基于声发射的倾斜软硬互层岩石破坏特性研究
Study on Failure Characteristics of Inclined Soft and Hard Interbedded Rocks Based on Acoustic Emission
通讯作者:
收稿日期: 2022-09-21 修回日期: 2022-10-30
| 基金资助: |
|
Received: 2022-09-21 Revised: 2022-10-30
关键词:
Keywords:
本文引用格式
周可凡, 刘科伟, 郭腾飞.
ZHOU Kefan, LIU Kewei, GUO Tengfei.
随着经济的快速发展以及人类活动范围的不断扩大,地下工程越来越频繁地在深部进行,金属矿深部开采也逐渐成为常态(Yang et al.,2020;李夕兵等,2017)。软硬互层岩石在深部巷道和矿井较为常见,且受到应力作用时会比一般岩石更容易发生微震和岩爆(Winn et al.,2019;Yang et al.,2017;Feng et al.,2021)。在巴基斯坦Neelum-Jhelum水电工程中,软硬交替地层掘进作业时发生了超过800次不同程度的岩爆(Feng et al.,2021),因此分析倾斜软硬互层岩石的破坏特性对实际工程具有重要的指导意义。
20世纪80年代起,以Jeager为代表的研究人员对带节理的各向异性岩石进行了大量研究,并提出了单一强度弱面理论(Jaeger,1960;Duveau et al.,1998;Ramamurthy.,1993)。不同种类各向异性岩石在单轴压缩下的强度特性往往表现出符合单一弱面理论的规律,其破坏模式和层理倾角也有着对应关系(Cho et al.,2012;刘运思等,2012;刘胜利等,2012)。对互层岩石的大量研究表明,倾斜互层岩石的单轴抗压强度随着倾角的增加呈现先减小后增大的U型变化(Gholami et al.,2014;Zhang et al.,2020)。Mokhtari et al.(2016)对倾斜互层岩石的抗拉强度与倾角关系进行了研究,发现互层岩石抗拉强度随着倾角与受力方向夹角的增加呈减小趋势。倾斜互层岩石的破坏模式往往与倾角有着很强的对应关系,对破坏模式进行分类是互层岩石研究中常见的研究方向。Tien et al.(2006)对层状岩石在单轴压缩下的破坏模式进行研究,提出了与倾角相对应的3种破坏模式。外部因素的改变也会对层状岩石的各向异性程度产生影响,Zhang et al.(2020)研究发现层状岩石在受到水侵蚀时各项异性会增强。计算机技术也越来越广泛地应用到层状岩石的研究之中。Yeh et al.(2020)利用数值模拟技术对层状弱胶结沉积岩边坡的稳定性进行了分析,发现边坡的各层倾角对边坡稳定性具有显著影响。
然而,目前对于软硬互层岩石的研究较少,且往往倾向于改变试验方法和试验环境。Zhao et al.(2014)研究顶—煤—底板复合模型的破坏特征,建立了4种不同强度和刚度的煤—岩三体模型,结果表明试样的破坏模式受加载条件的影响。另外,研究人员对于单轴压缩条件下的倾斜软硬互层岩石的破坏模式和强度进行了研究(Chang et al.,2018;Selcuk,2019),得到了破坏模式分类方法和强度变化规律。相关学者对于软硬互层岩石的破坏模式和裂纹类型进行了研究,结果表明倾角对裂纹类型和破坏模式的影响很大,含有中厚软层的试样比含有薄软层的试样更容易形成宏观裂纹(Zhang et al.,2020;Mokhtari et al.,2016)。数值模拟技术也被大量应用于软硬互层岩石的研究之中。Wu et al.(2020)对不同岩石连接的层状岩石的剪切行为和损伤演变过程进行了研究,提出了用于检测内部损伤的数值模拟方法。Yang et al.(2019)在提出的岩石损伤缓冲本构模型的基础上,利用有限差分法进行数值模拟,分析了复合地层中隧道开挖的收敛变形机理。研究人员针对隧道中较为常见的软硬互层岩石工段掘进过程中的围岩变形和破坏特征进行了研究,结果表明软硬交界面的强度突变是隧道软岩大变形的主要影响因素,在基坑支护设计需要注意复杂岩层特别是软岩层的不对称变形破坏(Yang et al.,2019;Feng et al.,2012;Xu et al.,2019;Yang et al.,2018)。
本文在前人研究的基础上,结合声发射监测技术对带倾角的软硬互层岩石进行了单轴压缩试验。对试样不同倾角的峰值抗压强度变化规律进行了研究,并依据其破坏模式进行了分类。结合声发射数据分析了软硬互层岩石在加载过程中的裂纹扩展、裂纹模式以及宏观裂纹的演化规律。
1 试验材料及方法
1.1 试样制备
在地下空间工程中常见软硬交替地层,且不同工段的岩层倾角可能不同(Feng et al.,2021),因此制备带倾角的软硬互层试样如图1所示。试样长度和宽度均为50 mm,高度为100 mm,上下层设计为硬层,中间层设计为软岩。试样硬层采用选自云南省的红砂岩,软层采用抗压强度为40 MPa的混凝土代替。将红砂岩切割成倾角为0°,22.5°,45°,67.5°,90°,制作试样的硬层部分。对岩石的斜面进行粗糙处理。将每个岩石块放入特制的模具中,并将混凝土倒入模具,养护24 h后取出。在相同室温和湿度条件下固化28 d后得到岩石—混凝土试样,如图1所示,其中A组到E组代表试样软层倾角由0°到90°,每组试样制作3个。所有试样的表面保持光滑平直,平直度误差控制在0.50 mm范围内。红砂岩和混凝土试样的力学性能如表1所示。试
图1
图1
倾角从0°到90°的软硬互层试样
Fig.1
Soft and hard interbedded specimen with inclination from 0 ° to 90 °
表1 混凝土与岩石的力学性能
Tabel 1
| 材料 | 样品编号 | 抗压强度/MPa | 密度/(g·cm-³) | 泊松比 | 弹性模量/GPa |
|---|---|---|---|---|---|
| 混凝土 | concrete-1 | 39 | 2.02 | 0.25 | 32.70 |
| concrete-2 | 43 | 2.13 | 0.28 | 32.02 | |
| concrete-3 | 42 | 2.07 | 0.27 | 32.55 | |
| 红砂岩 | red sandstone-1 | 55 | 2.42 | 0.20 | 36.20 |
| red sandstone-2 | 55 | 2.44 | 0.20 | 37.00 | |
| red sandstone-3 | 57 | 2.45 | 0.21 | 37.20 |
验在中南大学实验中心的T型工作台实验室完成。
1.2 试验方案
使用MTS322电液伺服控制试验机(最大加载量程为500 kN,加载精度为±0.5%)对试样进行单轴压缩试验,并采用美国PAC公司的PCI-2声发射仪监测试验过程中产生的声发射现象。2个谐振频率为125 kHz的Mini300型传感器,分别粘贴于试样上下两侧居中的位置。
表2 声发射仪器的参数设置
Table 2
| 参数 | 数值 |
|---|---|
| 门槛值/dB | 40 |
| 前置增益/dB | 40 |
| 采样长度/kB | 5 |
| 采样频率/MHz | 10 |
| PDT/μs | 50 |
| HLT/μs | 300 |
| HDT/μs | 200 |
采用ASTM D2938-95标准进行单轴压缩试验,将试样的长径比控制在2.4以内(US-ASTM,2000)。加载方式选择位移加载,加载速率控制在0.1 mm/s。保持声发射监测与单轴压缩加载过程同步,以获得试样开始加载到破坏过程中声发射参数随时间的变化数据。试验装置示意图如图2所示。
图2
2 试验结果
2.1 强度和破坏模式分析
对试样进行单轴压缩试验,对各倾角试样的破坏模式进行分析(图3)。当倾角为0°时,裂纹贯穿整个试样;当倾角较小时,裂纹主要在软层扩展;当倾角较大时,试样自软硬连接面处滑移;当倾角为90°时,试样整体发生劈裂。根据试样的破坏和裂纹扩展情况将破坏模式划分为以下4类:(1)轴向破坏:裂纹贯穿整个试样,并伴随着表面岩石的脱落(Type-Ⅰ);(2)软层破坏:裂纹从中间的软层开始扩展,未扩展到上下2个硬层就发生破坏(Type-Ⅱ);(3)界面滑移:试样的软硬层连接面上发生滑移破坏(Type-Ⅲ);(4)劈裂破坏:伴随岩爆的轴向劈裂,裂纹贯穿整个试样,表面岩体大量崩落(Type-Ⅳ)。
图3
图3
不同倾角试样试验中的破坏结果和破坏模式分类示意图
Fig.3
Failure results and failure mode classification of samples with different inclination angles in the experiment
表3 试样基本信息
Table 3
| 试样编号 | θ/(°) | 软层厚度/mm | 抗压强度/MPa | 破坏模式 |
|---|---|---|---|---|
| A-1 | 0 | 19.70 | 42.19 | 轴向破坏 |
| A-2 | 0 | 20.07 | 43.80 | 轴向破坏 |
| A-3 | 0 | 19.97 | 37.01 | 轴向破坏 |
| B-1 | 22.5 | 20.07 | 52.29 | 软层破坏 |
| B-2 | 22.5 | 20.17 | 46.96 | 软层破坏 |
| B-3 | 22.5 | 19.85 | 49.80 | 软层破坏 |
| C-1 | 45 | 19.78 | 2.85 | 界面滑移 |
| C-2 | 45 | 19.92 | 1.39 | 界面滑移 |
| C-3 | 45 | 20.23 | 2.90 | 界面滑移 |
| D-1 | 67.5 | 19.92 | 2.60 | 界面滑移 |
| D-2 | 67.5 | 19.89 | 2.12 | 界面滑移 |
| D-3 | 67.5 | 19.35 | 2.55 | 界面滑移 |
| E-1 | 90 | 19.88 | 54.12 | 劈裂破坏 |
| E-2 | 90 | 20.03 | 49.28 | 劈裂破坏 |
| E-3 | 90 | 19.74 | 57.49 | 劈裂破坏 |
图4
图4
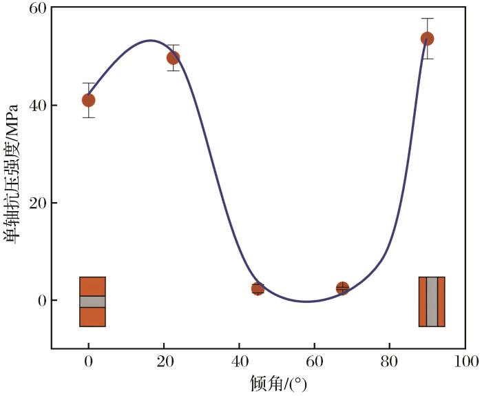
试样单轴抗压强度随软层倾角变化图
Fig.4
Variation of uniaxial compressive strength of sample with the inclination angles of the soft layer
当软层倾角θ为0°时,最大主应力直接作用于软层法向,软层首先产生裂纹并传递至硬层,破坏贯穿整个试样,抗压强度大小主要取决于软层强度。当θ为90°时,最大主应力作用于两边硬岩中间软岩的层状结构,抗压强度大小主要取决于硬层强度。当θ为45°和67.5°时,作用于软层的剪切应力大于软硬软层之间的黏结力和摩擦力,试样整体抗压强度较小。在上述角度下得到的抗压强度规律与Jeager(1960)提出的U型曲线相符。
当倾角为22.5°时,试样抗压强度上升现象可以用Mohr-Coulomb破坏准则解释(Jaeger et al.,1981)。在自然状态下,软硬互层岩体主要受到地应力和围压的影响,受力状况如图5(a)所示。其中σ1和σ3分别为岩石受到的最大主应力和最小主应力,σ和τ分别为作用于软层弱面的法向应力和剪切应力,θ为软层与水平面的夹角。由摩尔应力圆理论,作用于软层面的法向应力σ与剪切应力τ分别为
图5
图5
Mohr-Coulomb破坏准则示意图
Fig.5
Schematic diagram of Mohr-Coulomb failure criterion
在单轴压缩条件下,软层倾角为22.5°的试样作用于软层面的法向应力σ与剪切应力τ分别为
此时剪切应力τ相对于软硬层黏结面的黏结力和摩擦力而言较小,软层面破坏主要受到法向应力σ的影响。法向应力σ小于主应力σ1,试样需要更大的主应力才能破坏。以本次试验中软层倾角为0°和22.5°时的平均峰值抗压强度为例,计算得到软层倾角为22.5°时作用于软层面的最大法向应力σ和最大剪切应力τ分别为
此时作用于软层的最大法向应力为42.40 MPa,与倾角为0°时作用于软层的最大法向应力(41 MPa)接近。因此软硬互层岩石倾角较小时,抗压强度将比倾角为0°时更大。
2.2 声发射信号的事件数分析
试验过程中监测到的超过门槛值的信号代表一次声发射事件,每秒监测到的声发射事件数即为该秒的声发射率。绘制不同软层倾角的软硬互层岩石在单轴压缩条件下,累计声发射数和声发射率随加载时间变化折线如图6所示。
图6
图6
岩石加载过程累计声发射数曲线图
Fig.6
Cumulative acoustic emission number curve during rock loading
图7
图7
不同倾角下应力、累计声发射数和声发射率曲线图及加载过程分段图
Fig.7
Stress,cumulative acoustic emission number and acoustic emission rate curves and loading process segmentation diagram with different inclination angles
随着软硬互层岩石的软层倾角从0°增加至67.5°,高声发射率区间出现后移和变窄现象。软层倾角的增大使软硬黏结面更容易产生滑动破坏,裂纹少量扩展试样便发生宏观滑动,使裂纹大量扩展的高声发射率区间向破坏时刻移动,且区间范围减小。
基于Boyce提出的岩石破坏过程分类方法和累计声发射数结果,得到各个角度下软硬互层岩石在加载过程中出现的破坏阶段,如表4所示。
表4 含不同倾角试样在加载过程中出现的破坏阶段
Table 4
| θ/(°) | 破坏阶段 |
|---|---|
| 0 | 裂纹闭合,线弹性变形,裂纹非稳定扩展 |
| 22.5 | 裂纹闭合,裂纹稳定扩展,裂纹非稳定扩展 |
| 45 | 裂纹闭合,裂纹稳定扩展,裂纹非稳定扩展 |
| 67.5 | 裂纹闭合,裂纹稳定扩展,裂纹非稳定扩展 |
| 90 | 裂纹闭合,线弹性变形,裂纹稳定扩展,裂纹非稳定扩展 |
当θ为0°时,由于试样中间软层强度较低,加载过程中软岩率先进入裂纹扩展阶段。硬层、软层裂纹扩展阶段相互重叠,使试样整体上不出现裂纹稳定性扩展阶段。当θ为22.5°、45°和67.5°时,由于倾角的存在使软硬黏结面在主应力作用下出现滑移,加载过程中线弹性变形阶段不显著。当θ为90°时,试样的破坏过程主要取决于硬岩,由于非稳定性扩展阶段较长,裂纹在该阶段大量生成。
2.3 声发射信号的b值特性分析
在地震预测中常用b值表征震级与频率之间的关系,b值的变化趋势反映了岩体中裂纹的变化规律,b值大小由古登堡—里希特关系确定(Gutenberg et al.,1994)。
式中:M为地震的震级;N为地震震级超过或达到M的次数;a为地震活动程度常数;b描述了震级分布比例。在岩石声发射试验中,常用声发射振幅除以20代替M(李浩然等,2021),此时的b值表征声发射事件中小型微破裂事件数与大型破裂事件数的比值。随着加载的进行,岩体内部形成宏观破坏面,大尺度微破裂增多、出现失稳扩展状态,此时b值下降(李元辉等,2009)。采用FGS法计算不同软层倾角下的试样动态b值,绘制b值—应力曲线,如图8所示(Liu et al.,2020)。
图8
图8
不同软层倾角下的b值—应力曲线
Fig.8
b value and stress curve under different inclination angles of the soft layer
由图8可以看出,随着软层倾角的增加,b值的震荡频次呈现先增加后减少再增加的变化规律。因此,软硬互层岩石在单轴压缩过程中出现失稳扩展状态的频次随倾角的增加呈现先增加后减少再增加的变化趋势。当软层倾角较小(0°,22.5°,45°)时,软硬互层岩石受压时失稳扩展状态发生频率逐渐增高。当软层倾角较大(67.5°)时,失稳扩展状态发生频率降低。当软层倾角为90°时,伴随劈裂和岩体崩落现象,失稳扩展状态增多。
2.4 声发射信号的RA-AF特性分析
利用声发射的RA-AF值对裂纹类型进行评判是岩石混凝土试验中的常用方法。声发射测量系统收集的声发射参数(如持续时间、声发射次数、振幅、能量和上升时间等),如图9所示。RA值代表声发射数据中上升时间与幅值的比值。AF值代表声发射信号的平均频率。不同类型的裂纹在产生、发展过程中的声发射波形特性不同,一般认为RA值较高的信号属于剪切裂纹,AF值较高的信号属于拉伸裂纹。采用JCMS-III B5706(Farhidzadeh et al.,2013)对拉伸裂纹和剪切裂纹进行区分,如图10所示。
图9
图10
图11
定义AF值和RA值的比值为C,则有:
其中,C的取值范围一般为1~200,主要受材料结构和特性的影响(葛振龙等,2021)。为研究倾斜软硬互层岩石剪切裂纹的演化规律,选取剪切裂纹占总裂纹的比例δ为研究对象,定义:
图12
图12
不同C0值对应剪切裂纹占比随倾角的变化趋势
Fig.12
Variation trend of shear crack propagetion with inclination angles corresponding to different C0 values
3 结论
基于声发射监测技术和数值模拟研究了单轴压缩加载过程中软硬互层岩石在各层倾角从0°增加至90°时的破坏模式、峰值抗压强度规律和裂纹扩展情况。得出如下结论:
(1)对不同倾角的软硬互层岩石在单轴压缩条件下的破坏模式进行了分类。提出了软硬互层岩石倾角从0°增加至90°时,峰值抗压强度呈N型变化曲线。
(2)软硬互层岩石的软层倾角增大会使岩石的稳定性下降,因此裂纹密集产生后更容易发生破坏。
(3)随着软层倾角的增加,软硬互层岩石在单轴压缩过程中的失稳扩展状态发生频次呈现先增加后减少再增加的变化趋势。
(4)当软硬互层岩石倾角增加时,裂纹扩展中的剪切裂纹占比在小倾角时增加,在大倾角时减小。
http://www.goldsci.ac.cn/article/2022/1005-2518/1005-2518-2022-30-6-923.shtml
参考文献
Acoustic emission signatures of various rock types in unconfined compression
[J].
Mechanical performances of rock-concrete bi-material disks under diametrical compression
[J].
Deformation and strength anisotropy of Asan gneiss,Boryeong shale,and Yeoncheon schist
[J].
A modified single plane of weakness theory for the failure of highly stratified rocks
[J].
A probabilistic approach for damage identification and crack mode classification in reinforced concrete structures
[J].
Excavation-induced microseismicity and rockburst occurrence:Similarities and differences between deep parallel tunnels with alternating soft-hard strata
[J].
Deformation analysis of a soft-hard rock contact zone surrounding a tunnel
[J].
Fracture feature recognition of sandstone after high temperature based on RA/AF
[J].
Mechanical and elastic properties of transversely isotropic slate
[J].
Frequency of earthquakes in California
[J].
Shear failure of anisotropic rocks
[J].
Acoustic emission activity and damage evolution characteristics of marble under triaxial stress at high temperatures
[J].
Li Xibing,Zhou Jian,Wang Shaofeng,
Study on b-value and fractal dimension of acoustic emission during rock failure process
[J].
Anisotropic properties study of chlorite schist
[J].
A new b value estimation method in rock acoustic emission testing
[J].
Acoustic emission and micro-rupture characteristics of rocks under Brazilian splitting load
[J].
Research on brazilian disc splitting tests for anisotropy of slate under influence of different bedding orientations
[J].
Impact of laminations and natural fractures on rock failure in Brazilian experiments:A case study on Green River and Niobrara formations
[J].
Strength and modulus responses of anisotropic rocks
[J].
Experimental investigation of the rock-concrete bi materials influence of inclined interface on strength and failure behavior
[J].
An experimental investigation of the failure mechanism of simulated transversely isotropic rocks
[J].
Multi-approach stability analyses of large caverns excavated in low-angled bedded sedimentary rock masses in Singapore
[J].
Experimental and numerical studies on the evolution of shear behaviour and damage of natural discontinuities at the interface between different rock types
[J].
The influence of longitudinal crack on mechanical behavior of shield tunnel lining in soft-hard composite strata
[J].
Stress initialization methods for dynamic numerical simulation of rock mass with high in-situ stress
[J].
Geohazards of tunnel excavation in interbedded layers under high in situ stress
[J].
Physical experiment and numerical modelling of tunnel excavation in slanted upper-soft and lower-hard strata
[J].
Large-scale model experiment and numerical simulation on convergence deformation of tunnel excavating in composite strata
[J].
3D Effects of permeability and strength anisotropy on the stability of weakly cemented rock slopes subjected to rainfall infiltration
[J].
Geomechanical behaviors of shale after water absorption considering the combined effect of anisotropy and hydration
[J].
Failure characteristics of three-body model composed of rock and coal with different strength and stiffness
[J].
基于RA/AF的高温后砂岩破裂特征识别研究
[J].
高温三轴应力下大理岩损伤演化与声发射活动特征研究
[J].
深部固体资源开采评述与探索
[J].
岩石破裂过程中的声发射b值及分形特征研究
[J].
绿泥石片岩各向异性特性研究
[J].
劈裂荷载下的岩石声发射及微观破裂特性
[J].
不同层理方位影响下板岩各向异性巴西圆盘劈裂试验研究
[J].
/
| 〈 |
|
〉 |


甘公网安备 62010202000672号