中国绿色矿山建设政策量化评价——基于PMC指数模型的分析

徐水太,袁北飞,胡恒祺,陈丽

黄金科学技术 ›› 2023, Vol. 31 ›› Issue (2) : 271-281.

PDF(3749 KB)
ISSN 1005-2518
CN 62-1112/TF
PDF(3749 KB)
黄金科学技术 ›› 2023, Vol. 31 ›› Issue (2) : 271-281. DOI: 10.11872/j.issn.1005-2518.2023.02.133
采选技术与矿山管理

中国绿色矿山建设政策量化评价——基于PMC指数模型的分析

    {{javascript:window.custom_author_cn_index=0;}}
  • {{article.zuoZhe_CN}}
作者信息 +

Quantitative Evaluation of China’s Green Mine Construction Policies—Analysis Based on PMC Index Model

    {{javascript:window.custom_author_en_index=0;}}
  • {{article.zuoZhe_EN}}
Author information +
文章历史 +

本文亮点

{{article.keyPoints_cn}}

HeighLight

{{article.keyPoints_en}}

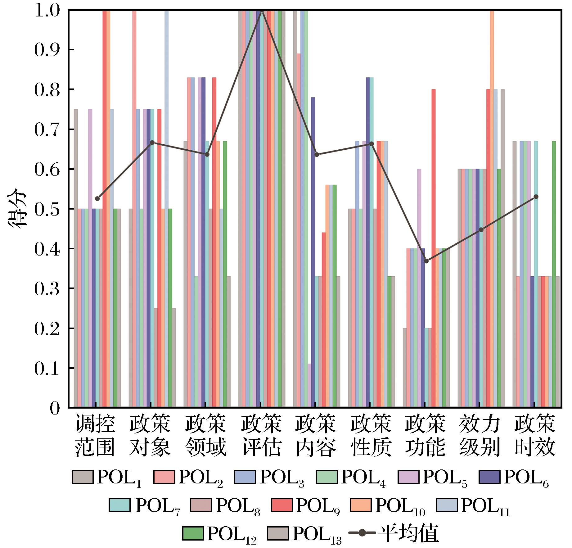
摘要

{{article.zhaiyao_cn}}

Abstract

{{article.zhaiyao_en}}

关键词

Key words

本文二维码

引用本文

导出引用
{{article.zuoZheCn_L}}. {{article.title_cn}}[J]. {{journal.qiKanMingCheng_CN}}, 2023, 31(2): 271-281 https://doi.org/10.11872/j.issn.1005-2518.2023.02.133
{{article.zuoZheEn_L}}. {{article.title_en}}[J]. {{journal.qiKanMingCheng_EN}}, 2023, 31(2): 271-281 https://doi.org/10.11872/j.issn.1005-2518.2023.02.133
中图分类号:

参考文献

参考文献

{{article.reference}}

基金


编委:
主编:
责任编辑:
编辑:

版权

{{article.copyrightStatement_cn}}
{{article.copyrightLicense_cn}}
PDF(3749 KB)

Accesses

Citation

Detail

段落导航
相关文章

/