ISSN 1005-2518
CN 62-1112/TF

黄金科学技术, 2023, 31(5): 803-810 doi: 10.11872/j.issn.1005-2518.2023.05.058

采选技术与矿山管理

层理结构板岩动态断裂特性

张玉,1,2, 王文己1,2, 孙加奇3, 肖永刚2

1.中建六局水利水电建设集团有限公司,天津 300350

2.中国建筑第六工程局有限公司工程技术研究院,天津 300171

3.华侨大学土木工程学院,福建 厦门 361021

Fracture Performances of Bedding Structure Slate Under Dynamic Loading

ZHANG Yu,1,2, WANG Wenji1,2, SUN Jiaqi3, XIAO Yonggang2

1.China Construction Sixth Engineering Bureau Hydropower Construction Co. , Ltd. , Tianjin 300350, China

2.Institute of Engineering Technology, China Construction Sixth Engineering Bureau Co. , Ltd. , Tianjin 300171, China

3.College of Civil Engineering, Huaqiao University, Xiamen 361021, Fujian, China

收稿日期: 2023-04-19   修回日期: 2023-08-03  

基金资助: 中建六局科技研发计划资助课题“复杂环境条件下输水隧洞爆破施工关键技术研究”.  CSCEC6B-2020-Z-12
国家自然科学基金项目“爆破震动诱发深部巷道围岩时效破坏机制与损伤模型”.  51974136

Received: 2023-04-19   Revised: 2023-08-03  

作者简介 About authors

张玉(1987-),男,河南南阳人,工程师,从事水利水电工程技术设计和科技研发工作zhangyu871030@163.com , E-mail:zhangyu871030@163.com

摘要

基于动力冲击试验和插入黏聚力单元数值模拟方法,对层理结构板岩中心直切槽半圆盘(NSCB)试样在不同冲击速度和层理面倾角下的断裂性能展开研究。讨论了含层理结构岩样中的裂纹路径及其断裂参数。结果表明:冲击速度和层理面倾角对层理结构板岩裂纹扩展影响明显,在冲击速度较小的条件下,裂纹倾向于沿薄弱层理面扩展;随着冲击速度的增加,裂纹沿薄弱层理面扩展的长度逐渐减小,裂纹扩展路径更倾向于忽略薄弱层理面的影响,直接向加载点扩展。在冲击速度一定的情况下,裂纹沿薄弱层理面扩展的长度随层理面倾角的增加亦减小。随着冲击速度的增加,层理结构板岩的断裂韧度也逐渐增加;在给定冲击速度的条件下,层理结构板岩的断裂韧度随着层理面倾角的增加而增大。

关键词: 层理结构 ; 动力冲击 ; 数值模拟 ; 开裂模式 ; 断裂韧度

Abstract

Bedding structure slate can be always observed in civil and mining engineering in recent years,their physical and mechanical properties are significantly controlled by the existing bedding planes,which are generally considered as weak links that can cause various geological disasters.The fracture behavior of bedding structure slate under dynamic loading is therefore a critical issue for the selection of blasting parameters,stability analysis of rock mass,collapse and burst disaster prevention in tunnel,drift,and other underground structures.In order to investigate the effects of the inclination angle of bedding plane and impact velocity on the dynamic fracture behavior of bedding structure slate,the dynamic impact test and numerical simulation method inserted cohesive element were conducted on the notched semicircular bending(NSCB) specimens by a split-Hopkinson pressure bar(SHPB)system.Tests of NSCB specimens under static loading were conducted for comparison,and the inserted cohesive element method was also used to develop the numerical model of layered NSCB specimens under dynamic loading.The fracture initiation and propagation process of the layered specimen under varied loading conditions were modeled.The results show:(1)Impact velocity and the inclination angle of bedding plane has obvious influence on the crack propagation,and three typical cracking paths can be found for NSCB specimens under both static and dynamic loading.(2)The crack propagates along the bedding plane and then directly propagates to the loading point,the cracking path evidently exhibits dependence on the impact velocity and the inclination angle of bedding plane.For specimens under static loading,the dominated crack is more likely to propagate along the bedding planes while the cracks tend to ignore bedding planes as the impact velocity or the inclination angle of bedding plane increases.At the same time,the crack length along the bedding plane is considerably reduced under dynamic loading than under static loading.(3)It is obvious that the impact velocity and the inclination angle of bedding plane have important influence on fracture toughness,it becomes larger with the increasing impact velocity or the inclination angle of bedding plane.

Keywords: bedding structure ; dynamic impact ; numerical simulation ; cracking mode ; fracture toughness

PDF (3713KB) 元数据 多维度评价 相关文章 导出 EndNote| Ris| Bibtex  收藏本文

本文引用格式

张玉, 王文己, 孙加奇, 肖永刚. 层理结构板岩动态断裂特性[J]. 黄金科学技术, 2023, 31(5): 803-810 doi:10.11872/j.issn.1005-2518.2023.05.058

ZHANG Yu, WANG Wenji, SUN Jiaqi, XIAO Yonggang. Fracture Performances of Bedding Structure Slate Under Dynamic Loading[J]. Gold Science and Technology, 2023, 31(5): 803-810 doi:10.11872/j.issn.1005-2518.2023.05.058

层状岩石变形特征复杂,极易诱发巷道、硐室和岩质边坡等发生失稳灾变(李清等,2016Chang et al.,2017闻名等,2017)。地震、爆破和凿岩作业等是岩石工程中常见的动力诱因。随着采矿、交通和水利等工程逐渐进入深部,岩爆等动力灾害日趋增多,层状岩石冲击失稳问题日益突出(Chen et al.,2016Wen et al.,2020Shen et al.,2021)。在地震、爆破、冲击和凿岩等动力作用下岩石的动态性能是国际岩石力学研究的热点。

随着试验手段的不断进步,科研人员对岩石的动态特性、动态强度准则和动态本构关系等开展了大量的研究工作(赵伏军等,2011赵光明等,2015Lu et al.,2017宫凤强等,2018肖福坤等,2018杨立云等,2020李地元等,2021周盛全等,2022)。张盛等(2008)讨论了岩石在动力作用下的断裂特征及其尺寸效应。邓帅等(2019)李响等(2019)采用含裂纹的岩石试样,分析了冲击速度对动态裂纹扩展规律的影响。Dai et al.(2010)基于文献综述自行设计了动力系统,讨论了花岗岩的动态断裂韧度。Wen et al.(2020)发现层状岩体不同岩层强度的变化对岩体动力性能具有显著影响,岩体破坏多从强度较弱的岩层开始。Shoeb et al.(2023)研究了风化层状砂岩在隧道动力作用下的失稳特征,发现位移发展的局部化特征并给出了隧道动力作用下的变形控制建议。

然而,目前国内外学者对于冲击作用下薄弱层理面对岩石断裂特性的影响规律还缺乏深入了解,造成工程设计存在安全隐患。福建省一闸三线工程中多次遇到具有层理结构的岩体,风险及隐患突出。为进一步加强隧道施工质量控制,本文对层理结构板岩在动力作用下的断裂性能开展研究。

1 计算模型

1.1 材料模型

通过将零厚度黏聚单元(Cohesive Element,CE)全局嵌入有限元网格中,形成有限元实体单元和黏聚单元组成的离散网格。图1给出了2种单元连接示意图。有限元网格为三角形单元,黏聚单元在外力作用下的应力变形关系如图2所示,其应力关系由式(1)表示。

图1

图1   2种单元连接示意图

Fig.1   Connection diagram of two types of elements


图2

图2   黏聚单元本构模型

Fig.2   Constitutive model of cohesive element


τi=kiδi , δi<δi0  δif-δiδif-δi0 δi0, δi0δiδif ,  i=n,s0 , δiδif  

式中:τiδiki 分别为黏聚单元的应力、变形及刚度;τnτs分别为黏聚单元法向和切向的峰值;δnδs为相应的法向和切向的位移;knks分别为法向和切向的刚度。Kiu表示黏聚单元受力卸荷和再加载过程中的损伤刚度,D(取值范围为0~1)表示损伤变量,可用式(2)表示。当单元满足其断裂能G时完全失效,如式(3)~式(4)所示。

D=δef(δem-δe0)δem(δef-δe0)  
G=12δifτi0      
δe=δn2+δs2  
δn=δn ,δn00 ,δn<0   

式中:δe0δefδemδe分别为黏聚单元在受力过程中不同阶段的位移。

基于最大名义应力准则来判别黏聚单元的损伤,计算公式为

maxτnτn0,τsτs0=1  
τn=τn ,τn00 ,τn<0   

式中:τn0τs0为黏聚单元法向和切向上的应力。

1.2 几何模型及网格划分

基于上文所述数值计算方法,建立中心直切槽半圆盘(NSCB)层理结构板岩数值模型,如图3图4所示。为了与后文的物理试验保持一致,模型的基本几何参数如下:层理间距为4 mm,单元格尺寸为2.0 mm;半径R=50 mm,厚度B=20 mm,预制裂缝长度a=15 mm,简支距离为2SS/R为0.7。

图3

图3   层理结构岩石几何模型

Fig.3   Geometric model of bedding structure rocks


图4

图4   嵌入黏聚单元的层理结构板岩有限元网格

Fig.4   Finite element mesh for bedding structure slate with cohesive element


2 计算与分析

2.1 物理验证

采用分离式霍普金森压杆试验装置(SHPB,图5)开展岩样的动力试验来验证数值计算模型。所用层状板岩取自福建省一闸三线工程,试样的单轴抗压强度(fr)、弹性模量(Er)、泊松比(μr)和密度(ρ)等主要物理力学参数见表1。层状岩样半径R为50 mm,厚度B为20 mm,预制切缝深度a为15 mm,缝宽约为1 mm,层理倾角为θ (层理和垂直方向的夹角,见图6)。岩样的加工过程如图6所示,首先按照一定的倾角钻取岩样,然后切割为规定厚度的圆盘,最后在切割的半圆盘上预制设计的裂缝。测试了θ为0°、15°、30°、45°、60°、75°和90° 7种试样,冲击速度为12,20,25 m/s。

图5

图5   分离式霍普金森压杆试验装置

Fig.5   SHPB test apparatus


表1   层理结构板岩试样物理力学参数

Table 1  Physical and mechanical parameters of bedding structure slate specimen

θ/(°)fr/MPaEr/GPaμrρ/(kg·m-3
0196.0095.1650.0922.62×103
1584.9953.6960.071
3070.8137.7680.230
4561.1224.4360.280
6083.1423.8030.318

新窗口打开| 下载CSV


图6

图6   岩样加工过程

1-层状岩体;2-钻取岩心;3-切割圆盘;4-NSCB试样

Fig.6   Specimens preparing process


在利用SHPB系统进行冲击试验时,通过在入射杆端部粘贴黄铜片来实现波形的修正,图7(a)给出了典型的波形。需要按照式(8)和式(9),根据时间平移法对入射波、反射波和透射波波形进行分离以确定动态载荷。动态力平衡试验结果如图7(b)所示。采用相同的加载条件和边界条件,岩样在冲击作用下的部分试样的破坏模式和数值模拟所得的破坏对比如图8所示,可见二者吻合较好。

图7

图7   试样动态力平衡检验

Fig.7   Dynamic force balance check for specimens


图8

图8   冲击作用下层理结构板岩破坏模式对比

Fig.8   Comparison of failure modes of bedding structure slate under impact action


tr=ti+2Si/C0 
tt=Si+StC0+RC  

式中:titrtt分别为入射波、反射波和透射波波头;SiSt分别为入射杆及透射杆上应变片到半圆盘试样的距离;R为试样半径;C0为压杆中弹性波波速;C为试样中弹性波波速。

2.2 冲击速度对裂纹扩展的影响

不同冲击速度下层理结构板岩的裂纹扩展过程如图9所示。为了便于对比分析,图9同时给出了静态作用下的层理结构板岩破坏模式。当θ=0°时,静态和动态裂纹基本沿薄弱层理面扩展。当θ=15°时,在v=12 m/s和v=20 m/s的情况下,裂纹沿层理面扩展;当速度增加至v=25 m/s时,裂纹沿层理面扩展一定距离后,偏离层理面向加载点扩展。当θ=30°时,在v=12 m/s的情况下,裂纹沿层理面扩展;当速度增加至v=20 m/s时裂纹就发生偏折。当θ=45°,60°和75°时,即使在静态作用下,裂纹也是沿层理面扩展一定距离后发生偏折。由此可以看出,裂纹的扩展与加载速率关系密切,表现在:当层理面倾角和冲击速度较小时,裂纹沿薄弱层理面扩展;随着冲击速度的增加,裂纹沿层理面扩展的长度减小,更早发生了偏折现象。当层理倾角较大时,即便是较小的冲击速度,裂纹也沿层理面扩展一定距离后再偏离层理面,并继续向加载点扩展。可见,随着冲击速度的增加,裂纹穿透薄弱层理面直接向加载点扩展。为了进一步量化冲击速度对裂纹扩展的影响,定义裂纹层理面长度比率(η)为

η=lL

式中:l为裂纹沿层理面扩展的长度;L为层理面的长度,如图10(a)所示。

图9

图9   不同冲击速度下裂纹扩展路径对比

Fig.9   Comparison of crack propagation paths under different loading velocities


图10

图10   冲击速度对裂纹层理面长度的影响

Fig.10   Influences of impact velocities on cracking length along bedding plane


图10(b)表明在相同层理倾角条件下,随着冲击速度的增加,裂纹沿层理面扩展的长度减小;当冲击速度一定的条件下,裂纹沿层理面扩展的长度随层理倾角的增加而减小。

2.3 断裂韧度

依据试验结果,对层状岩样的断裂韧度进行分析。试件Ⅰ型断裂的应力强度因子(Shi et al.,2018)可表示为

KId=F(t)maxSBR3/2YaR 
F(t)=AE(εi+εr)  

式中:KId为动态断裂韧度;Ftmax为动态载荷历程曲线上峰值载荷;S为跨距;B为厚度;R为半径;Ya/R)为无量纲应力强度因子,与模型的几何构型有关,可通过有限元计算得到;F(t)为动态载荷;A为断面面积;E为弹性模量;εi为入射脉冲;εr为反射脉冲。断裂韧度可由动力时程曲线上的峰值荷载代入式(11)求得。

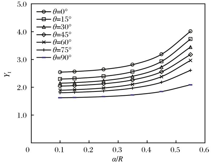
然而,由于层理结构板岩具有明显的各向异性特征,难以直接用公式计算其断裂韧度。本研究采用Shi et al.(2018)提出的方法计算无量纲应力强度因子,如图11所示,详细内容不再赘述。层理面倾角对无量纲应力强度因子的影响如图12所示。

图11

图11   用于计算应力强度因子的有限元网格

Fig.11   Finite element mesh for stress intensity factor calculation


图12

图12   无量纲应力强度因子

Fig.12   Dimensionless stress intensity factor


表2为本次试验所获得的峰值荷载及层理结构板岩的动态断裂能计算结果。冲击速度对动态断裂的影响如图13所示。由图13可知,动态断裂能随着冲击速度的增加而增大;在给定冲击速度的情况下,层理结构板岩的断裂能随层理倾角的增加而增大。

表2   层理结构板岩动态冲击试验结果

Table 2  Dynamic impact test results of bedding structure slate

倾角/(o冲击速度/(m·s-1峰值荷载/N断裂韧度/(MPa·mm0.5
0123 928.32212.58
204 935.74267.09
256 453.85349.24
15124 296.16232.48
205 500.20297.64
256 152.45332.93
30123 920.10212.13
205 943.53321.63
256 646.04359.64
45125 131.72277.70
206 297.23340.77
257 238.87391.72
60125 290.28286.28
206 179.06334.37
258 088.75437.71
75125 416.12293.09
206 454.50349.28
257 558.56409.02
90126 505.87352.06
207 287.28394.34
257 947.93430.09

新窗口打开| 下载CSV


图13

图13   层理结构板岩动态断裂韧度

Fig.13   Fracture toughness for bedding structure slate under dynamic loading


3 结论

基于插入黏聚单元的计算方法,建立直切槽半圆盘试样数值模型,结合物理试验,分析了层理结构板岩冲击作用下的力学性能,得到如下结论:

(1)层理结构板岩冲击作用下的裂纹扩展路径大致可划分为3类:沿薄弱层理面扩展、穿越层理面直接向加载点扩展以及二者的耦合。

(2)在静态加载及冲击速度较低的情况下,薄弱层理面对裂纹扩展路径的影响明显;薄弱面对裂纹路径的影响随着冲击速度的增加而逐渐降低,裂纹沿薄弱面扩展的长度逐渐减小。在冲击速度一定的情况下,裂纹沿薄弱层理面扩展的长度随层理面倾角的增加而减小。

(3)层理结构板岩的断裂韧度受加载速率和层理面倾角的影响明显,并随着冲击速度和层理面倾角的增加而增大。合理设计岩体的受力方向和爆破方式,有利于保持围岩稳定。

http://www.goldsci.ac.cn/article/2023/1005-2518/1005-2518-2023-31-5-803.shtml

参考文献

Chang XLu J YWang S Yet al2017.

Formation of cracks in layered rock considering layer thickness variations

[J].Geophysical Journal International,2103):1623-1640.

[本文引用: 1]

Chen D FFeng X TXu D Pet al2016.

Use of an improved ANN model to predict collapse depth of thin and extremely thin layered rock strata during tunnelling

[J].Tunnelling and Underground Space Technology,51372-386.

[本文引用: 1]

Dai FXia K W2010.

Loading rate dependence of tensile strength anisotropy of barre granite

[J].Pure and Applied Geophysics,16711):1419-1432.

[本文引用: 1]

Deng ShuaiZhu ZhemingWang Leiet al2019.

Study on the influence of in-situ stresses on dynamic fracture behaviors of cracks

[J].Chinese Journal of Rock Mechanics and Engineering,3810):1989-1999.

Gong FengqiangWang JinLi Xibing2018.

The rate effect of compression characteristics and a unified model of dyna-mic increasing factor for rock materials

[J].Chinese Journal of Rock Mechanics and Engineering,377):1586-1595.

Li DiyuanGao FeihongLiu Menget al2021.

Research on failure mechanism of stratified sandstone with pre-cracked hole under combined static-dynamic loads

[J].Rock and Soil Mechanics,428):2127-2140.

Li QingGuo YangTian Ceet al2016.

Effect of material crack flaws on dynamic fracture behavior

[J].Science Technology and Engineering,1628):1-5.

Li XiangHuai ZhenLi Xibinget al2019.

Study on fracture characteristics and mechanical properties of brittle rock based on crack propagation mode

[J].Gold Science and Technology,271):41-51.

Lu CSun QZhang W Qet al2017.

The effect of high temperature on tensile strength of sandstone

[J].Applied Thermal Engineering,111573-579.

[本文引用: 1]

Shen W LShi G CWang Y Get al2021.

Tomography of the dynamic stress coefficient for stress wave prediction in sedimentary rock layer under the mining additional stress

[J].International Journal of Mining Science and Technology,314):653-663.

[本文引用: 1]

Shi X SLiu D AYao Wet al2018.

Investigation of the anisotropy of black shale in dynamic tensile strength

[J].Arabian Journal of Geosciences,112):1-11.

[本文引用: 2]

Shoeb MKhan S AAlam Tet al2023.

Dynamic stability analysis of metro tunnel in layered weathered sandstone

[J].Ain Shams Engineering Journal: 102258..

URL     [本文引用: 1]

Wen MingXu JinyuWang Haoyuet al2017.

Fractography analysis of sandstone failure under low temperature-dynamic loading coupling effects

[J].Chinese Journal of Rock Mechanics and Engineering,36Supp.2):3822-3830.

Wen SZhang C SChang Y L2020.

Dynamic compression characteristics of layered rock mass of significant strength changes in adjacent layers

[J].Journal of Rock Mechanics and Geotechnical Engineering,122):353-365.

[本文引用: 2]

Xiao FukunWang HouranZhang Ruiet al2018.

Fracture characteristics underlying sandstones under different impact loading

[J].Journal of Heilongjiang University of Science and Technology,286):603-607.

Yang LiyunWang QingchengDing Chenxiet al2020.

Experimental analysis on the mechanism of slotting blasting in deep rock mass

[J].Journal of Vibration and Shock,392):40-46.

Zhang ShengWang QizhiXie Heping2008.

Size effect of rock dynamic fracture toughness

[J].Explosion and Shock Waves,286):544-551.

Zhao FujunXie ShiyongPan Jianzhonget al2011.

Numerical simulation and experimental investigation on rock fragmentation under combined dynamic and static loading

[J].Chinese Journal of Geotechnical Engineering,338):1290-1295.

Zhao GuangmingMa WenweiMeng Xiangrui2015.

Damage modes and energy characteristics of rock-like materials under dynamic load

[J].Rock and Soil Mechanics,3612):3598-3605.

Zhou ShengquanWang RuiTian Nuochenget al2022.

Research on dynamic mechanical properties of heat-treated granite under impact loading

[J].Gold Science and Technology,302):222-232.

邓帅朱哲明王磊2019.

原岩应力对裂纹动态断裂行为的影响规律研究

[J].岩石力学与工程学报,3810):1989-1999.

[本文引用: 1]

宫凤强王进李夕兵2018.

岩石压缩特性的率效应与动态增强因子统一模型

[J].岩石力学与工程学报,377):1586-1595.

[本文引用: 1]

李地元高飞红刘濛2021.

动静组合加载下含孔洞层状砂岩破坏机制探究

[J].岩土力学,428):2127-2140.

[本文引用: 1]

李清郭洋田策2016.

不同角度裂纹缺陷对材料动态断裂行为的影响

[J].科学技术与工程,1628):1-5.

[本文引用: 1]

李响怀震李夕兵2019.

基于裂纹扩展模型的脆性岩石破裂特征及力学性能研究

[J].黄金科学技术,271):41-51.

[本文引用: 1]

闻名许金余王浩宇2017.

低温—动荷载耦合作用下砂岩破坏断口的形貌分析

[J].岩石力学与工程学报,36增2):3822-3830.

[本文引用: 1]

肖福坤王厚然张睿2018.

不同冲击加载作用下砂岩的破碎特征

[J].黑龙江科技大学学报,286):603-607.

[本文引用: 1]

杨立云王青成丁晨曦2020.

深部岩体中切槽爆破机理实验分析

[J].振动与冲击,392):40-46.

[本文引用: 1]

张盛王启智谢和平2008.

岩石动态断裂韧度的尺寸效应

[J].爆炸与冲击,286):544-551.

[本文引用: 1]

赵伏军谢世勇潘建忠2011.

动静组合载荷作用下岩石破碎数值模拟及试验研究

[J].岩土工程学报,338):1290-1295.

[本文引用: 1]

赵光明马文伟孟祥瑞2015.

动载作用下岩石类材料破坏模式及能量特性

[J].岩土力学,3612):3598-3605.

[本文引用: 1]

周盛全王瑞田诺成2022.

冲击荷载作用下热处理花岗岩动态力学特性研究

[J].黄金科学技术,302):222-232.

[本文引用: 1]

/