考虑岩石微缺陷影响的损伤本构模型 |
| 刘志祥,晏孟洋,张双侠,熊帅,王凯 |
|
Damage Constitutive Model Considering the Effect of Rock Microdefects |
| Zhixiang LIU,Mengyang YAN,Shuangxia ZHANG,Shuai XIONG,Kai WANG |
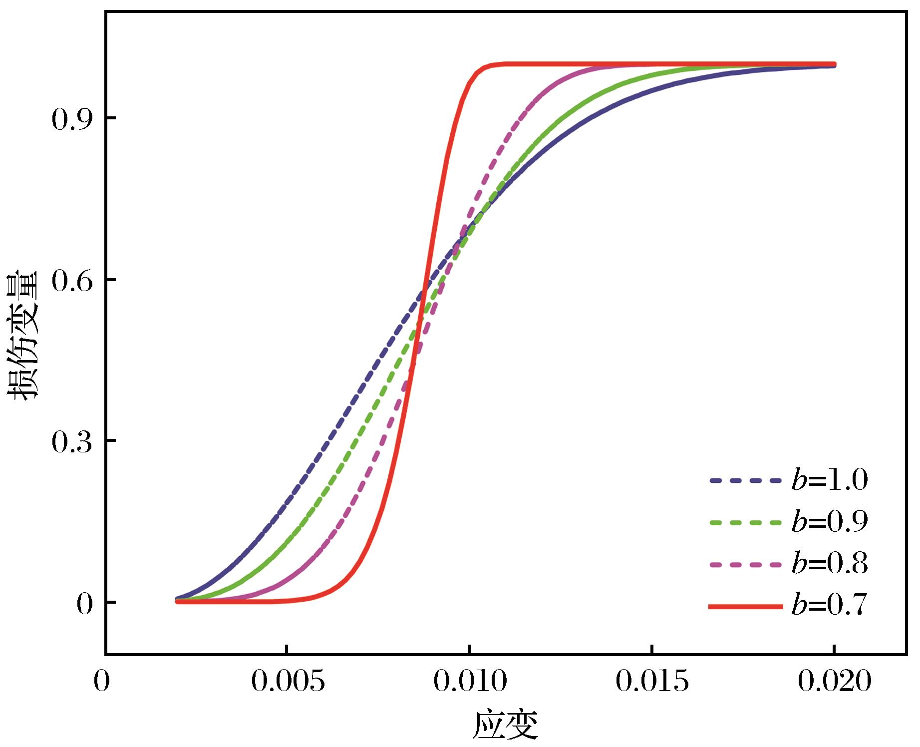
| 图9 σ3=3 MPa时不同b值下砂岩损伤演化 |
| Fig.9 Sandstone damage evolution for σ3=3 MPa and different b values |
|