层理结构板岩动态断裂特性
张玉,王文己,孙加奇,肖永刚

Fracture Performances of Bedding Structure Slate Under Dynamic Loading
Yu ZHANG,Wenji WANG,Jiaqi SUN,Yonggang XIAO
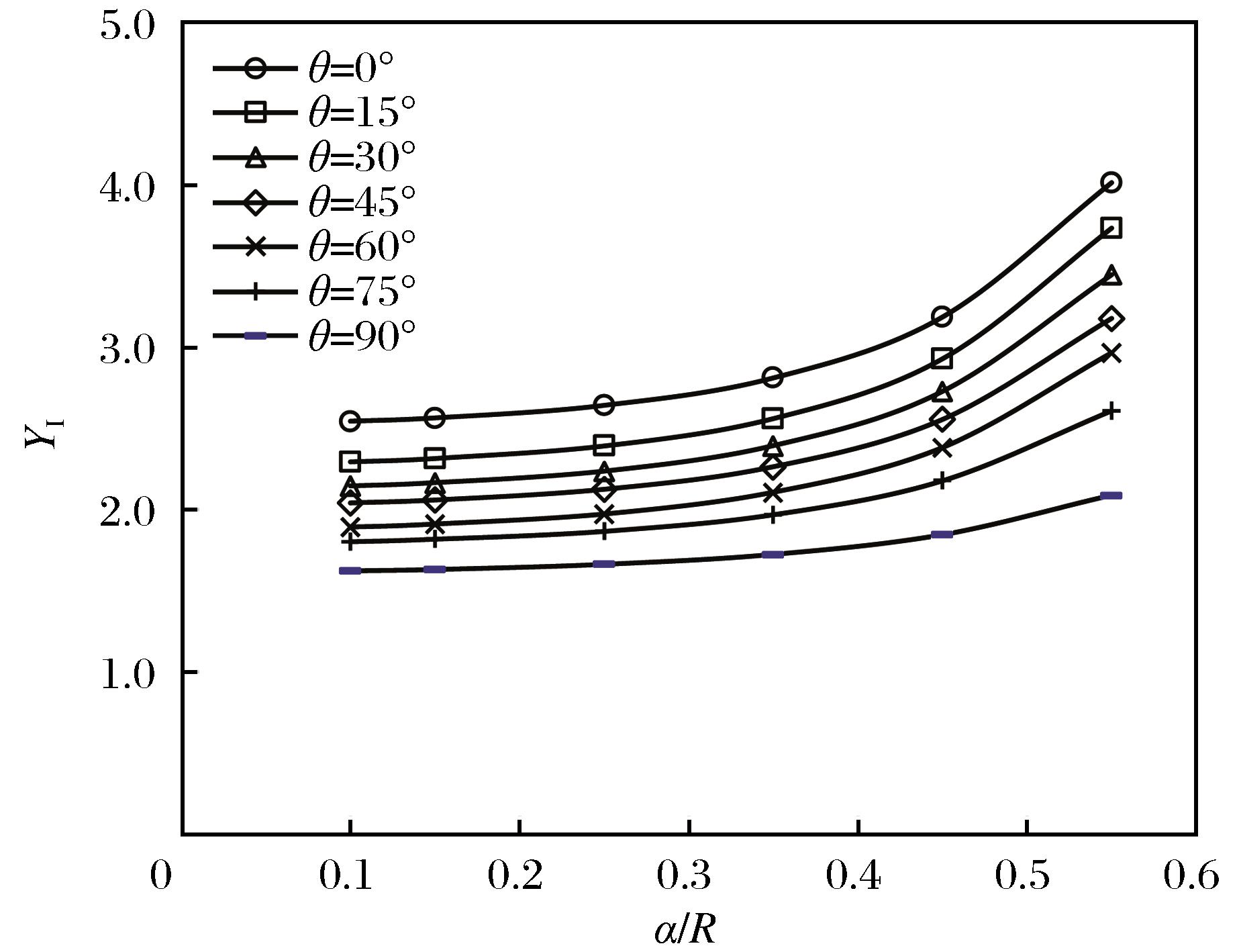
图12 无量纲应力强度因子
Fig.12 Dimensionless stress intensity factor