全球金属镓、锗贸易网络格局演变与供应危机传播研究 |
| 廖秋敏,谢柳燕,韩嘉雯 |
|
Study on the Evolution of Global Gallium and Germanium Metal Trade Network Patterns and Supply Crisis Dissemination |
| Qiumin LIAO,Liuyan XIE,Jiawen HAN |
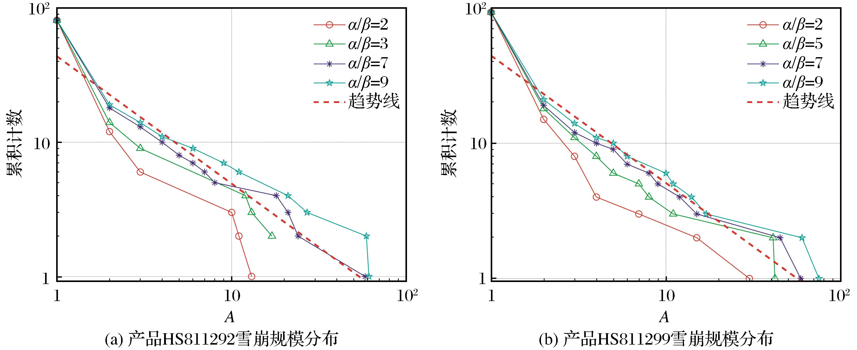
| 图5 产品HS811292和产品HS811299雪崩规模分布 |
| Fig.5 Avalanche size distribution of HS811292 and HS811299 |
|