西 | 美国 | 0.52814 |
| 10 | 巴西 | 美国 | 0.68570 | 意大利 | 法国 | 0.75143 | 爱沙尼亚 | 中国 | 0.51430 |
总体上看,2种类型的金属镓、锗产品贸易的市场依赖度一直较高,HM指数接近于1的国家较多;从时间趋势来看,产品HS811292和产品HS811299均表现出贸易依赖关系先增强后减弱,对比2种产品的HM指数可以发现,总体上20年来排在前10位的国家HM指数呈现先上升后下降的趋势;从数值上来看,产品HS811292表现出的贸易依赖程度高于产品HS811299。
从供需结构来看,2种产品的贸易均发生了结构性转变。对比产品HS811292在3个时间节点的HM指数(表1),可以发现:2002年,该产品以德国、英国和中国为主要消费市场,马来西亚、中国香港和韩国表现出对中国消费市场的高度依赖;2012年,中国已淡出HM指数前10位,产品HS811292的贸易网络格局主要表现为欧洲各国对德国、美国和英国等消费市场的依赖,且HM指数均趋近于1,出口贸易依赖比较严重。其中,匈牙利对德国消费市场的贸易依赖最大,而依赖美国消费市场的国家是马来西亚和波兰,依赖英国消费市场的国家是丹麦和奥地利。该时期用于发光二极管和太阳能电池的锗基板的消费量有所增加,同时红外探测器在商业领域的应用热度上升,因此2012年消费依赖指数较高。
2022年,美国和德国占据消费市场主导地位。欧洲各国与德国之间的金属镓、锗依赖指数进一步增强,HM指数前10名中德国占据6席。此外,只有阿拉伯对中国市场的消费依赖较高,且趋近于1。总体而言,产品HS811292的消费市场由以德国、英国和中国为主导转变为以美国和德国为主导。
产品HS811299与产品HS811292的市场依赖关系存在较大差别(表2)。该产品消费市场由以美国为主导逐渐演变为以中国和美国共同主导。2002年和2012年,中国香港表现出对中国市场的高度依赖,这主要是转口贸易的原因,到2022年该贸易依赖指数开始降低。2012年,匈牙利对中国消费市场的贸易依赖指数较高,2022年,越南和爱沙尼亚对中国消费市场的贸易依赖度较高。自2002年起,美国建立了与智利、泰国、以色列、墨西哥和巴西等国家或地区的贸易依赖体系,2012年只有墨西哥和智利对美国消费市场的贸易依赖度较高,2022年美国与智利、以色列、加拿大和巴西等4个国家建立了较强的贸易依赖体系。亚洲国家对美国消费市场的金属镓、锗贸易依赖关系有所减弱,目前以美国为主要消费市场的区域为南美洲。
2.3 金属镓、锗全球贸易流向变化
全球金属镓和金属锗贸易国家发生较大变化,本研究选取了两国贸易量排名前30位的数据,描绘了2002年、2012年和2022年这3个时间节点的金属镓、锗全球贸易流向变化。
由图3可知,美国一直是产品HS811292的最大进口国,主要进口来源国家和地区从2002年的智利、中国和巴西,到2012年的巴西和德国,再到2022年的韩国和中国香港。2002年,中国是产品HS811292的最大出口国,此后尽管中国的出口数量有小幅增长,但是2012年巴西出口的快速增长使其成为最大出口国,而中国出口量位居世界第3,排名在巴西和德国之后;2022年,中国出口量位居第2,约为巴西出口量的1/3,但超过了德国。近20年来,美国从中国进口的产品HS811292比例不断下降,到2022年中国产品HS811292的最大进口国是韩国,其次是中国香港地区,但是这一部分主要为转口贸易。中国也是产品HS811292的进口大国,而且进口来源一直比较集中,2002年主要来自日本,2012和2022年主要来自巴西。
图3
图3
2002年、2012年和2022年主要国家金属镓、锗(产品HS811292)全球贸易流向
Fig.3
Global trade flows of gallium and germanium metal(HS811292) of major countries in 2002,2012 and 2022
由图4可知,产品HS811299与产品HS811292的贸易格局存在明显差异。产品HS811299贸易方向比较集中,表现出高度的国际经济合作。例如:2002年印度尼西亚和菲律宾,2022年美国和马来西亚,互为最大的贸易伙伴,且贸易量在全球贸易中占比较高。另外,法国和沙特阿拉伯、巴西和澳大利亚、美国和马来西亚的贸易量也占据当时进出口的最大份额。
图4
图4
2002年、2012年和2022年主要国家金属镓、锗(产品HS811299)全球贸易流向
Fig.4
Global trade flows of gallium and germanium metal(HS811299)of major countries in 2002,2012 and 2022
由此可见,几乎一半以上的产品贸易是在几个主要贸易大国之间进行的,而且这些贸易大国互为最重要的贸易伙伴,产品来源非常集中甚至是单一的。由此预测,若出口大国发生供给危机,其传播范围将大于产品HS811292。值得一提的是,近年来中国在产品HS811299贸易网络中的重要性不断提升,由2012年的主要进口国之一转变为2022年的第二大出口国,且贸易伙伴较多、贸易扩展边际大,所以中国产品发生供应危机影响的国家及地区较多。
3 金属镓、锗贸易供应危机传播路径及影响
3.1 雪崩规模及模拟参数
在本研究中,由爆发源导致级联失效的国家数目称为雪崩规模(A),由此观察爆发源在网络的传播范围。模型结果的不同取决于参数r=α/β的大小,其中α和β都是可调节参数。因此,通过调节参数α和β的大小,对参数r的大小进行调节。在不断调节参数的试验过程中发现,当r太小时,任意国家的失效均不能引起其他国家的级联失效;当r太大时,任意国家的失效均会引发大规模的雪崩。因此,参数r过大或过小,均无法准确体现不同国家在贸易网络级联失效中的差异性。如图5(a)所示,本研究通过调整r的比值得到,产品HS811292的参数r1=7时,每个节点上累积雪崩大小遵循幂律分布特征。因此,选取r1=7作为该产品全球贸易级联失效的幂律分布参数。如图5(b)所示,产品HS811299的参数r2=7时,每个节点上累积雪崩大小遵循幂律分布特征。从方法角度来看,具体参数的研究动态会有特别的优势,即国家雪崩的规模最为分散,有助于对各国进行准确的比较(Lee et al.,2011)。因此,本研究将重点分析2022年r1=r2=7时的雪崩规模,进而研究金属镓和金属锗供应风险传播过程。从现实角度来看,早期国外学者Bohorquez et al.(2009)通过伤亡人数衡量战争的规模,此外互联网的波动量等技术现象也表现出幂律分布规律(Leland et al.,1995)。如图5所示,每个点的横坐标代表雪崩规模A,纵坐标代表雪崩规模大于等于A的国家总数。
图5
图5
产品HS811292和产品HS811299雪崩规模分布
Fig.5
Avalanche size distribution of HS811292 and HS811299
3.2 典型国家供应危机传播分析
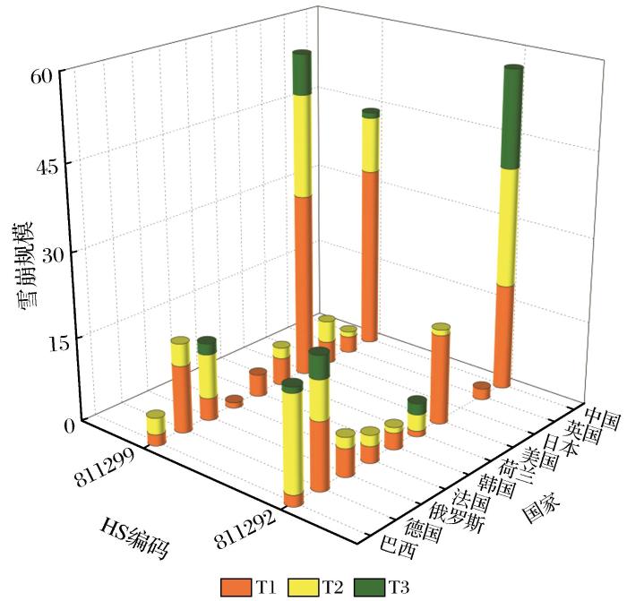
(1)典型国家传播规模
据第3.1小节分析,本文设定r1=r2=7,研究产品HS811292和产品HS811299在2022年雪崩规模排名前列的国家。如图6所示,用2022年产品HS811292贸易数据进行仿真模拟,发现中国发生金属镓、锗供应危机影响的国家最多,有57个国家及地区会受其影响,此外中国引发危机传播的次数最多,危机传播3次才会停止。其中,第一轮影响的国家数量最多,为19个国家,第二轮和第三轮分别影响21个和17个国家。其次是德国,受其影响的国家有23个,危机传播了3轮。排第3和第4的国家则是巴西和美国,分别传播了20个和17个国家。巴西危机传播了3轮,美国危机仅传播了2轮。虽然受荷兰供应危机影响的国家较少,只有6个,但危机传播了3轮。俄罗斯危机传播了2轮,传播了7个国家。
图6
图6
2022年金属镓、锗典型国家雪崩规模
Fig.6
Avalanche scale of gallium and germanium metal of typical countries in 2022
此外,利用产品HS811299的贸易数据进行仿真模拟,发现该产品发生供应危机影响的规模大于产品HS811292的雪崩规模。美国是引发雪崩规模最大的国家,其发生供应危机将影响58个国家或地区,占总贸易国的62.37%。美国危机传播了3轮,第一轮传播数量最多,有33个国家及地区受其影响,第二轮传播了18个国家及地区,第三轮则传播了7个国家及地区。中国引发的雪崩规模较小,其发生供应危机将影响44个国家及地区,占总贸易国的47.31%。中国供应危机传播了3轮,第一轮传播的国家最多,有33个,后面2轮分别传播了10个和1个国家及地区。德国和俄罗斯雪崩规模排第3和第4,分别影响了16个和14个国家及地区。其中,德国危机传播了2轮,依次传播了12个和4个国家;俄罗斯危机传播了3轮,依次传播了4个、8个和2个国家及地区。日本发生金属镓、锗供应危机,将引发8个国家雪崩,危机将传播2轮,均传播了4个国家。荷兰和英国分别传播了7个和4个国家及地区。
分析产品HS811292和产品HS811299在2022年的雪崩规模发现,由于中国一直是金属镓、锗重要的出口国,与其有金属镓、锗贸易往来的国家数量也较多,因此中国发生金属镓、锗供应危机影响的国家及地区规模较大。但美国在产品HS811299的贸易中影响的国家最多。此外,产品HS811299的雪崩规模比产品HS811292大。
(2)中国危机传播路径及影响程度
分析产品HS811292和产品HS811299以中国为危机爆发源的网络图(图7),其中箭头方向为危机传播方向,节点越大说明其传播的国家越多,不同颜色表示不同传播轮次。2022年中国出口产品HS811292贸易额为1.97亿美元,出口至韩国、日本和美国等42个国家及地区。如图7(a)所示,若中国减少产品HS811292的出口,将导致57个国家及地区出现金属镓、锗供应危机。其中,直接受中国供应危机影响的有韩国、日本和德国等19个国家及地区,而西班牙、瑞士和德国又将危机传播至新的国家,如:德国会将危机传播至奥地利、意大利和法国等12个国家,法国将进一步导致芬兰和摩洛哥的供应紧张。中国产品HS811292危机主要传播路径有:中国—瑞士—美国—加拿大,中国—比利时—拉脱维亚—立陶宛,中国—德国—意大利—尼日利亚等。
图7
图7
2022年以中国为传播源的产品HS811292和产品HS811299危机传播路径
Fig.7
Crisis propagation path for HS811292 and HS811299 with China as the source of propagation in 2022
2022年中国主要出口产品HS811299至新加坡、日本、中国香港和美国,其中,中国香港为转口贸易,贸易额为1.33亿美元。如图7(b)所示,中国发生产品HS811299供应危机时,将影响到44个国家及地区。有33个国家及地区将直接受中国供应危机的影响,而且英国、日本、印度和意大利等国家将进一步传播危机。其中传播路径最长的只有一条,为中国—日本—马来西亚—文莱达鲁萨兰国。对比产品HS811292,2022年若中国发生金属镓、锗供应短缺,其直接影响的国家多于间接影响的国家,且影响范围明显减小。
(3)美国危机传播路径
图8
图8
2022年以美国为传播源的产品HS811292和产品HS811299危机传播路径
Fig.8
Crisis propagation path for HS811292 and HS811299 with China as the source of propagation in 2022
由于德国发生供应危机会导致大规模雪崩,共传播了16个国家及地区,因此以美国为爆发源的供应危机雪崩规模进一步扩大。美国危机传播路径最长的有7条,分别为美国—德国—英国—爱尔兰,美国—德国—英国—波兰,美国—德国—英国—科威特,美国—德国—英国—约旦,美国—日本—韩国—缅甸,美国—南非—印度—尼泊尔,美国—南非—印度—博茨瓦纳。此外,有一些国家会同时受多个国家供应危机的影响,比如日本和德国任意一个国家发生供应危机均会影响瑞士。从上述分析发现,当美国贸易额大和贸易国多的商品贸易发生供应危机时,雪崩规模也相对更大。
(4)其他国家危机传播路径
雪崩规模排前列的国家中大部分为欧洲国家,这与金属镓、锗贸易集中在欧洲国家有关,其中包括德国、俄罗斯和荷兰。德国在产品HS811292贸易中发生供应危机时将有12个国家受直接影响,11个国家受间接影响。此外,德国在产品HS811299贸易中发生供应危机时的雪崩规模更小,将有16个国家受到供应危机的影响,危机仅传播了2轮。俄罗斯发生金属镓、锗供应危机时,将会影响包括爱沙尼亚、意大利和印度等在内的7个国家。奥地利、韩国、挪威和亚美尼亚这4个国家会直接受俄罗斯金属镓、锗供应危机的影响,韩国和奥地利将进一步传播危机。最长的传播路径为俄罗斯—韩国—印度—尼泊尔和俄罗斯—韩国—印度—博茨瓦纳。荷兰2022年在产品HS811292贸易中,首先将危机传播到法国,而后法国将危机分别传播至尼日利亚和莫桑比克。在产品HS811299贸易中,荷兰也将危机传播至意大利和法国,危机传播了2轮。
此外,巴西雪崩规模也较大,虽然巴西的出口较为集中,仅出口至美国等6个国家及地区,但巴西将危机传播至美国,美国又进一步扩散危机,共传播了20个国家及地区。2022年奥地利和新加坡从巴西进口产品HS811299最多,若巴西发生供应危机,将有5个国家受到影响,其中奥地利和新加坡将受到直接影响。日本在产品HS811292贸易中发生供应危机时,不会引发其他进口国的供应危机。但产品HS811299的雪崩规模较大,传播了8个国家,危机传播了2轮。最长的传播路径有4条,分别为日本—韩国—缅甸,日本—韩国—匈牙利,日本—韩国—菲律宾和日本—韩国—印尼。
4 结论与政策建议
4.1 结论
本研究利用2002—2022年全球金属镓、锗贸易数据构建其贸易网络,结合复杂网络理论,运用平均度指标、HM贸易依赖指数识别金属镓、锗网络复杂度的格局演变,同时利用桑基图描述全球金属镓、锗的主要贸易流向。建立级联失效模型,模拟了全球金属镓、锗贸易网络中主要国家和不同时间节点的危机传播轮次、传播路径和影响程度。得出如下结论:
(1)从全球贸易格局演变来看,全球金属镓和金属锗贸易规模和贸易平均度上升,亚洲国家与美国的金属镓、锗贸易依赖关系有所减弱,至2022年以美国为主要消费市场的地区为南美洲,欧洲与德国之间的未锻轧金属镓、锗依赖指数进一步增强。
(2)从网络供应危机传播来看,我国危机传播规模最大,传播轮次最多,在产品HS811292贸易中,有57个国家及地区会受其影响,占总贸易国的70.37%;在产品HS811299贸易中,中国危机将传播至44个国家及地区,2种产品的供应危机均将传播3轮。美国在产品HS811299的贸易中危机传播规模最大,占总贸易国的62.37%。在金属镓、锗供应危机传播过程中,我国不会受到其他国家供应危机的影响。在雪崩规模排名前10位的国家当中,欧洲国家数量居多。
(3)关于中国在金属镓、锗供应危机传播中的作用,产品HS811299的危机传播规模比产品HS811292小,且直接传播占比较大。在产品HS811292贸易中,美国不受中国供应危机的直接影响,都是由瑞士和比利时这2个欧洲国家为中间国家所传染的,而后美国又将危机进一步传播至南美洲和亚洲等其他国家。因此,中国对亚洲和南美洲的供应危机传播规模最大、传播轮次最多。
(4)日本在产品HS811292贸易中发生供应危机,不会引起其他国家金属镓、锗供应不足;巴西在产品HS811292贸易中的供应危机传播规模较大,原因是巴西将危机传播至美国后又进一步扩散。在产品HS811299的贸易中,作为欧洲国家,俄罗斯的危机传播规模最大,这与俄罗斯将危机传播至韩国和奥地利有关,因此俄罗斯雪崩规模相对较大,传播轮次较多。
4.2 政策建议
基于上述结论,本研究提出如下政策建议:
(1)通过国际经济合作稳定产业链供给安全。欧洲是受到供应危机影响最严重的地区,重启金属镓、锗生产的成本也相对较高。通过积极协商和谈判,加强中欧在半导体集成电路和太阳能电池板等领域的国际经济合作,有助于我国准确地预测金属镓、锗在相关产业的需求,保障精准供给,避免市场剧烈波动,维护产业链的国际供给安全与稳定。
(2)注意防范美国主导的地缘政治风险。美国是其他金属镓、锗产品贸易中雪崩规模最大的国家。一方面,美日韩镓、锗产业链中的重要企业深化战略合作,另一方面,使供应链中的贸易伙伴多元化,降低对供应链中美国主导的固定贸易路径的依赖。
(3)进一步扩大与巴西等发展中国家的经贸往来。巴西等南美国家在资源禀赋和相关产品供给中与中国存在一定的互补性,进一步扩大与巴西等国家在金属镓、锗的贸易且开展相关产业的国际投资,可以增进双方的福祉,同时进一步稳定金属镓、锗及其相关产品的国际产业链。
http://www.goldsci.ac.cn/article/2024/1005-2518/1005-2518-2024-32-4-717.shtml
参考文献
Common ecology quantifies human insurgency
[J].
Development status of third-generation wide-bandwidth power semiconductors and applications
[J].
Statistical physics of social dynamics
[J].
development situation and application prospect of gallium metal industry in china
[J].
Study on the resilience of trade networks in regions along the “Belt and Road”
[J].
Study on the distribution,supply,demand and consumption trends of global gallium ore resources
[J].
Critical raw materials for the EU.Report of the Ad hoc Working Group on defining critical raw materials
[R].
Critical raw materials for the EU.Report of the Ad hoc Working Group on defining critical raw materials
[R].
Study on the fugacity state of associated silver,cadmium and gallium in the Honghuaping lead-zinc ore in Shaanxi
[J].
Progress and frontiers of research on mineral resource supply risk
[J].
Risk assessment of supply of key metals for clean energy technologies
[J].
The architecture of globalization:A network approach to international economic integration
[J].
Impact of the topology of global macroeconomic network on the spreading of economic crises
[J].
On the self-similar nature of ethernet traffic
[J].
Overview analysis of the third generation semiconductor industry
[J].
Analysis of global germanium resource supply and demand pattern
[J].
Evolution of the global trade network pattern of rare earth products and its influencing factors
[J].
Global gallium resources status and supply and demand situation
[J].
Competitive complementary relationships and their evolution in global digital trade-Based on social network analysis approach
[J].
Research on the development strategy of China’s indium germanium gallium industry based on industry chain analysis
[J].
Study on global lithium carbonate trade pattern and supply crisis propagation
[J].
Resilience assessment of key mineral supply chain network nodes under unexpected risks—A case study of nickel mineral products
[J].
Transmission mechanism and effect of international non-ferrous metal price fluctuation on China’s industrial chain-Based on a two-layer complex network model
[J].
Supply crisis propagation in the global cobalt trade network
[J].
Mineral commodity summaries 2023
[R].
Risk assessment of China’s dominant metals supplying global demand
[J].
Changes in vulnerability of global containerized maritime transport networks under deliberate attacks
[J].
Simulation analysis of the spread of a supply crisis based on the global natural graphite trade network
[J].
Simulation analysis of supply crisis propagation based on global nickel industry chain
[J].
Research on the cascading failure model of interdependent technology innovation networks based on organization-practice
[J].
Study on the distribution supply and demand of gallium resources at home and abroad and the current status of gallium industry chain development
[J].
Research on the trade pattern and influencing factors of high-end manufacturing industry in the “Belt and Road”—An exponential random graph analysis based on complex network
[J].
Spatial structure and proximity of trade networks in countries along the “Belt and Road”
[J].
Vulnerability study of international agricultural trade networks
[J].
Analysis of trade dependence between China and the countries along the “Belt and Road”
[J].
Distribution,production and application prospects of gallium metal
[J].
Simulation analysis and research on economic crisis propagation on international trade networks
[J].
Structure and formation of top networks in international trade,2001—2010
[J].
第三代宽禁带功率半导体及应用发展现状
[J].
我国金属镓产业发展态势及应用前景
[J].
“一带一路”沿线地区贸易网络韧性研究
[J].
全球镓矿资源分布、供需及消费趋势研究
[J].
陕西红花坪铅锌矿中伴生银、镉、镓的赋存状态研究
[J].
矿产资源供应风险研究进展和前沿
[J].
清洁能源技术关键金属供应风险评估
[J].
第三代半导体产业概况剖析
[J].
全球锗资源供需格局分析
[J].
稀土产品全球贸易网络格局演化及其影响因素
[J].
全球镓资源现状及供需形势
[J].
全球数字贸易中的竞争互补关系及其演化——基于社会网络分析方法
[J].
基于产业链分析的中国铟锗镓产业发展战略研究
[J].
全球碳酸锂贸易格局与供应危机传播研究
[J].
突发风险下关键矿产供应链网络节点韧性评估——以镍矿产品为例
[J].
国际有色金属价格波动对中国产业链的传导机制与效应——基于双层复杂网络模型
[J].
中国优势金属供应全球需求的风险评估
[J].
蓄意攻击下全球集装箱海运网络脆弱性变化
[J].
基于组织—惯例的相依技术创新网络级联失效模型研究
[J].
国内外镓资源分布供需及镓产业链发展现状研究
[J].
“一带一路”高端制造业贸易格局及影响因素研究——基于复杂网络的指数随机图分析
[J].
“一带一路”沿线国家贸易网络空间结构与邻近性
[J].
国际农产品贸易网络的脆弱性研究
[J].
中国与“一带一路”沿线国家贸易依赖度分析
[J].
金属镓的分布、生产及应用前景
[J].
国际贸易网络上经济危机传播的仿真分析与研究
[J].
/
| 〈 |
|
〉 |


甘公网安备 62010202000672号