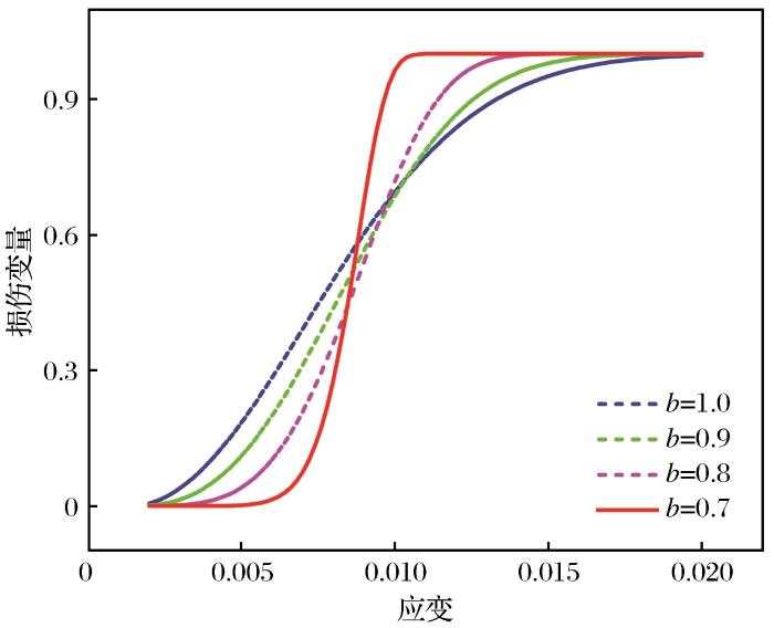
In order to accurately describe the whole process of rock stress-strain curve,a statistical damage contitutive model considering the effect of rock microdefects was proposed.Firstly,rocks containing microdefects are analysed and abstracted into a rock skeleton part and a defective part without microdefects.The rock microdefects include initial microdefects and new microdefects added to the rock by loading,which can only generate strain but not stress.The strain generated by the initial microdefects is negatively exponential to the stress during the compression-density stage,and the model parameters n and Vm are obtained by fitting the experimental curve of closed strain-stress for the microdefects.After the compression-density stage,the initial micro-defects are completely closed and the resulting strain is a constant.As additional micro-defects are mainly generated in large numbers in the post-peak stage,the effect of additional micro-defects on the post-peak stage is mainly considered.A variable b in the range of 0 to 1 is used to represent the weakening effect of the strain formed by the additional micro-defects on the strain generated in the rock.Different values of b can reflect the degree of strain softening in the rock,and a method for determining the value of b is given to obtain the value of b under different stress states for different rocks.The deformation of the rock skeletal part without micro-defects and whose damage conforms to the Weibull probability distribution,the deformation of the rock skeletal part and the micro-defective part make up the deformation of the rock,which leads to the derivation of the damage constitutive model of the rock,and the specific determination method of the parameters m and F0 of this damage constitutive model is given.The parameters of the model are discussed.The smaller the value of b,the greater the strain generated by the new microcracks in the rock and the more obvious the strain softening is.The damage variables of the rock are analysed for different values of b.The smaller the value of b,the faster the damage value of the rock reaches 1 and the faster the skeletal part of the rock is damaged.The damage costitutive model in this paper takes into account the compression-density phase,the strain-softening phase,the effect of residual strain,and can characterise all phases of the rock stress-strain curve,and the model parameters are small and the method of determination is clear.Finally,the model is validated with sandstone and saprolite test data,and the test data agree with the theoretical results,indicating the reasonableness of the model.
Keywords:rocks with microdefects
;
constitutive model
;
microdefects
;
compression-density stage
;
strain softening
;
correction factor
LIU Zhixiang, YAN Mengyang, ZHANG Shuangxia, XIONG Shuai, WANG Kai. Damage Constitutive Model Considering the Effect of Rock Microdefects[J]. Gold Science and Technology, 2023, 31(3): 507-515 doi:10.11872/j.issn.1005-2518.2023.03.164
国内外学者从多个角度对岩石本构模型进行了研究。如:Chen et al.(2019)对传统统计损伤模型进行修正;Chen et al.(2018)比较了幂函数与Weibull分布函数的统计损伤模型;Gao et al.(2018)提出了考虑热力耦合的本构模型;Miao et al.(2018)建立了水化学环境下的本构模型;Hu et al.(2018)构建了硬岩的非线性本构模型;Huang et al.(2018)建立了弹塑性损伤本构模型;曹文贵等(2003)建立了正态分布损伤本构模型;李海潮等(2017)对应变等价性假设的不足进行了修正,得到新的岩石损伤本构模型;Liu et al.(2018)使用Logistic方程来拟合岩石的损伤过程,并以此建立了岩石损伤本构模型;贾宝新等(2022)提出了基于Hoek-Brown准则的高温岩石损伤本构。上述岩石损伤本构模型与特定环境下的岩石应力—应变曲线相吻合,但是对应力—应变的压密阶段描述略有不足,而含有初始微缺陷的脆性岩石一般有压密阶段。张超等(2020)对两类初始空隙进行分析,建立了考虑初始空隙的岩石损伤本构模型。曹文贵等(2016)考虑空隙压密效应,提出了相应的本构模型。张超等(2021)基于应变等效假设的弹性模量法,构建了岩石损伤本构模型。Cao et al.(2010)通过确定孔隙率来分析空隙和体积变化对岩石行为的影响,然后建立相关的损伤模型。这些学者建立的本构模型考虑到微缺陷会导致岩石产生压密阶段,但忽略了新增微缺陷对脆性岩石应变软化阶段的影响。由此可见,上述学者的研究对于岩石损伤本构模型的发展和进步作出了重要的贡献,提出的岩石损伤本构模型已考虑到微缺陷会导致岩石产生压密阶段,具有很强的针对性,但对于脆性岩石全应力—应变曲线的描述仍有一定局限性。因此,本文针对含有初始微缺陷脆性岩石,重点考虑微缺陷对压密阶段和应变软化阶段的影响,进一步完善脆性岩石全应力—应变过程损伤本构模型。
当i=j=1时,ε就变为ε,表示微缺陷部分所引起的轴向应变,所以ε与偏应力存在函数关系。由于岩石骨架部分在微裂纹萌生前只发生弹性变形,所以岩石骨架部分的应变与应力呈线性关系。研究表明,当轴向应力较小时,微缺陷部分产生的轴向应变ε是随轴向应力的增大而增加的;微缺陷完全闭合时,ε不再随轴向应力的增大而增加,而是趋于一个稳定值。微缺陷产生的轴向应变与轴向应力呈负指数关系(Peng et al.,2015):
Statistical damage model with strain softening and hardening for rocks under the influence of voids and volume changes
1
2010
... 国内外学者从多个角度对岩石本构模型进行了研究.如:Chen et al.(2019)对传统统计损伤模型进行修正;Chen et al.(2018)比较了幂函数与Weibull分布函数的统计损伤模型;Gao et al.(2018)提出了考虑热力耦合的本构模型;Miao et al.(2018)建立了水化学环境下的本构模型;Hu et al.(2018)构建了硬岩的非线性本构模型;Huang et al.(2018)建立了弹塑性损伤本构模型;曹文贵等(2003)建立了正态分布损伤本构模型;李海潮等(2017)对应变等价性假设的不足进行了修正,得到新的岩石损伤本构模型;Liu et al.(2018)使用Logistic方程来拟合岩石的损伤过程,并以此建立了岩石损伤本构模型;贾宝新等(2022)提出了基于Hoek-Brown准则的高温岩石损伤本构.上述岩石损伤本构模型与特定环境下的岩石应力—应变曲线相吻合,但是对应力—应变的压密阶段描述略有不足,而含有初始微缺陷的脆性岩石一般有压密阶段.张超等(2020)对两类初始空隙进行分析,建立了考虑初始空隙的岩石损伤本构模型.曹文贵等(2016)考虑空隙压密效应,提出了相应的本构模型.张超等(2021)基于应变等效假设的弹性模量法,构建了岩石损伤本构模型.Cao et al.(2010)通过确定孔隙率来分析空隙和体积变化对岩石行为的影响,然后建立相关的损伤模型.这些学者建立的本构模型考虑到微缺陷会导致岩石产生压密阶段,但忽略了新增微缺陷对脆性岩石应变软化阶段的影响.由此可见,上述学者的研究对于岩石损伤本构模型的发展和进步作出了重要的贡献,提出的岩石损伤本构模型已考虑到微缺陷会导致岩石产生压密阶段,具有很强的针对性,但对于脆性岩石全应力—应变曲线的描述仍有一定局限性.因此,本文针对含有初始微缺陷脆性岩石,重点考虑微缺陷对压密阶段和应变软化阶段的影响,进一步完善脆性岩石全应力—应变过程损伤本构模型. ...
A statistical damage simulation method for rock strain softening considering the characteristics of void compacting stage
0
2016
A statistical damage simulation method for the whole process of rock deformation based on residual strength deformation phase characteristics
0
2012
Study on statistical damage simulation of rock fracture process
0
2003
Comparative study on three-dimensional conventional and modified statistical damage constitutive models
1
2019
... 国内外学者从多个角度对岩石本构模型进行了研究.如:Chen et al.(2019)对传统统计损伤模型进行修正;Chen et al.(2018)比较了幂函数与Weibull分布函数的统计损伤模型;Gao et al.(2018)提出了考虑热力耦合的本构模型;Miao et al.(2018)建立了水化学环境下的本构模型;Hu et al.(2018)构建了硬岩的非线性本构模型;Huang et al.(2018)建立了弹塑性损伤本构模型;曹文贵等(2003)建立了正态分布损伤本构模型;李海潮等(2017)对应变等价性假设的不足进行了修正,得到新的岩石损伤本构模型;Liu et al.(2018)使用Logistic方程来拟合岩石的损伤过程,并以此建立了岩石损伤本构模型;贾宝新等(2022)提出了基于Hoek-Brown准则的高温岩石损伤本构.上述岩石损伤本构模型与特定环境下的岩石应力—应变曲线相吻合,但是对应力—应变的压密阶段描述略有不足,而含有初始微缺陷的脆性岩石一般有压密阶段.张超等(2020)对两类初始空隙进行分析,建立了考虑初始空隙的岩石损伤本构模型.曹文贵等(2016)考虑空隙压密效应,提出了相应的本构模型.张超等(2021)基于应变等效假设的弹性模量法,构建了岩石损伤本构模型.Cao et al.(2010)通过确定孔隙率来分析空隙和体积变化对岩石行为的影响,然后建立相关的损伤模型.这些学者建立的本构模型考虑到微缺陷会导致岩石产生压密阶段,但忽略了新增微缺陷对脆性岩石应变软化阶段的影响.由此可见,上述学者的研究对于岩石损伤本构模型的发展和进步作出了重要的贡献,提出的岩石损伤本构模型已考虑到微缺陷会导致岩石产生压密阶段,具有很强的针对性,但对于脆性岩石全应力—应变曲线的描述仍有一定局限性.因此,本文针对含有初始微缺陷脆性岩石,重点考虑微缺陷对压密阶段和应变软化阶段的影响,进一步完善脆性岩石全应力—应变过程损伤本构模型. ...
Comparative study on three-dimensional statistical damage constitutive modified model of rock based on power function and Weibull distribution
1
2018
... 国内外学者从多个角度对岩石本构模型进行了研究.如:Chen et al.(2019)对传统统计损伤模型进行修正;Chen et al.(2018)比较了幂函数与Weibull分布函数的统计损伤模型;Gao et al.(2018)提出了考虑热力耦合的本构模型;Miao et al.(2018)建立了水化学环境下的本构模型;Hu et al.(2018)构建了硬岩的非线性本构模型;Huang et al.(2018)建立了弹塑性损伤本构模型;曹文贵等(2003)建立了正态分布损伤本构模型;李海潮等(2017)对应变等价性假设的不足进行了修正,得到新的岩石损伤本构模型;Liu et al.(2018)使用Logistic方程来拟合岩石的损伤过程,并以此建立了岩石损伤本构模型;贾宝新等(2022)提出了基于Hoek-Brown准则的高温岩石损伤本构.上述岩石损伤本构模型与特定环境下的岩石应力—应变曲线相吻合,但是对应力—应变的压密阶段描述略有不足,而含有初始微缺陷的脆性岩石一般有压密阶段.张超等(2020)对两类初始空隙进行分析,建立了考虑初始空隙的岩石损伤本构模型.曹文贵等(2016)考虑空隙压密效应,提出了相应的本构模型.张超等(2021)基于应变等效假设的弹性模量法,构建了岩石损伤本构模型.Cao et al.(2010)通过确定孔隙率来分析空隙和体积变化对岩石行为的影响,然后建立相关的损伤模型.这些学者建立的本构模型考虑到微缺陷会导致岩石产生压密阶段,但忽略了新增微缺陷对脆性岩石应变软化阶段的影响.由此可见,上述学者的研究对于岩石损伤本构模型的发展和进步作出了重要的贡献,提出的岩石损伤本构模型已考虑到微缺陷会导致岩石产生压密阶段,具有很强的针对性,但对于脆性岩石全应力—应变曲线的描述仍有一定局限性.因此,本文针对含有初始微缺陷脆性岩石,重点考虑微缺陷对压密阶段和应变软化阶段的影响,进一步完善脆性岩石全应力—应变过程损伤本构模型. ...
A statistical constitutive model considering deterioration for brittle rocks under a coupled thermal-mechanical condition
1
2018
... 国内外学者从多个角度对岩石本构模型进行了研究.如:Chen et al.(2019)对传统统计损伤模型进行修正;Chen et al.(2018)比较了幂函数与Weibull分布函数的统计损伤模型;Gao et al.(2018)提出了考虑热力耦合的本构模型;Miao et al.(2018)建立了水化学环境下的本构模型;Hu et al.(2018)构建了硬岩的非线性本构模型;Huang et al.(2018)建立了弹塑性损伤本构模型;曹文贵等(2003)建立了正态分布损伤本构模型;李海潮等(2017)对应变等价性假设的不足进行了修正,得到新的岩石损伤本构模型;Liu et al.(2018)使用Logistic方程来拟合岩石的损伤过程,并以此建立了岩石损伤本构模型;贾宝新等(2022)提出了基于Hoek-Brown准则的高温岩石损伤本构.上述岩石损伤本构模型与特定环境下的岩石应力—应变曲线相吻合,但是对应力—应变的压密阶段描述略有不足,而含有初始微缺陷的脆性岩石一般有压密阶段.张超等(2020)对两类初始空隙进行分析,建立了考虑初始空隙的岩石损伤本构模型.曹文贵等(2016)考虑空隙压密效应,提出了相应的本构模型.张超等(2021)基于应变等效假设的弹性模量法,构建了岩石损伤本构模型.Cao et al.(2010)通过确定孔隙率来分析空隙和体积变化对岩石行为的影响,然后建立相关的损伤模型.这些学者建立的本构模型考虑到微缺陷会导致岩石产生压密阶段,但忽略了新增微缺陷对脆性岩石应变软化阶段的影响.由此可见,上述学者的研究对于岩石损伤本构模型的发展和进步作出了重要的贡献,提出的岩石损伤本构模型已考虑到微缺陷会导致岩石产生压密阶段,具有很强的针对性,但对于脆性岩石全应力—应变曲线的描述仍有一定局限性.因此,本文针对含有初始微缺陷脆性岩石,重点考虑微缺陷对压密阶段和应变软化阶段的影响,进一步完善脆性岩石全应力—应变过程损伤本构模型. ...
Study on rock mechanics in deep mining engineering
0
2005
Nonlinear rheological damage model of hard rock
1
2018
... 国内外学者从多个角度对岩石本构模型进行了研究.如:Chen et al.(2019)对传统统计损伤模型进行修正;Chen et al.(2018)比较了幂函数与Weibull分布函数的统计损伤模型;Gao et al.(2018)提出了考虑热力耦合的本构模型;Miao et al.(2018)建立了水化学环境下的本构模型;Hu et al.(2018)构建了硬岩的非线性本构模型;Huang et al.(2018)建立了弹塑性损伤本构模型;曹文贵等(2003)建立了正态分布损伤本构模型;李海潮等(2017)对应变等价性假设的不足进行了修正,得到新的岩石损伤本构模型;Liu et al.(2018)使用Logistic方程来拟合岩石的损伤过程,并以此建立了岩石损伤本构模型;贾宝新等(2022)提出了基于Hoek-Brown准则的高温岩石损伤本构.上述岩石损伤本构模型与特定环境下的岩石应力—应变曲线相吻合,但是对应力—应变的压密阶段描述略有不足,而含有初始微缺陷的脆性岩石一般有压密阶段.张超等(2020)对两类初始空隙进行分析,建立了考虑初始空隙的岩石损伤本构模型.曹文贵等(2016)考虑空隙压密效应,提出了相应的本构模型.张超等(2021)基于应变等效假设的弹性模量法,构建了岩石损伤本构模型.Cao et al.(2010)通过确定孔隙率来分析空隙和体积变化对岩石行为的影响,然后建立相关的损伤模型.这些学者建立的本构模型考虑到微缺陷会导致岩石产生压密阶段,但忽略了新增微缺陷对脆性岩石应变软化阶段的影响.由此可见,上述学者的研究对于岩石损伤本构模型的发展和进步作出了重要的贡献,提出的岩石损伤本构模型已考虑到微缺陷会导致岩石产生压密阶段,具有很强的针对性,但对于脆性岩石全应力—应变曲线的描述仍有一定局限性.因此,本文针对含有初始微缺陷脆性岩石,重点考虑微缺陷对压密阶段和应变软化阶段的影响,进一步完善脆性岩石全应力—应变过程损伤本构模型. ...
An elasto-plastic damage model for rocks based on a new nonlinear strength criterion
1
2018
... 国内外学者从多个角度对岩石本构模型进行了研究.如:Chen et al.(2019)对传统统计损伤模型进行修正;Chen et al.(2018)比较了幂函数与Weibull分布函数的统计损伤模型;Gao et al.(2018)提出了考虑热力耦合的本构模型;Miao et al.(2018)建立了水化学环境下的本构模型;Hu et al.(2018)构建了硬岩的非线性本构模型;Huang et al.(2018)建立了弹塑性损伤本构模型;曹文贵等(2003)建立了正态分布损伤本构模型;李海潮等(2017)对应变等价性假设的不足进行了修正,得到新的岩石损伤本构模型;Liu et al.(2018)使用Logistic方程来拟合岩石的损伤过程,并以此建立了岩石损伤本构模型;贾宝新等(2022)提出了基于Hoek-Brown准则的高温岩石损伤本构.上述岩石损伤本构模型与特定环境下的岩石应力—应变曲线相吻合,但是对应力—应变的压密阶段描述略有不足,而含有初始微缺陷的脆性岩石一般有压密阶段.张超等(2020)对两类初始空隙进行分析,建立了考虑初始空隙的岩石损伤本构模型.曹文贵等(2016)考虑空隙压密效应,提出了相应的本构模型.张超等(2021)基于应变等效假设的弹性模量法,构建了岩石损伤本构模型.Cao et al.(2010)通过确定孔隙率来分析空隙和体积变化对岩石行为的影响,然后建立相关的损伤模型.这些学者建立的本构模型考虑到微缺陷会导致岩石产生压密阶段,但忽略了新增微缺陷对脆性岩石应变软化阶段的影响.由此可见,上述学者的研究对于岩石损伤本构模型的发展和进步作出了重要的贡献,提出的岩石损伤本构模型已考虑到微缺陷会导致岩石产生压密阶段,具有很强的针对性,但对于脆性岩石全应力—应变曲线的描述仍有一定局限性.因此,本文针对含有初始微缺陷脆性岩石,重点考虑微缺陷对压密阶段和应变软化阶段的影响,进一步完善脆性岩石全应力—应变过程损伤本构模型. ...
Ontogenetic model of rock damage at high temperature and its validation
0
2022
Continuous damage mechanics model for ductile materials
2
1985
... 基于等效应变假设(Lemaitre et al.,1985),材料的一维损伤本构可表示为 ...
... Lemaitre et al.(1985)提出的等效应变假设认为岩石未损伤时,D=0,D=1时岩石完全损伤,实际上岩石完全损伤仍有承载能力.等效应变假设改进为 ...
Rock damage model based on modified Lemaitre strain equivalence assumption
0
2017
Ontogenetic model of rock damage considering shear expansion properties and post-peak morphology
0
2021
A damage model for modeling the complete stress-strain relations of brittle rocks under uniaxial compression
1
2018
... 国内外学者从多个角度对岩石本构模型进行了研究.如:Chen et al.(2019)对传统统计损伤模型进行修正;Chen et al.(2018)比较了幂函数与Weibull分布函数的统计损伤模型;Gao et al.(2018)提出了考虑热力耦合的本构模型;Miao et al.(2018)建立了水化学环境下的本构模型;Hu et al.(2018)构建了硬岩的非线性本构模型;Huang et al.(2018)建立了弹塑性损伤本构模型;曹文贵等(2003)建立了正态分布损伤本构模型;李海潮等(2017)对应变等价性假设的不足进行了修正,得到新的岩石损伤本构模型;Liu et al.(2018)使用Logistic方程来拟合岩石的损伤过程,并以此建立了岩石损伤本构模型;贾宝新等(2022)提出了基于Hoek-Brown准则的高温岩石损伤本构.上述岩石损伤本构模型与特定环境下的岩石应力—应变曲线相吻合,但是对应力—应变的压密阶段描述略有不足,而含有初始微缺陷的脆性岩石一般有压密阶段.张超等(2020)对两类初始空隙进行分析,建立了考虑初始空隙的岩石损伤本构模型.曹文贵等(2016)考虑空隙压密效应,提出了相应的本构模型.张超等(2021)基于应变等效假设的弹性模量法,构建了岩石损伤本构模型.Cao et al.(2010)通过确定孔隙率来分析空隙和体积变化对岩石行为的影响,然后建立相关的损伤模型.这些学者建立的本构模型考虑到微缺陷会导致岩石产生压密阶段,但忽略了新增微缺陷对脆性岩石应变软化阶段的影响.由此可见,上述学者的研究对于岩石损伤本构模型的发展和进步作出了重要的贡献,提出的岩石损伤本构模型已考虑到微缺陷会导致岩石产生压密阶段,具有很强的针对性,但对于脆性岩石全应力—应变曲线的描述仍有一定局限性.因此,本文针对含有初始微缺陷脆性岩石,重点考虑微缺陷对压密阶段和应变软化阶段的影响,进一步完善脆性岩石全应力—应变过程损伤本构模型. ...
Damage constitutive model and variables of cracked rock in a hydro-chemical environment
1
2018
... 国内外学者从多个角度对岩石本构模型进行了研究.如:Chen et al.(2019)对传统统计损伤模型进行修正;Chen et al.(2018)比较了幂函数与Weibull分布函数的统计损伤模型;Gao et al.(2018)提出了考虑热力耦合的本构模型;Miao et al.(2018)建立了水化学环境下的本构模型;Hu et al.(2018)构建了硬岩的非线性本构模型;Huang et al.(2018)建立了弹塑性损伤本构模型;曹文贵等(2003)建立了正态分布损伤本构模型;李海潮等(2017)对应变等价性假设的不足进行了修正,得到新的岩石损伤本构模型;Liu et al.(2018)使用Logistic方程来拟合岩石的损伤过程,并以此建立了岩石损伤本构模型;贾宝新等(2022)提出了基于Hoek-Brown准则的高温岩石损伤本构.上述岩石损伤本构模型与特定环境下的岩石应力—应变曲线相吻合,但是对应力—应变的压密阶段描述略有不足,而含有初始微缺陷的脆性岩石一般有压密阶段.张超等(2020)对两类初始空隙进行分析,建立了考虑初始空隙的岩石损伤本构模型.曹文贵等(2016)考虑空隙压密效应,提出了相应的本构模型.张超等(2021)基于应变等效假设的弹性模量法,构建了岩石损伤本构模型.Cao et al.(2010)通过确定孔隙率来分析空隙和体积变化对岩石行为的影响,然后建立相关的损伤模型.这些学者建立的本构模型考虑到微缺陷会导致岩石产生压密阶段,但忽略了新增微缺陷对脆性岩石应变软化阶段的影响.由此可见,上述学者的研究对于岩石损伤本构模型的发展和进步作出了重要的贡献,提出的岩石损伤本构模型已考虑到微缺陷会导致岩石产生压密阶段,具有很强的针对性,但对于脆性岩石全应力—应变曲线的描述仍有一定局限性.因此,本文针对含有初始微缺陷脆性岩石,重点考虑微缺陷对压密阶段和应变软化阶段的影响,进一步完善脆性岩石全应力—应变过程损伤本构模型. ...
A model for characterizing crack closure effect of rocks
1
2015
... 当i=j=1时,ε就变为ε,表示微缺陷部分所引起的轴向应变,所以ε与偏应力存在函数关系.由于岩石骨架部分在微裂纹萌生前只发生弹性变形,所以岩石骨架部分的应变与应力呈线性关系.研究表明,当轴向应力较小时,微缺陷部分产生的轴向应变ε是随轴向应力的增大而增加的;微缺陷完全闭合时,ε不再随轴向应力的增大而增加,而是趋于一个稳定值.微缺陷产生的轴向应变与轴向应力呈负指数关系(Peng et al.,2015): ...
A study of the behaviour of brittle rocks under plane strain and triaxial loading conditions
1
1995
... 为验证上述微裂纹萌生前岩石本构模型的正确性,引用文献(Yumlu et al.,1995)中砂岩和苏长岩的常规三轴压缩试验数据. ...
Simulation of the whole process of deformation damage of brittle rocks considering initial void closure and its influence
0
2020
Analysis of damage evolution of rock-like brittle materials and its modeling method
0
2021
考虑空隙压密阶段特征的岩石应变软化统计损伤模拟方法
1
2016
... 国内外学者从多个角度对岩石本构模型进行了研究.如:Chen et al.(2019)对传统统计损伤模型进行修正;Chen et al.(2018)比较了幂函数与Weibull分布函数的统计损伤模型;Gao et al.(2018)提出了考虑热力耦合的本构模型;Miao et al.(2018)建立了水化学环境下的本构模型;Hu et al.(2018)构建了硬岩的非线性本构模型;Huang et al.(2018)建立了弹塑性损伤本构模型;曹文贵等(2003)建立了正态分布损伤本构模型;李海潮等(2017)对应变等价性假设的不足进行了修正,得到新的岩石损伤本构模型;Liu et al.(2018)使用Logistic方程来拟合岩石的损伤过程,并以此建立了岩石损伤本构模型;贾宝新等(2022)提出了基于Hoek-Brown准则的高温岩石损伤本构.上述岩石损伤本构模型与特定环境下的岩石应力—应变曲线相吻合,但是对应力—应变的压密阶段描述略有不足,而含有初始微缺陷的脆性岩石一般有压密阶段.张超等(2020)对两类初始空隙进行分析,建立了考虑初始空隙的岩石损伤本构模型.曹文贵等(2016)考虑空隙压密效应,提出了相应的本构模型.张超等(2021)基于应变等效假设的弹性模量法,构建了岩石损伤本构模型.Cao et al.(2010)通过确定孔隙率来分析空隙和体积变化对岩石行为的影响,然后建立相关的损伤模型.这些学者建立的本构模型考虑到微缺陷会导致岩石产生压密阶段,但忽略了新增微缺陷对脆性岩石应变软化阶段的影响.由此可见,上述学者的研究对于岩石损伤本构模型的发展和进步作出了重要的贡献,提出的岩石损伤本构模型已考虑到微缺陷会导致岩石产生压密阶段,具有很强的针对性,但对于脆性岩石全应力—应变曲线的描述仍有一定局限性.因此,本文针对含有初始微缺陷脆性岩石,重点考虑微缺陷对压密阶段和应变软化阶段的影响,进一步完善脆性岩石全应力—应变过程损伤本构模型. ...
基于残余强度变形阶段特征的岩石变形全过程统计损伤模拟方法
1
2012
... 假设岩石只在轴向发生损伤且满足变形协调条件(曹文贵等,2012),即 ...
岩石破裂过程的统计损伤模拟研究
1
2003
... 国内外学者从多个角度对岩石本构模型进行了研究.如:Chen et al.(2019)对传统统计损伤模型进行修正;Chen et al.(2018)比较了幂函数与Weibull分布函数的统计损伤模型;Gao et al.(2018)提出了考虑热力耦合的本构模型;Miao et al.(2018)建立了水化学环境下的本构模型;Hu et al.(2018)构建了硬岩的非线性本构模型;Huang et al.(2018)建立了弹塑性损伤本构模型;曹文贵等(2003)建立了正态分布损伤本构模型;李海潮等(2017)对应变等价性假设的不足进行了修正,得到新的岩石损伤本构模型;Liu et al.(2018)使用Logistic方程来拟合岩石的损伤过程,并以此建立了岩石损伤本构模型;贾宝新等(2022)提出了基于Hoek-Brown准则的高温岩石损伤本构.上述岩石损伤本构模型与特定环境下的岩石应力—应变曲线相吻合,但是对应力—应变的压密阶段描述略有不足,而含有初始微缺陷的脆性岩石一般有压密阶段.张超等(2020)对两类初始空隙进行分析,建立了考虑初始空隙的岩石损伤本构模型.曹文贵等(2016)考虑空隙压密效应,提出了相应的本构模型.张超等(2021)基于应变等效假设的弹性模量法,构建了岩石损伤本构模型.Cao et al.(2010)通过确定孔隙率来分析空隙和体积变化对岩石行为的影响,然后建立相关的损伤模型.这些学者建立的本构模型考虑到微缺陷会导致岩石产生压密阶段,但忽略了新增微缺陷对脆性岩石应变软化阶段的影响.由此可见,上述学者的研究对于岩石损伤本构模型的发展和进步作出了重要的贡献,提出的岩石损伤本构模型已考虑到微缺陷会导致岩石产生压密阶段,具有很强的针对性,但对于脆性岩石全应力—应变曲线的描述仍有一定局限性.因此,本文针对含有初始微缺陷脆性岩石,重点考虑微缺陷对压密阶段和应变软化阶段的影响,进一步完善脆性岩石全应力—应变过程损伤本构模型. ...
... 国内外学者从多个角度对岩石本构模型进行了研究.如:Chen et al.(2019)对传统统计损伤模型进行修正;Chen et al.(2018)比较了幂函数与Weibull分布函数的统计损伤模型;Gao et al.(2018)提出了考虑热力耦合的本构模型;Miao et al.(2018)建立了水化学环境下的本构模型;Hu et al.(2018)构建了硬岩的非线性本构模型;Huang et al.(2018)建立了弹塑性损伤本构模型;曹文贵等(2003)建立了正态分布损伤本构模型;李海潮等(2017)对应变等价性假设的不足进行了修正,得到新的岩石损伤本构模型;Liu et al.(2018)使用Logistic方程来拟合岩石的损伤过程,并以此建立了岩石损伤本构模型;贾宝新等(2022)提出了基于Hoek-Brown准则的高温岩石损伤本构.上述岩石损伤本构模型与特定环境下的岩石应力—应变曲线相吻合,但是对应力—应变的压密阶段描述略有不足,而含有初始微缺陷的脆性岩石一般有压密阶段.张超等(2020)对两类初始空隙进行分析,建立了考虑初始空隙的岩石损伤本构模型.曹文贵等(2016)考虑空隙压密效应,提出了相应的本构模型.张超等(2021)基于应变等效假设的弹性模量法,构建了岩石损伤本构模型.Cao et al.(2010)通过确定孔隙率来分析空隙和体积变化对岩石行为的影响,然后建立相关的损伤模型.这些学者建立的本构模型考虑到微缺陷会导致岩石产生压密阶段,但忽略了新增微缺陷对脆性岩石应变软化阶段的影响.由此可见,上述学者的研究对于岩石损伤本构模型的发展和进步作出了重要的贡献,提出的岩石损伤本构模型已考虑到微缺陷会导致岩石产生压密阶段,具有很强的针对性,但对于脆性岩石全应力—应变曲线的描述仍有一定局限性.因此,本文针对含有初始微缺陷脆性岩石,重点考虑微缺陷对压密阶段和应变软化阶段的影响,进一步完善脆性岩石全应力—应变过程损伤本构模型. ...
基于修正Lemaitre应变等价性假设的岩石损伤模型
1
2017
... 国内外学者从多个角度对岩石本构模型进行了研究.如:Chen et al.(2019)对传统统计损伤模型进行修正;Chen et al.(2018)比较了幂函数与Weibull分布函数的统计损伤模型;Gao et al.(2018)提出了考虑热力耦合的本构模型;Miao et al.(2018)建立了水化学环境下的本构模型;Hu et al.(2018)构建了硬岩的非线性本构模型;Huang et al.(2018)建立了弹塑性损伤本构模型;曹文贵等(2003)建立了正态分布损伤本构模型;李海潮等(2017)对应变等价性假设的不足进行了修正,得到新的岩石损伤本构模型;Liu et al.(2018)使用Logistic方程来拟合岩石的损伤过程,并以此建立了岩石损伤本构模型;贾宝新等(2022)提出了基于Hoek-Brown准则的高温岩石损伤本构.上述岩石损伤本构模型与特定环境下的岩石应力—应变曲线相吻合,但是对应力—应变的压密阶段描述略有不足,而含有初始微缺陷的脆性岩石一般有压密阶段.张超等(2020)对两类初始空隙进行分析,建立了考虑初始空隙的岩石损伤本构模型.曹文贵等(2016)考虑空隙压密效应,提出了相应的本构模型.张超等(2021)基于应变等效假设的弹性模量法,构建了岩石损伤本构模型.Cao et al.(2010)通过确定孔隙率来分析空隙和体积变化对岩石行为的影响,然后建立相关的损伤模型.这些学者建立的本构模型考虑到微缺陷会导致岩石产生压密阶段,但忽略了新增微缺陷对脆性岩石应变软化阶段的影响.由此可见,上述学者的研究对于岩石损伤本构模型的发展和进步作出了重要的贡献,提出的岩石损伤本构模型已考虑到微缺陷会导致岩石产生压密阶段,具有很强的针对性,但对于脆性岩石全应力—应变曲线的描述仍有一定局限性.因此,本文针对含有初始微缺陷脆性岩石,重点考虑微缺陷对压密阶段和应变软化阶段的影响,进一步完善脆性岩石全应力—应变过程损伤本构模型. ...
... 国内外学者从多个角度对岩石本构模型进行了研究.如:Chen et al.(2019)对传统统计损伤模型进行修正;Chen et al.(2018)比较了幂函数与Weibull分布函数的统计损伤模型;Gao et al.(2018)提出了考虑热力耦合的本构模型;Miao et al.(2018)建立了水化学环境下的本构模型;Hu et al.(2018)构建了硬岩的非线性本构模型;Huang et al.(2018)建立了弹塑性损伤本构模型;曹文贵等(2003)建立了正态分布损伤本构模型;李海潮等(2017)对应变等价性假设的不足进行了修正,得到新的岩石损伤本构模型;Liu et al.(2018)使用Logistic方程来拟合岩石的损伤过程,并以此建立了岩石损伤本构模型;贾宝新等(2022)提出了基于Hoek-Brown准则的高温岩石损伤本构.上述岩石损伤本构模型与特定环境下的岩石应力—应变曲线相吻合,但是对应力—应变的压密阶段描述略有不足,而含有初始微缺陷的脆性岩石一般有压密阶段.张超等(2020)对两类初始空隙进行分析,建立了考虑初始空隙的岩石损伤本构模型.曹文贵等(2016)考虑空隙压密效应,提出了相应的本构模型.张超等(2021)基于应变等效假设的弹性模量法,构建了岩石损伤本构模型.Cao et al.(2010)通过确定孔隙率来分析空隙和体积变化对岩石行为的影响,然后建立相关的损伤模型.这些学者建立的本构模型考虑到微缺陷会导致岩石产生压密阶段,但忽略了新增微缺陷对脆性岩石应变软化阶段的影响.由此可见,上述学者的研究对于岩石损伤本构模型的发展和进步作出了重要的贡献,提出的岩石损伤本构模型已考虑到微缺陷会导致岩石产生压密阶段,具有很强的针对性,但对于脆性岩石全应力—应变曲线的描述仍有一定局限性.因此,本文针对含有初始微缺陷脆性岩石,重点考虑微缺陷对压密阶段和应变软化阶段的影响,进一步完善脆性岩石全应力—应变过程损伤本构模型. ...
岩石类脆性材料损伤演化分析及其模型方法研究
1
2021
... 国内外学者从多个角度对岩石本构模型进行了研究.如:Chen et al.(2019)对传统统计损伤模型进行修正;Chen et al.(2018)比较了幂函数与Weibull分布函数的统计损伤模型;Gao et al.(2018)提出了考虑热力耦合的本构模型;Miao et al.(2018)建立了水化学环境下的本构模型;Hu et al.(2018)构建了硬岩的非线性本构模型;Huang et al.(2018)建立了弹塑性损伤本构模型;曹文贵等(2003)建立了正态分布损伤本构模型;李海潮等(2017)对应变等价性假设的不足进行了修正,得到新的岩石损伤本构模型;Liu et al.(2018)使用Logistic方程来拟合岩石的损伤过程,并以此建立了岩石损伤本构模型;贾宝新等(2022)提出了基于Hoek-Brown准则的高温岩石损伤本构.上述岩石损伤本构模型与特定环境下的岩石应力—应变曲线相吻合,但是对应力—应变的压密阶段描述略有不足,而含有初始微缺陷的脆性岩石一般有压密阶段.张超等(2020)对两类初始空隙进行分析,建立了考虑初始空隙的岩石损伤本构模型.曹文贵等(2016)考虑空隙压密效应,提出了相应的本构模型.张超等(2021)基于应变等效假设的弹性模量法,构建了岩石损伤本构模型.Cao et al.(2010)通过确定孔隙率来分析空隙和体积变化对岩石行为的影响,然后建立相关的损伤模型.这些学者建立的本构模型考虑到微缺陷会导致岩石产生压密阶段,但忽略了新增微缺陷对脆性岩石应变软化阶段的影响.由此可见,上述学者的研究对于岩石损伤本构模型的发展和进步作出了重要的贡献,提出的岩石损伤本构模型已考虑到微缺陷会导致岩石产生压密阶段,具有很强的针对性,但对于脆性岩石全应力—应变曲线的描述仍有一定局限性.因此,本文针对含有初始微缺陷脆性岩石,重点考虑微缺陷对压密阶段和应变软化阶段的影响,进一步完善脆性岩石全应力—应变过程损伤本构模型. ...