中国绿色矿山建设政策量化评价——基于PMC指数模型的分析
1.
2.
Quantitative Evaluation of China’s Green Mine Construction Policies—Analysis Based on PMC Index Model
1.
2.
通讯作者:
收稿日期: 2022-09-30 修回日期: 2022-12-10
| 基金资助: |
|
Received: 2022-09-30 Revised: 2022-12-10
作者简介 About authors
徐水太(1978-),男,江西贵溪人,博士,副教授,从事资源经济管理与可持续发展等研究工作
关键词:
Keywords:
本文引用格式
徐水太, 袁北飞, 胡恒祺, 陈丽.
XU Shuitai, YUAN Beifei, HU Hengqi, CHEN Li.
矿业为经济建设提供了重要的物质基础,对促进经济发展起到重要支撑作用。据统计,我国95%以上的资源直接来自于矿产资源,80%的工业原材料以及75%以上的农业生产资料与矿产相关。然而,长期的掠夺式开采造成矿山生态环境的严重破坏,导致植被破坏、地表裸露、土地损毁和水土流失等一系列生态环境问题(周智勇等,2018;唐钰,2022)。随着我国经济实力的增强和人们生态环境保护意识的提升,中央和各级地方政府越来越关注绿色矿山建设。为解决历史遗留的“旧账”未还和“新账”又欠的现实矛盾与问题,中央和地方政府陆续出台绿色矿山建设政策,旨在全面推进生态文明建设,树立绿色发展理念,践行习近平总书记提出的“绿水青山就是金山银山”的重要思想。
政策建模一致性指数模型(Policy Modeling Consistency,PMC)通过运用多样的理论、模型与技术,对政府发布政策的背景或效果进行科学评估。起初的政策建模以“假设所有条件均相同”作为主旨思想。2011年,Estrada(2011)提出著名的“Omnia Mobilis假设”,认为世界万物均是运动并存在紧密联系,在此基础上对PMC模型进行完善,强调模型应全面考虑相关变量,不能忽视事物发展过程中的任何一个变量。PMC指数模型可通过多种维度设置不同的变量对政策的优缺点进行分析(张永安等,2018),使政策改进更具有针对性和可操作性,目前已在房地产(董纪昌等,2020)、科技创新(秦海波等,2021)和老旧小区改造(徐水太等,2022)等政策制定中得到广泛运用。但PMC指数在矿山资源与环境管理领域的应用较少,在绿色矿山建设评估方面的应用更是鲜有报道。
基于此,本研究聚焦中央和地方政府的绿色矿山建设政策,建立我国绿色矿山建设政策的量化评价指标体系,选取39项中央和各级地方政府绿色矿山建设政策进行量化评价和对比分析,以期为绿色矿山建设政策的制定和优化提供科学依据和参考。
1 绿色矿山建设政策的PMC指数模型构建
PMC指数模型的优点在于对评价指标的设置无限制,可以根据评价政策的相关特点增设指标,从而使评价结果更全面。PMC指数模型作为政策量化评价的方法,其指数高低主要依据各指标内容的覆盖程度与指标之间的一致性,如待评价政策内容方面涉及相同,但在政策评价的同一维度下,指标越多、一致性越高,则政策得分往往更高。同时,PMC指数模型认为所有指标对政策制定具有等效作用,因此各指标均赋予相同的权重,从而减少了评价的主观性。
PMC指数模型构建过程分为4个步骤:(1)变量分类与参数识别;(2)建立多投入产出表;(3)PMC指数计算;(4)绘制PMC曲面图。考虑到PMC指数模型的评价指标往往包括多个一级、二级指标,这将导致三维曲面相互遮拦,使得单一指标读取信息困难,故本研究借鉴卢照地等(2021)的建议,采用条形统计图实现评价结果的可视化,通过一幅图展现多项政策的评价结果,便于各政策之间的对比分析。
1.1 变量确定
“绿色矿山”概念最早出现在浙江省2005年发布的《关于开展创建省级绿色矿山试点工作的通知》,此后随着绿色发展理念的深入,各地政府陆续出台绿色矿山建设政策,使得绿色矿山建设政策朝着标准化和规范化迈进(张雅丽等,2018)。因此,本研究选择2005—2021年发布的绿色矿山建设政策作为样本。样本来源于中国政府网、自然资源部、工业和信息化部以及北大法宝等官方网站。
首先,以“绿色矿山”“矿山生态修复”“矿山环境治理”“和谐矿山”“矿山信息化”等作为绿色矿山建设检索词进行检索,初步汇总得到政策文本217份;其次,通过人工判读217份政策文本内容,剔除复函与转发通知等无关的文件,最终筛选得到绿色矿山建设政策文件193份;然后,将193份政策文本导入文本挖掘数据库中进行分词处理,过滤掉“加强”“专项”“严格”等无实际意义的词语,并自定义添加“智能矿山”“生态文明”“土地复垦”和“节能减排”等专业术语,以及合并“矿区”和“矿业”、“监督”和“督查”等意思相近的词语;最后,借鉴Donohue(1973)提出的高—低频词界定频率阈值,选择词频大于5的主题词作为政策文本分析的对象,得到28个基本涵盖绿色矿山建设相关政策内容的高频词(表1)。高频词反映出绿色矿山建设政策的内容主要包括生态环境、煤炭、监督和旅游等。
表1 政策高频主题词频次数据
Table 1
| 序号 | 主题词 | 频次/次 | 序号 | 主题词 | 频次/次 |
|---|---|---|---|---|---|
| 1 | 建设 | 18 196 | 15 | 循环经济 | 1 573 |
| 2 | 绿色矿山 | 12 766 | 16 | 绿色发展 | 1 508 |
| 3 | 资源 | 12 507 | 17 | 信息化 | 1 503 |
| 4 | 矿区环境 | 11 030 | 18 | 土地复垦 | 1 251 |
| 5 | 政府 | 6 695 | 19 | 财政 | 839 |
| 6 | 恢复治理 | 4 655 | 20 | 居民 | 768 |
| 7 | 节能减排 | 4 406 | 21 | 科技创新 | 714 |
| 8 | 监督 | 2 913 | 22 | 第三方评估 | 361 |
| 9 | 开采方式 | 2 728 | 23 | 智能化 | 287 |
| 10 | 安全 | 2 464 | 24 | 规范管理 | 260 |
| 11 | 旅游 | 2 079 | 25 | 依法办矿 | 248 |
| 12 | 环境保护 | 1 977 | 26 | 地方 | 241 |
| 13 | 企业 | 1 676 | 27 | 专项资金 | 221 |
| 14 | 固废 | 1 599 | 28 | 社区和谐 | 187 |
将统计的28个关键词导入ROST Content Mining软件,形成关键词共线矩阵,运用Gephi软件的Netdraw Mapping功能绘制我国绿色矿山建设政策的可视化共现网络图(图1),深入分析政策主题词之间的关系。
图1
图1
绿色矿山建设政策高频主题词共现网络
Fig.1
Co-occurrence network of high-frequency theme word of green mine construction policy
如图1所示,各个主题词形成了我国绿色矿山政策的整体网络。其中,各节点代表主题关键词,节点越大表明主题词的频率越高;线条的粗细反映主题关键词的关系强度;节点的位置代表节点在网络中的重要程度,处在中心位置的关键词更为重要。图1中整个节点的连接较为密集,说明整个网络比较集中,各主体词的关联度较高。即“资源”、“矿山”、“建设”,位于网络中央,是相关政策设计主体。“生态环境”、“循环经济”、“监督”和“财政”位于网络的核心,表明对绿色矿山建设政策具有重大影响。政府应加强对生态环境的保护力度,落实矿山监督、财政供给等措施,建立科学合理的管理体系,推进绿色矿山建设。“土地复垦”、“安全”、“生态文明”、“综合治理”和“信息化”等节点规模相对较小,处于整个网络的边缘,表明我国绿色矿山建设政策在这些方面相对缺乏和薄弱。
为了全面、客观、科学地反映绿色矿山建设政策,参考现有研究对变量的设置,设置调控范围(X1)、政策领域(X3)、政策评估(X4)和政策时效(X9)等一级指标,再结合绿色矿山建设政策文本分析,设置对应的二级指标。根据词频统计和政策主题词共现网络特征,设置政策对象(X2)、政策内容(X5)和政策功能(X7)等一级指标以及对应的二级指标。例如,根据图谱中出现的“政府”、“企业”、“居民”等词,设置政策对象(X2)为一级指标。其中,效力级别(X8)是基于政策文本分析归类并进行划分的。最终,构建包括9个一级指标和45个二级指标的绿色矿山建设政策量化评价框架,具体见表2。
表2 绿色矿山建设政策量化评价框架
Table 2
| 一级指标 | 二级指标 | 参考依据 |
|---|---|---|
| 调控范围(X1) | 国家(X11)、省(X12)、市(X13)、县(X14) | |
| 政策对象(X2) | 政府(X21)、企业(X22)、居民(X23)、第三方评估机构(X24) | 词频统计 |
| 政策领域(X3) | 经济(X31)、社会(X32)、政治(X33)、科技(X34)、管理(X35)、环境(X36) | 董纪昌等(2020) |
| 政策评估(X4) | 依据充分(X41)、目标明确(X42)、方案科学(X43)、规划详实(X44) | |
| 政策内容(X5) | 依法办矿(X51)、规范管理(X52)、综合利用(X53)、技术创新(X54)、节能减排(X55)、环境保护(X56)、土地复垦(X57)、社区和谐(X58)、企业文化(X59) | 社会共现网络和词频统计 |
| 政策性质(X6) | 标准(X61)、监管(X62)、指导(X63)、规范(X64)、试行(X65)、建议(X66) | 刘亭立等(2018) |
| 政策功能(X7) | 循环经济(X71)、生态修复(X72)、旅游(X73)、企业诚信(X74)、经济效益(X75) | 社会共现网络和文本分析 |
| 效力级别(X8) | 法律法规(X81)、行政法规(X82)、部门规章(X83)、地方规范性文件(X84)、地方工作文件(X85) | 文本分析 |
| 政策时效(X9) | 长期(>5年)(X91)、中期(3~5年)(X92)、短期(≤3年)(X93) | 吴卫红等(2020) |
其中,调控范围(X1)在一定程度上反映出各部门的协调与合作性;政策对象(X2 )是对政治民主性和公正性的重要测度方式;政策领域(X3)和政策内容(X5)是衡量政策全面性的关键指标;政策评估(X4)和政策性质(X6)从文本内容的翔实性进行评价;政策功能(X7)是政策作用效果的充分体现;效力级别(X8)是政策行政效力的体现;政策时效(X9)是对政策的规划方面进行评估。
1.2 多投入产出表的建立
多投入产出表是一种存储大量数据的分析框架,能够多维度衡量任何单一变量。为确保每个一级、二级指标同等重要性,需将所有指标设置为同等权重,因此对政策变量采取二进制处理。具体操作如下:若绿色矿山建设政策文本中包含二级指标所涉及内容,则该变量的参数赋值为1,反之为0 (表3)。
表3 多投入产出表
Table 3
| 一级指标 | X1 | X2 | X3 | X4 | X5 | X6 | X7 | X8 | X9 |
|---|---|---|---|---|---|---|---|---|---|
| 二级指标 | X11 | X21 | X31 | X41 | X51 | X61 | X71 | X81 | X91 |
| X12 | X22 | X32 | X42 | X52 | X62 | X72 | X82 | X92 | |
| X13 | X23 | X33 | X43 | X53 | X63 | X73 | X83 | X93 | |
| X14 | X24 | X34 | X44 | X54 | X64 | X74 | X84 | ||
| X35 | X55 | X65 | X75 | X85 | |||||
| X36 | X56 | X66 | |||||||
| X57 | |||||||||
| X58 | |||||||||
| X59 |
1.3 PMC指数计算及等级划分
PMC指数计算通常包括以下4个步骤:首先,将绿色矿山建设政策PMC指数模型的9个一级指标和45个二级指标置入多投入产出表中;其次,通过文本挖掘方法,按照
式中:
选取的一级指标共9个,参考Estrada(2011)的评分标准,PMC指数取值为0~9,对PMC指数进行等级划分,结果见表4。
2 绿色矿山建设政策的实证分析
2.1 绿色矿山建设政策文本选取
本研究对绿色矿山建设政策文本进行量化评价的目的有2个:一是对构建的PMC指数模型的适用性进行验证评价;二是基于引导性原则,对现有绿色矿山建设政策文本进行评价分析,明晰其内部结构与潜在不足,为绿色矿山建设政策的优化提供参考。基于此,扩大PMC指数模型在绿色矿山建设政策的适用性,同时对现有政策进行深入分析,具体包含13项中央层面政策和180项地方层面绿色矿山建设政策(图2)。
图2
图2
2005—2021年我国绿色矿山建设政策发布数量统计
Fig.2
Statistics of the release number of China’s green mine construction policy from 2005 to 2021
本研究分别从中央和地方层面进行分类。针对中央政策文本,选取13项中央层面政策文本进行评价;针对地方层面政策文本,考虑数据可得性、政策内容代表性和规范性文件优先等原则,未将中国台湾、香港、澳门、上海、天津、海南、云南和西藏纳入分析,其余26个省、自治区或直辖市各选取1项绿色矿山建设政策。中央和地方层面政策分别标记为POL1~POL39,具体见表5。
表5 待评价绿色矿山建设政策(节选)
Table 5
| 编号 | 政策文本名称 | 发文号 | 时效性 |
|---|---|---|---|
| POL1 | 《国土资源部办公厅关于做好第四批国家级绿色矿山试点建设规划编制工作的函》 | 国土资函〔2014〕713号 | 现行有效 |
| POL2 | 《自然资源部矿产资源保护监督司关于印发〈绿色矿山评价指标〉和〈绿色矿山遴选第三方评估工作要求〉的函》 | 自然资矿保函〔2020〕28号 | 现行有效 |
| POL3 | 《国土资源部关于贯彻落实全国矿产资源规划发展绿色矿业建设绿色矿山工作的指导意见》 | 国土资发〔2010〕119号 | 现行有效 |
| … | … | … | … |
| POL19 | 《河南省人民政府关于印发河南省生态建设规划纲要的通知》 | 豫政〔2013〕3号 | 现行有效 |
| POL20 | 《湖北省自然资源厅关于印发〈湖北省绿色矿山建设三年行动方案(2021—2023年)〉的通知》 | 鄂自然资函〔2021〕81号 | 现行有效 |
| … | … | … | … |
| POL38 | 伊通满族自治县人民政府办公室关于创建绿色矿山加强矿山地质环境恢复治理工作的通知》 | 伊政办发〔2011〕25号 | 现行有效 |
| POL39 | 《本溪市绿色矿山建设条例》 | 本溪市人民代表大会常务委员会公告〔16届〕第15号 | 现行有效 |
表6 绿色矿山建设政策的PMC指数(节选)
Table 6
| 一级指标 | POL1 | POL2 | POL3 | … | POL19 | POL20 | … | POL38 | POL39 | 平均分 |
|---|---|---|---|---|---|---|---|---|---|---|
| PMC指数 | 5.89 | 6.05 | 6.42 | 5.24 | 5.93 | 4.58 | 4.89 | 5.45 | ||
| 调控范围(X1) | 0.75 | 0.50 | 0.50 | 0.50 | 0.50 | 0.25 | 0.50 | 0.53 | ||
| 政策对象(X2) | 0.50 | 1.00 | 0.75 | 0.75 | 0.75 | 0.50 | 0.25 | 0.67 | ||
| 政策领域(X3) | 0.67 | 0.83 | 0.83 | 0.67 | 0.67 | 0.33 | 0.67 | 0.64 | ||
| 政策评估(X4) | 1.00 | 1.00 | 1.00 | 1.00 | 1.00 | 1.00 | 1.00 | 1.00 | ||
| 政策内容(X5) | 1.00 | 0.89 | 1.00 | 0.78 | 0.67 | 0.56 | 0.67 | 0.64 | ||
| 政策性质(X6) | 0.50 | 0.50 | 0.67 | 0.67 | 0.67 | 0.67 | 0.67 | 0.66 | ||
| 政策功能(X7) | 0.20 | 0.40 | 0.40 | 0.00 | 0.60 | 0.20 | 0.40 | 0.36 | ||
| 效力级别(X8) | 0.60 | 0.60 | 0.60 | 0.20 | 0.40 | 0.40 | 0.40 | 0.45 | ||
| 政策时效(X9) | 0.67 | 0.33 | 0.67 | 0.67 | 0.67 | 0.67 | 0.33 | 0.53 |
因此,本研究从区域差异视角进行分析。按照地理位置相邻、生态条件与社会发展水平相结合的原则,将我国划分为东部(山东、北京、福建、广东、河北、江苏、浙江)、中部(江西、湖南、安徽、河南、湖北、山西)、西部(甘肃、广西、贵州、内蒙古、宁夏、青海、陕西、四川、新疆、重庆)和东北(黑龙江、吉林、辽宁)四大地区,对绿色矿山建设政策的评价结果进行研究。
2.2 整体政策评价情况
通过分析39项绿色矿山建设政策的PMC指数(表6)可知,PMC指数可划分为2个等级,分别为优秀和可接受级别。处于优秀级别的绿色矿山建设政策有POL2、POL3、POL6、POL9、POL10、POL11、POL17和POL35,共8项,其中,6项为中央政策,2项为地方(河南和新疆)政策。PMC指数平均值为5.45,整体级别处于可接受水平,其中,POL9的PMC指数最高(6.62),该政策为自然资源部等六部委联合颁布的《关于加快建设绿色矿山的实施意见》,说明其针对性和科学合理性较强;POL8的PMC指数最低(4.21),该政策为自然资源部联合生态环境部发布的《关于加快推进露天矿山综合整治工作实施意见》,是在《国务院关于印发打赢蓝天保卫战三年行动计划》(国发〔2018〕22号)要求背景下,保证整治工作在2020年顺利完成实施的,体现出政策的一般适用性和短期性。
通过观察分析一级指标得分情况可知,调控范围(X1)的平均值为0.53,表明参与绿色矿山建设政策的调控范围有限,以自然资源部为主;政策对象(X2)的平均值达到0.67,说明绿色矿山建设目标明确,涉及主体较广,主要包括政府、企业、第三方评估和居民;政策领域(X3)和政策内容(X5)的平均值均为0.64,说明绿色矿山建设政策涉及领域有待优化,考虑的内容普遍缺乏关于节能减排、社区和谐和企业文化方面的内容;政策功能(X7)的平均值为0.36,表明绿色矿山建设政策在循环经济和经济效益方面有较大提升,同时通过兼顾旅游、生态修复来实现绿色矿山政策目标,但关于企业诚信方面有待进一步改善。
2.3 中央级别的绿色矿山建设政策分析
中央层面政策在合理性和科学性方面表现较好,但在某些方面仍存在改进空间(图3)。首先,从调控范围来看,发布的13项政策中有9项政策得分低于均值,表明绿色矿山建设的多部门工作联动性不足,互通性较弱。其次,从政策对象来看,有5项政策得分低于均值,表明中央层面的政策具有战略性和整体性,所以政策对象呈现以政府和企业为主,居民和第三方评估机构为辅的特点。再次,政策领域和政策内容的得分均值处于较高水平,表明我国中央层面在制定绿色矿山建设政策时考虑的内容较为全面,涉及的领域较为广泛,但在企业文化及社区和谐方面的关注仍有所不足。最后,政策功能得分较低,13项中央政策有11项得分低于均值,表明政策执行方面没有得到充分调动,实施效果不佳,具体而言,在资源可持续利用方面需要引起重视,旅游开发水平有待提高。
图3
图3
中央层面绿色矿山建设政策的PMC指数得分
Fig.3
PMC index score of green mine construction policies at the central level
2.4 中部地区的绿色矿山建设政策分析
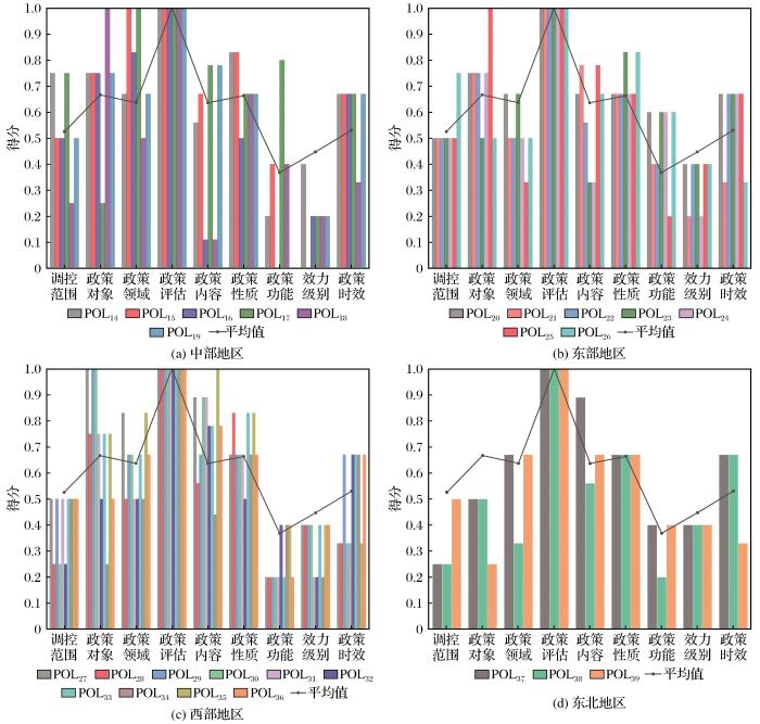
中部地区6项政策的PMC指数差异较大,最低为4.46,最高为6.12,在所有政策样本中得分处于中等偏下水平(5.33)。造成PMC指数偏低的主要原因是政策内容(X5)和效力级别(X8)的得分偏低。中部地区政策多为地方规范性文件与地方性工作文件,效力级别得分较低,如图4(a)所示。
图4
图4
各地区绿色矿山建设政策的PMC指数得分
Fig.4
PMC index score of green mine construction policies in various region
结合文本分析,发现中部地区对环境保护和技术创新等内容较为关注,同时重视规范社会服务工作和制度规划,营造社区和谐的氛围。但是在依法办矿和规范管理等方面缺少明确的规定和标准约束。表明中部地区在绿色矿山环境保护、科技和社会服务等政策的上传下达程度较好,但是绿色矿山建设仍存在环境污染、邻避冲突和开采技术水平低等问题。
2.5 东部地区的绿色矿山建设政策分析
东部的10省市科技发达,综合实力位居我国前列。其中,山东、河北等省份矿产资源丰富,绿色矿山建设政策制定较完善,因此PMC指数也相对较高,得分在5.13~5.93之间,均为可接受水平,在政策性质(X6)和政策时效(X9)方面表现良好,得分总体高于平均水平,但在调控范围(X1)、政策领域(X3)和政策功能(X7)上仍有较大提升空间,如图4(b)所示。
首先,与中央层面政策一样,东部地区政策调控范围也存在不足,政策未完全覆盖到县级以下部门,各部门间的联动性较差,互通性不足。其次,政策领域涉及面有所欠缺,仅有2项政策得分高于平均值,大部分政策只涉及到社会、科技和环境等领域,对经济、政治和管理等领域鲜有提及,尤其是政治领域,所选政策中仅有1项政策考虑了政治领域。此外,在政策功能方面,东部地区省份贯彻“绿水青山就是金山银山”的理念更为领先,秉持高质量发展原则,在循环经济和生态修复方面特别重视,环境保护意识明显提升,但在旅游和企业诚信方面有所缺失,旅游业未能得到充分开发,导致经济效益未能得到体现。在政策内容方面,东部地区更重视节能减排与环境保护,对于社区和谐与企业管理相关内容提及较少。
2.6 西部地区的绿色矿山建设政策分析
西部地区绿色矿山建设政策PMC指数得分范围在4.63~6.04之间,可接受和优秀的政策数量分别为9项和1项,如图4(c)所示。由图4(c)可知,西部地区与其他地区的绿色矿山建设政策存在的共性问题包括政策调控范围较少、政策功能不全面,但在政策对象(X2)和政策内容(X5)上表现较好。近年来,绿色矿山建设一直被视为生态文明建设的重要组成部分,2018年自然资源部颁布的《绿色矿山建设规范》,对绿色矿山的定义、内容和对象等方面作出了较为完整的阐述。结合文本分析和政策颁布时间来看,西部地区多数省份的绿色矿山建设政策在2018—2020年颁布。因此,西部地区在政策对象和政策内容方面的得分相对较高,对社区和谐以及企业文化等内容进行考量,政策对象也充分关注了居民与第三方评估机构,最大程度地实现了民主性与公正性。
2.7 东北地区的绿色矿山建设政策分析
东北地区绿色矿山政策的PMC指数分别为4.58、4.89和5.45,在所有政策样本中得分处于中等偏下水平,如图4(d)所示。造成PMC指数偏低的主要变量是政策领域(X3)和政策功能(X7)。通过文本分析发现,该地区绿色矿山建设政策对经济与政治的关注度有所欠缺,在循环经济和企业诚信方面也缺乏关注。造成这种现象的原因主要有以下2个:第一,标准体系不健全,政府层面缺少整体规划,未能制定规范的奖惩措施和引导评价,准入和退出机制尚不完善,难以发挥刚性约束;第二,发展格局不协调,东北地区经济与科技一直位于全国各省份中下游,企业的认知不足,对绿色矿山建设的诸多内涵未能全面落实,缺乏长期规划,未将绿色矿山建设作为企业规划的重要目标。
3 讨论
根据绿色矿山建设政策的量化分析结果,当前政策制定中有待改善的内容,主要包括以下6个方面:
(1)政策调控范围的数量多寡在一定程度上反映该项工作受关注的程度以及各部门协同的程度。由于目前绿色矿山建设政策的调控范围局限于自然资源相关政府部门,容易造成政策仅在部门内部传达,难以对人力、物力和财力等资源的最优利用进行调控,后续相关政策应加强政策制定机构之间的协同,实现资源的最大化利用。
(2)随着绿色矿山建设的多元化发展,信息化和数字化技术的不断创新,目前绿色矿山建设的技术和设备已经相对成熟,但未能形成完整的产业链。在此背景下,全产业链主体的积极性不足,主要原因在于绿色矿山建设全寿命周期的制度要求不明确、宣传力度不足,导致绿色矿山建设工作难以推进。
(3)对企业责任和义务的界定不清晰,不利于建设和谐矿区与承担社会责任,相应地降低了政策的执行效率以及居民参与矿山建设的积极性。
(4)随着绿色矿山建设的市场化模式日益多元化,如何调动社会资本参与成为关键。良好的激励措施,包括企业融资和技术支持等,对于调动矿山企业积极性的重要性日益凸显。
(5)在绿色矿山建设方面,我国在宣传教育和人才培养方面仍有缺失,导致人们对绿色矿山的认识普遍不足。在此背景下,如果政府能够加大绿色矿山基础性设施投入,加大人才培养力度以及提高绿色矿山重要性的科学普及,将会加快绿色矿山建设的进程。
(6)我国主要以“地方规范性”和“工作性”等类型政策文件对绿色矿山建设工作进行引导与监管,缺乏相关法律法规的约束,法律制度方面的不健全成为影响我国建设绿色矿山战略规划的重要因素。当前绿色矿山建设工作已全面推广,将地方政府建设经验进行汇总,结合绿色矿山建设的发展路径,在充分考虑绿色可持续发展的基础上,构建相应的法律规范显得非常重要,可为未来制定绿色矿山政策提供参考。
4 结论
通过社会网络分析和文本挖掘,对2005—2021年我国193项绿色矿山建设政策进行分析,建立了包含9项一级指标和45项二级指标的政策指标体系,并运用PMC指数模型对39项绿色矿山建设政策进行量化评价与对比分析,得到如下结论:
(1)我国绿色矿山建设政策总体合理。整体来看,39项绿色矿山建设政策较为合理,评价等级均处于可接受水平之上,中央层面PMC指数得分普遍大于地方层面,反映出我国十分重视绿色矿山建设的顶层设计。
(2)我国绿色矿山建设政策仍有较大提升空间。中央和地方层面在政策制定上存在的问题包括:①调控范围和执行机构较少,各部门之间的互动性不强,不利于工作的协调推进;②政策领域和政策内容均缺乏经济指标考量,矿山企业循环经济执行效率低;③政策功能方面有待加强,中央和地方政策对旅游指标的关注不足,不利于提高经济效益;④政策缺乏整体布局与规划,相关政策多为中期政策,长期绿色矿山建设政策偏少;⑤激励模式欠缺,难以激发各参与主体的积极性;⑥绿色矿山建设政策的效力级别较低,暂未出现对绿色矿山建设进行约束的权威性法律法规文件,建议中央在大力推进生态文明建设的同时,适时出台绿色矿山建设法,为早日实现美丽中国目标助力。
(3)区域间绿色矿山建设政策存在异质性。中部地区缺乏完整的监督体系,对规范与标准的界定尚不明确,东北地区的约束性不足,东部地区与西部地区政策领域的涉及面有待提高。
(4)研究展望。通过文本挖掘和社会网络分析对不同效力级别和不同地区的绿色矿山建设管理政策进行量化评价,相比专家打分法,本文方法涉及的指标广泛且评价更客观。然而,本研究也存在不足,主要体现为:在绿色矿山建设政策实施评价方面,目前的研究仅通过政策文本内容深入挖掘尚不能对绿色矿山建设政策的效能推进进行全面分析。因此,后续研究可以针对政策的实施效果开展相应的实证研究,进行补充验证,以便验证政策的实施效果,以期更好地完善绿色矿山建设的政策制定和推广。
http://www.goldsci.ac.cn/article/2023/1005-2518/1005-2518-2023-31-2-271.shtml
参考文献
Research on quantitative evaluation of single real estate policy based on PMC index model—Taking China’s housing rental policy since the 13th five-year plan as an example
[J].
Policy modeling:Definition,classification and evaluation
[J].
An analysis of the hotspot and frontier of mine eco-environment restoration based on big data visualization of VOSviewer and CiteSpace
[J].
Characteristics and implementation effects of local standards for green mine construction in Anhui Province
[J].
Quantitative evaluation of China’s cultivated land protection policies based on the PMC-Index model
[J].
Upgrading and reshaping of mine geological restoration model in the new era:Conceptual analysis based on “geological restoration 3.0
”[J].
Current situation and case analysis of green mine construction in China
[J].
Quantitative evaluation innovation policies and path selection of the Chinese green energy industry
[J].
Study on evaluation index system of green mine construction based on high quality development perspective
[J].
Quantitative evaluation of rural residential land management policies based on PMC-index model
[J].
Present situation and countermeasures of mining economic development and ecological protection in China
[J].
Research on quantitative evaluation of Xinjiang regional innovation policies
[J].
Analysis on transformation and the imbalance of regional development of mining green in China
[J].
Influencing factors and performance evaluation of green mining in Hubei Province
[J].
Quantitative evaluation of manufacturing innovation policy based on feature analysis
[J].
Quantitative evaluation of China’s old community renovation policy based on policy modeling consistency index model
[J].
The problems and solution of the construction of green mine in the new normal
[J].
Development countermeasures of mining enterprises in the new normal
[J].
Evaluation and analysis of new-energy vehicle industry policies in the context of technical innovation in China
[J].
Policies,challenges and suggestions of green mine construction in China
[J].
Evaluation and comparative analysis on the local ride-hailing policy
[J].
Prediction model of mine ecological environment based on PCA and GM(1,1)
[J].
基于PMC指数模型的单项房地产政策量化评价研究——以我国“十三五”以来住房租赁政策为例
[J].
矿山生态环境修复研究热点与前沿分析——基于VOSviewer和CiteSpace的大数据可视化研究
[J].
安徽省绿色矿山建设地方标准的特点与实施效果
[J].
新时代矿山地质修复模式的升级与重塑:基于“地质修复3.0”的概念分析
[J].
我国绿色矿山建设现状及案例分析
[J].
绿色能源产业创新政策的量化评价与优化路径探究
[J].
基于高质量发展视角的绿色矿山建设评价指标体系研究
[J].
基于政策建模一致性指数模型的宅基地管理政策量化评价
[J].
我国矿业经济发展与生态保护现状及对策建议
[J].
新疆区域创新政策量化评价研究
[J].
中国矿山绿色转型与区域发展不平衡性问题分析
[J].
湖北省绿色矿山建设影响因素及其效果分析
[J].
基于特征分析的制造业创新政策量化评价
[J].
基于PMC指数模型的我国老旧小区政策量化评价
[J].
新常态下我国绿色矿山建设面临问题与解决途径
[J].
新常态下矿山企业发展对策
[J].
中国绿色矿山建设政策、挑战及建议
[J].
各地网约车政策评价与比较分析
[J].
基于PCA和GM(1,1)的矿山生态环境预测模型
[J].
/
| 〈 |
|
〉 |


甘公网安备 62010202000672号