全球金属镓、锗贸易网络格局演变与供应危机传播研究 |
| 廖秋敏,谢柳燕,韩嘉雯 |
|
Study on the Evolution of Global Gallium and Germanium Metal Trade Network Patterns and Supply Crisis Dissemination |
| Qiumin LIAO,Liuyan XIE,Jiawen HAN |
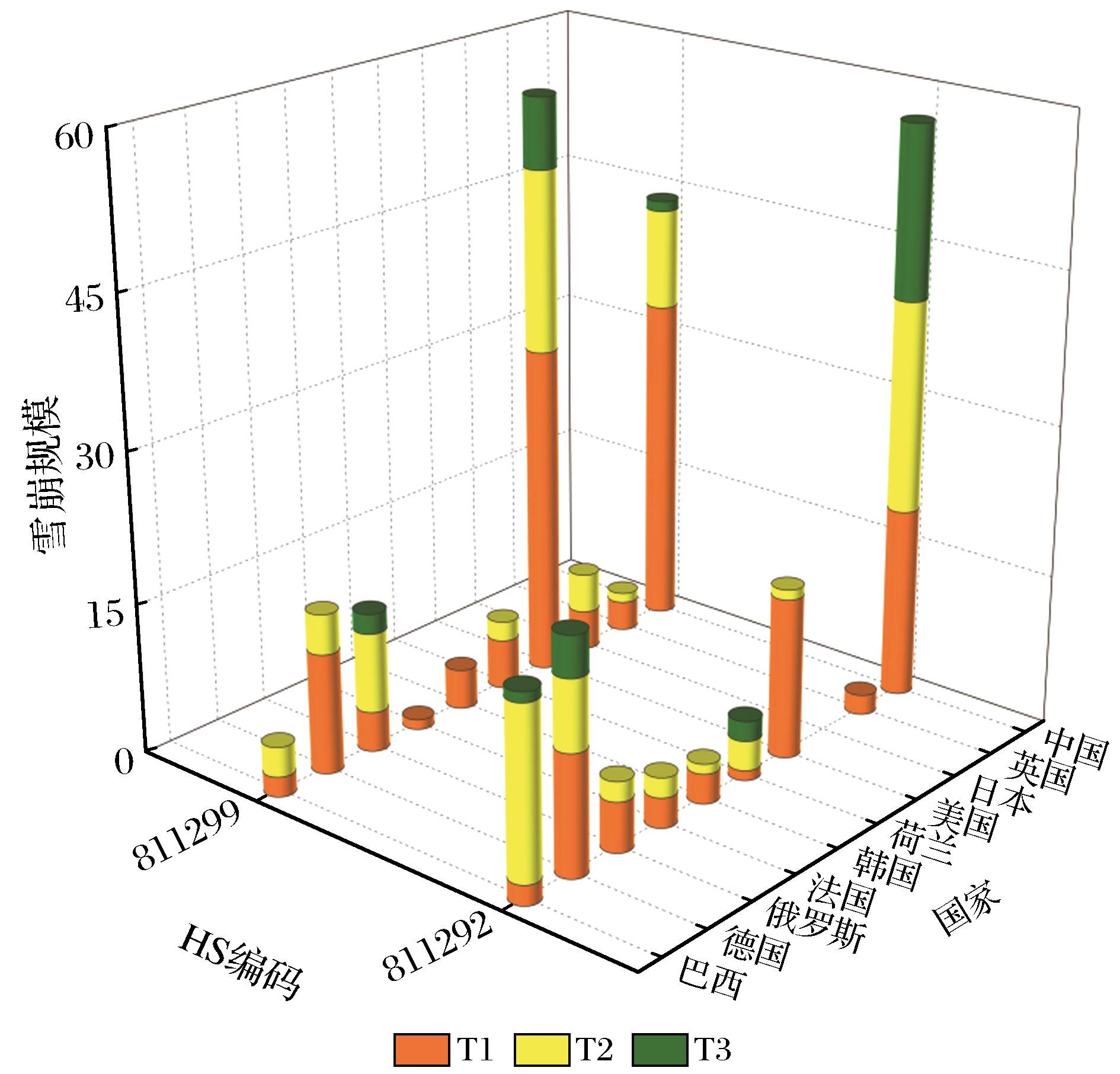
| 图6 2022年金属镓、锗典型国家雪崩规模 |
| Fig.6 Avalanche scale of gallium and germanium metal of typical countries in 2022 |
|