中国绿色矿山建设政策量化评价——基于PMC指数模型的分析 |
| 徐水太,袁北飞,胡恒祺,陈丽 |
|
Quantitative Evaluation of China’s Green Mine Construction Policies—Analysis Based on PMC Index Model |
| Shuitai XU,Beifei YUAN,Hengqi HU,Li CHEN |
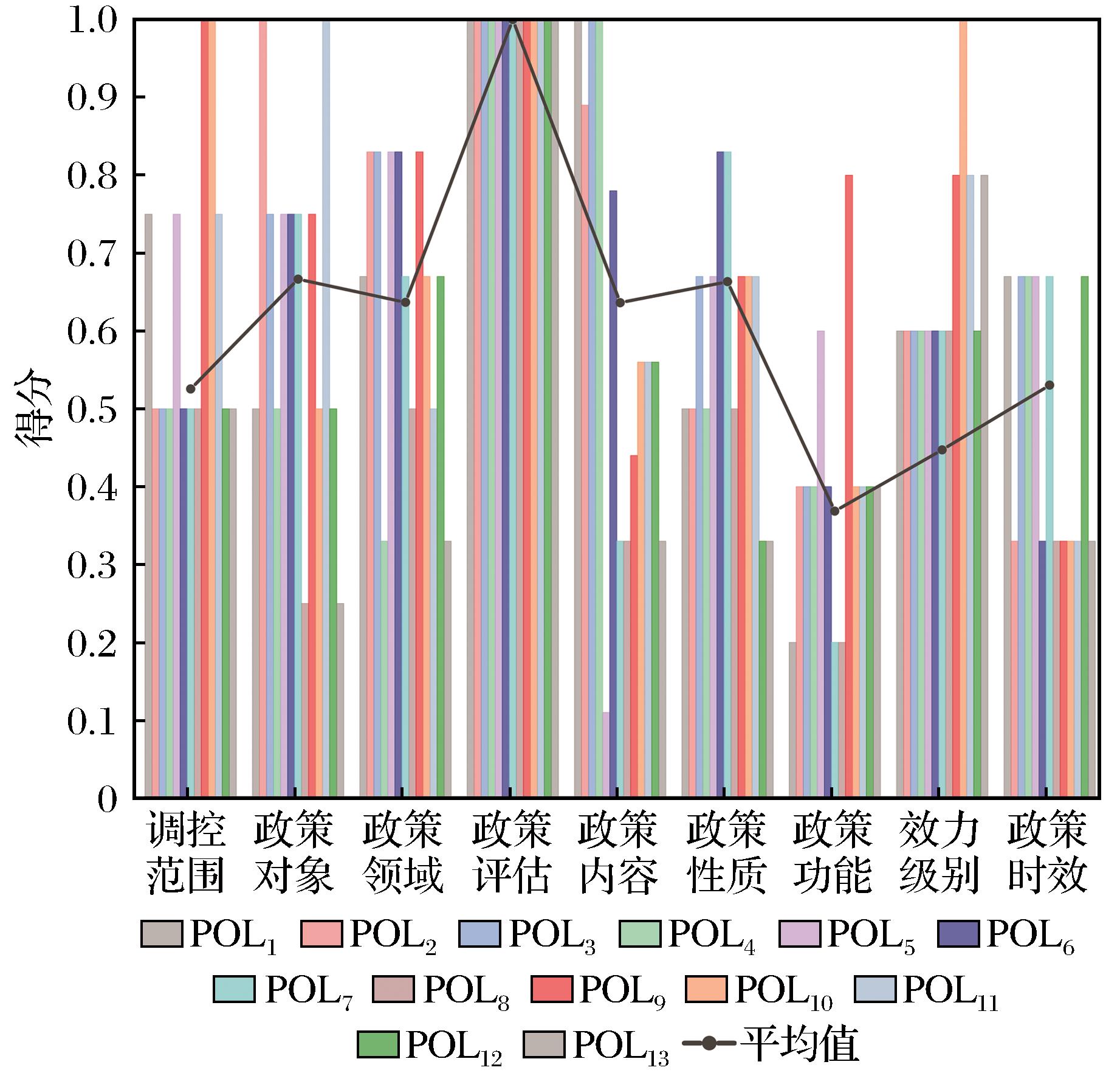
| 图3 中央层面绿色矿山建设政策的PMC指数得分 |
| Fig.3 PMC index score of green mine construction policies at the central level |
|