Delineation of geochemical anomalies based on stream sediment data utilizing fractal modeling and staged factor analysis
1
2016
... 对水系沉积物地球化学数据进行因子分析处理后,能够有效识别区域地质背景与矿化的地球化学场(Afzal et al.,2016;Asadi et al.,2014;Yang et al.,2017).第一主因子F1(Co-Cr-Cu-Ni-Ti-V-Zn)受岩性控制,代表了区域上晚古生代变质岩系和元古宙结晶基底,F1元素组合含有Cu和Zn,铜、铅锌矿基本分布于晚古生代地层中F1高因子得分地区,表明区域上铜、锌矿化可能部分来源于该套地层[图6(a)].第二主因子F2(As-Hg-Sb)代表了常见的低温元素组合,主要受岷县—宕昌断裂和南亚带迭部背斜的控制,可能是浅成低温热液活动的记录[图6(b)].第三主因子F3(Bi-Sn-W)代表了常见的高温成矿元素组合,主要受北亚带“五朵金花”岩体和南亚带迭部背斜的控制,表明迭部背斜可能存在多期次(低温与高温)的岩浆热液活动,目前已知的“五朵金花”岩体附近存在大量钨—锡矿化,推测在迭部背斜深部具有钨—锡矿的找矿潜力[图6(c)].第四主因子F4(Ba-Pb)主要代表铅矿化,陇西县高因子得分可能是受金属元素向低海拔汇水盆地迁移的影响(图2),总体来说F4因子受北亚带“五朵金花”岩体和迭部背斜的控制,北亚带已发现大量有价值的铅锌矿化点,可以看出迭部地区多金属成矿潜力巨大[图6(d)].第五主因子F5只有Au元素,表明岷礼成矿带金矿化可能是相对独立事件,与已知的晚三叠纪岩浆侵入事件无太大关联,已有大量的矿床地球化学证据表明锁龙和马坞金矿是与“五朵金花”岩体有密切成因联系的(类)卡林型金矿(刘坤等,2014;刘天航,2017),但寨上金矿与已知岩体较远,考虑到其巨大的成矿规模,认为构造控矿的作用更明显. ...
Identification of geochemical anomalies using fractal and LOLIMOT neuro-fuzzy modeling in Mial area,central Iran
1
2020
... 勘查地球化学在该区前期的找矿工作中发挥了重要作用,但由于地球化学数据具有非线性、空间自相关性的特征(Cheng et al.,1994),采用传统方法处理复杂的化探数据效果并不理想.化探数据具有从区域尺度上进行矿床学宏观研究的优势,可以揭示元素在区域上的分布规律及元素组合特征,从而为找矿勘查提供重要指导(Cheng et al.,1994;Pourgholam et al.,2020;Yang et al.,2017).分形模型能够定量表征非线性地质异常强度(成秋明,2006;Cheng,2007),因而被广泛运用于地球化学数据的处理分析中,可以反映不同金属元素的富集程度(Alipour et al.,2020;Aliyari et al.,2020;Wang et al.,2010a,2010b;Yang et al.,2015,2017;Yasrebi et al.,2019).因子分析是一种多元分析的数学方法,可减少多元数据中变量维数,突出多元数据中不明显的元素组合,强化矿床在表壳尺度直观的化学显示,揭示不同类型矿化的元素组合及其得分分布(Cheng et al.,1994;Fyzollahhi et al.,2018;Yang et al.,2017). ...
Delineation of geochemical haloes using the developed zonality index using multivariate and fractal analysis in the Cu-Mo porphyry deposits
1
2020
... 勘查地球化学在该区前期的找矿工作中发挥了重要作用,但由于地球化学数据具有非线性、空间自相关性的特征(Cheng et al.,1994),采用传统方法处理复杂的化探数据效果并不理想.化探数据具有从区域尺度上进行矿床学宏观研究的优势,可以揭示元素在区域上的分布规律及元素组合特征,从而为找矿勘查提供重要指导(Cheng et al.,1994;Pourgholam et al.,2020;Yang et al.,2017).分形模型能够定量表征非线性地质异常强度(成秋明,2006;Cheng,2007),因而被广泛运用于地球化学数据的处理分析中,可以反映不同金属元素的富集程度(Alipour et al.,2020;Aliyari et al.,2020;Wang et al.,2010a,2010b;Yang et al.,2015,2017;Yasrebi et al.,2019).因子分析是一种多元分析的数学方法,可减少多元数据中变量维数,突出多元数据中不明显的元素组合,强化矿床在表壳尺度直观的化学显示,揭示不同类型矿化的元素组合及其得分分布(Cheng et al.,1994;Fyzollahhi et al.,2018;Yang et al.,2017). ...
Exploratory data analysis and C-A fractal model applied in mapping multi-element soil anomalies for drilling:A case study from the Sari Gunay epithermal gold deposit,NW Iran
1
2014
... 对水系沉积物地球化学数据进行因子分析处理后,能够有效识别区域地质背景与矿化的地球化学场(Afzal et al.,2016;Asadi et al.,2014;Yang et al.,2017).第一主因子F1(Co-Cr-Cu-Ni-Ti-V-Zn)受岩性控制,代表了区域上晚古生代变质岩系和元古宙结晶基底,F1元素组合含有Cu和Zn,铜、铅锌矿基本分布于晚古生代地层中F1高因子得分地区,表明区域上铜、锌矿化可能部分来源于该套地层[图6(a)].第二主因子F2(As-Hg-Sb)代表了常见的低温元素组合,主要受岷县—宕昌断裂和南亚带迭部背斜的控制,可能是浅成低温热液活动的记录[图6(b)].第三主因子F3(Bi-Sn-W)代表了常见的高温成矿元素组合,主要受北亚带“五朵金花”岩体和南亚带迭部背斜的控制,表明迭部背斜可能存在多期次(低温与高温)的岩浆热液活动,目前已知的“五朵金花”岩体附近存在大量钨—锡矿化,推测在迭部背斜深部具有钨—锡矿的找矿潜力[图6(c)].第四主因子F4(Ba-Pb)主要代表铅矿化,陇西县高因子得分可能是受金属元素向低海拔汇水盆地迁移的影响(图2),总体来说F4因子受北亚带“五朵金花”岩体和迭部背斜的控制,北亚带已发现大量有价值的铅锌矿化点,可以看出迭部地区多金属成矿潜力巨大[图6(d)].第五主因子F5只有Au元素,表明岷礼成矿带金矿化可能是相对独立事件,与已知的晚三叠纪岩浆侵入事件无太大关联,已有大量的矿床地球化学证据表明锁龙和马坞金矿是与“五朵金花”岩体有密切成因联系的(类)卡林型金矿(刘坤等,2014;刘天航,2017),但寨上金矿与已知岩体较远,考虑到其巨大的成矿规模,认为构造控矿的作用更明显. ...
Prospecting effect of stream sediment survey in Zhongzhai-Shilipu area of west Qinling Mountains
0
2017
Carlin and carlin-like gold deposits in western Qinling Mountains and their metallogenic time,tectonic setting and model
0
2004
Mapping singularities with stream sediment geochemical data for prediction of undiscovered mineral deposits in Gejiu,Yunnan Province,China
2
2007
... 勘查地球化学在该区前期的找矿工作中发挥了重要作用,但由于地球化学数据具有非线性、空间自相关性的特征(Cheng et al.,1994),采用传统方法处理复杂的化探数据效果并不理想.化探数据具有从区域尺度上进行矿床学宏观研究的优势,可以揭示元素在区域上的分布规律及元素组合特征,从而为找矿勘查提供重要指导(Cheng et al.,1994;Pourgholam et al.,2020;Yang et al.,2017).分形模型能够定量表征非线性地质异常强度(成秋明,2006;Cheng,2007),因而被广泛运用于地球化学数据的处理分析中,可以反映不同金属元素的富集程度(Alipour et al.,2020;Aliyari et al.,2020;Wang et al.,2010a,2010b;Yang et al.,2015,2017;Yasrebi et al.,2019).因子分析是一种多元分析的数学方法,可减少多元数据中变量维数,突出多元数据中不明显的元素组合,强化矿床在表壳尺度直观的化学显示,揭示不同类型矿化的元素组合及其得分分布(Cheng et al.,1994;Fyzollahhi et al.,2018;Yang et al.,2017). ...
... 多阶段成矿过程引起的地质异常会导致地球化学元素的偏正态分布,且水系沉积物地球化学数据是组合数据,代表一个封闭的数字系统,每个变量相互关联而非独立存在(成秋明,2006;Cheng et al.,1994,2007),在相关性研究之前先进行中间对数比率转换,即求出各变量的几何平均值后取原始数据与该变量几何平均值的比值的对数.以岷礼成矿带Au元素为例,变化范围、几何均值和标准差依次为0.1×10-9~51.0×10-9、2.11×10-9和2.39,其地球化学原始数据具有偏度且为非正态分布[图3(a)、3(b)].经转换后Au元素变化范围、几何均值和标准差依次为-1.32~1.38、-1.22和0.31的无量纲数据,数据偏度减小,趋于正态分布[图3(c)、3(d)]. ...
The separation of geochemical anomalies from background by fractal methods
5
1994
... 勘查地球化学在该区前期的找矿工作中发挥了重要作用,但由于地球化学数据具有非线性、空间自相关性的特征(Cheng et al.,1994),采用传统方法处理复杂的化探数据效果并不理想.化探数据具有从区域尺度上进行矿床学宏观研究的优势,可以揭示元素在区域上的分布规律及元素组合特征,从而为找矿勘查提供重要指导(Cheng et al.,1994;Pourgholam et al.,2020;Yang et al.,2017).分形模型能够定量表征非线性地质异常强度(成秋明,2006;Cheng,2007),因而被广泛运用于地球化学数据的处理分析中,可以反映不同金属元素的富集程度(Alipour et al.,2020;Aliyari et al.,2020;Wang et al.,2010a,2010b;Yang et al.,2015,2017;Yasrebi et al.,2019).因子分析是一种多元分析的数学方法,可减少多元数据中变量维数,突出多元数据中不明显的元素组合,强化矿床在表壳尺度直观的化学显示,揭示不同类型矿化的元素组合及其得分分布(Cheng et al.,1994;Fyzollahhi et al.,2018;Yang et al.,2017). ...
... ),采用传统方法处理复杂的化探数据效果并不理想.化探数据具有从区域尺度上进行矿床学宏观研究的优势,可以揭示元素在区域上的分布规律及元素组合特征,从而为找矿勘查提供重要指导(Cheng et al.,1994;Pourgholam et al.,2020;Yang et al.,2017).分形模型能够定量表征非线性地质异常强度(成秋明,2006;Cheng,2007),因而被广泛运用于地球化学数据的处理分析中,可以反映不同金属元素的富集程度(Alipour et al.,2020;Aliyari et al.,2020;Wang et al.,2010a,2010b;Yang et al.,2015,2017;Yasrebi et al.,2019).因子分析是一种多元分析的数学方法,可减少多元数据中变量维数,突出多元数据中不明显的元素组合,强化矿床在表壳尺度直观的化学显示,揭示不同类型矿化的元素组合及其得分分布(Cheng et al.,1994;Fyzollahhi et al.,2018;Yang et al.,2017). ...
... ).因子分析是一种多元分析的数学方法,可减少多元数据中变量维数,突出多元数据中不明显的元素组合,强化矿床在表壳尺度直观的化学显示,揭示不同类型矿化的元素组合及其得分分布(Cheng et al.,1994;Fyzollahhi et al.,2018;Yang et al.,2017). ...
... 多阶段成矿过程引起的地质异常会导致地球化学元素的偏正态分布,且水系沉积物地球化学数据是组合数据,代表一个封闭的数字系统,每个变量相互关联而非独立存在(成秋明,2006;Cheng et al.,1994,2007),在相关性研究之前先进行中间对数比率转换,即求出各变量的几何平均值后取原始数据与该变量几何平均值的比值的对数.以岷礼成矿带Au元素为例,变化范围、几何均值和标准差依次为0.1×10-9~51.0×10-9、2.11×10-9和2.39,其地球化学原始数据具有偏度且为非正态分布[图3(a)、3(b)].经转换后Au元素变化范围、几何均值和标准差依次为-1.32~1.38、-1.22和0.31的无量纲数据,数据偏度减小,趋于正态分布[图3(c)、3(d)]. ...
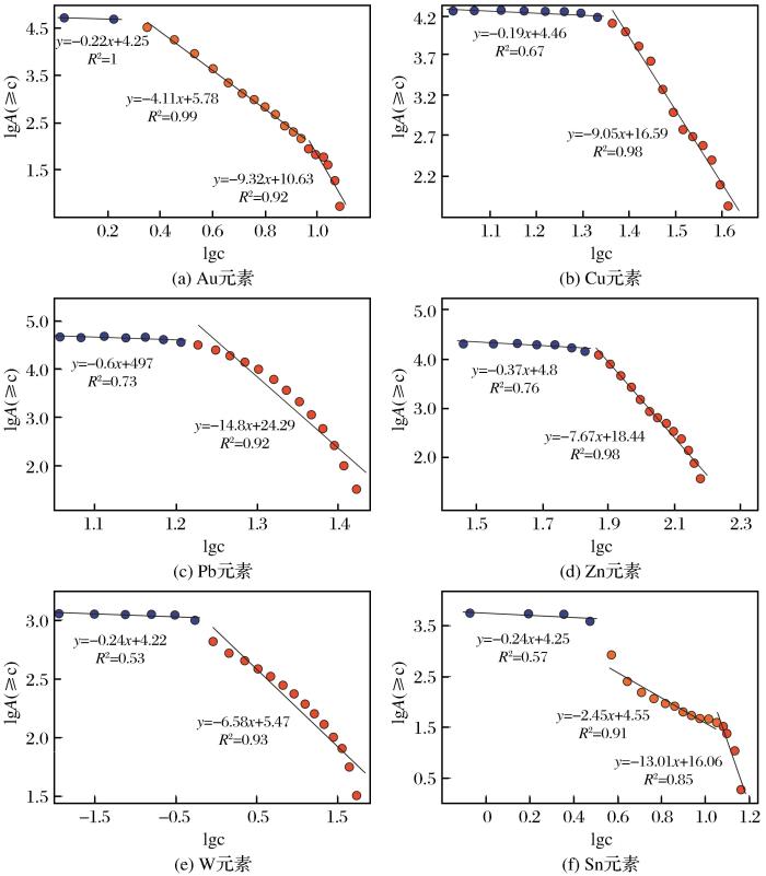
... C-A分形模型(浓度—面积分形模型)定量刻画了元素的富集程度和空间分布的复杂程度,基于地球化学元素非正态分布的数学特性,能够将重要的矿化异常从地质背景中分离,强化异常的显示(Cheng et al.,1994).本研究基于该理论计算得到Au、Cu、Pb、Zn、W和Sn的分形模式(图4).元素的浓度—面积分形模型服从以下数学关系式: ...
Singularity-generalized self-similarity-fractal spectrum (3S) models
0
2006
Gold mineralization in China:Metallogenic provinces,deposit types and tectonic framework
1
2016
... 岷礼成矿带位于甘肃省岷县—礼县一带,大地构造位置处于西秦岭造山带中段,是陆内造山—成矿耦合的关键部位.区内复杂的地质构造背景和晚三叠纪大规模的岩浆侵入,造就了巨大的成矿规模和丰富的成矿类型(刘建宏等,2006).目前岷礼成矿带已经取得了一系列找矿勘查成果,已发现众多具有一定规模的金矿,如寨上、锁龙和马坞等金矿床,以及一系列金、铜、铅—锌和钨—锡矿化点.然而,对于区域上金多金属矿化的控矿因素尚存有争议,总体上持有2种观点:一种是岩体控矿(陈衍景等,2004;Liu et al.,2015);另一种是构造控矿(Deng et al.,2016;Goldfarb et al.,2019). ...
Geochemical anomalies and prospecting prospect analysis of the Dangqinggounao gold-tungsten deposit in Gansu
0
2019
Discovery and geological significance of Daijiazhuang lead-zinc deposit in Gansu,western Qinling area
0
2007
Tectonic evolution framework and nature of the west Qinling orogenic belt
0
2003
Determination of lithium prospects using fractal modeling and staged factor analysis in Torud region,NE Iran
1
2018
... 勘查地球化学在该区前期的找矿工作中发挥了重要作用,但由于地球化学数据具有非线性、空间自相关性的特征(Cheng et al.,1994),采用传统方法处理复杂的化探数据效果并不理想.化探数据具有从区域尺度上进行矿床学宏观研究的优势,可以揭示元素在区域上的分布规律及元素组合特征,从而为找矿勘查提供重要指导(Cheng et al.,1994;Pourgholam et al.,2020;Yang et al.,2017).分形模型能够定量表征非线性地质异常强度(成秋明,2006;Cheng,2007),因而被广泛运用于地球化学数据的处理分析中,可以反映不同金属元素的富集程度(Alipour et al.,2020;Aliyari et al.,2020;Wang et al.,2010a,2010b;Yang et al.,2015,2017;Yasrebi et al.,2019).因子分析是一种多元分析的数学方法,可减少多元数据中变量维数,突出多元数据中不明显的元素组合,强化矿床在表壳尺度直观的化学显示,揭示不同类型矿化的元素组合及其得分分布(Cheng et al.,1994;Fyzollahhi et al.,2018;Yang et al.,2017). ...
Orogenic gold deposits of China
1
2019
... 岷礼成矿带位于甘肃省岷县—礼县一带,大地构造位置处于西秦岭造山带中段,是陆内造山—成矿耦合的关键部位.区内复杂的地质构造背景和晚三叠纪大规模的岩浆侵入,造就了巨大的成矿规模和丰富的成矿类型(刘建宏等,2006).目前岷礼成矿带已经取得了一系列找矿勘查成果,已发现众多具有一定规模的金矿,如寨上、锁龙和马坞等金矿床,以及一系列金、铜、铅—锌和钨—锡矿化点.然而,对于区域上金多金属矿化的控矿因素尚存有争议,总体上持有2种观点:一种是岩体控矿(陈衍景等,2004;Liu et al.,2015);另一种是构造控矿(Deng et al.,2016;Goldfarb et al.,2019). ...
Petrogenesis of dykes and its relationship to gold mineralization in the western Qinling belt:Constraints from zircon U-Pb age,geochemistry and Nd-Hf-S isotopes of Liba gold deposit
0
2020
Multifractal distribution patterns of geochemical data and its metallogenic significance:A case study in Bange region,Tibet
0
2015
Geological and geochemical characteristics and formation mechanisms of the Zhai-shang carlin-like type gold deposit,western Qinling Mountains,China
1
2015
... 岷礼成矿带位于甘肃省岷县—礼县一带,大地构造位置处于西秦岭造山带中段,是陆内造山—成矿耦合的关键部位.区内复杂的地质构造背景和晚三叠纪大规模的岩浆侵入,造就了巨大的成矿规模和丰富的成矿类型(刘建宏等,2006).目前岷礼成矿带已经取得了一系列找矿勘查成果,已发现众多具有一定规模的金矿,如寨上、锁龙和马坞等金矿床,以及一系列金、铜、铅—锌和钨—锡矿化点.然而,对于区域上金多金属矿化的控矿因素尚存有争议,总体上持有2种观点:一种是岩体控矿(陈衍景等,2004;Liu et al.,2015);另一种是构造控矿(Deng et al.,2016;Goldfarb et al.,2019). ...
A study of minerogenetic series of west Qinling region in Gansu Province and its ore-prospecting significance
0
2006
Fluid inclusion characteristics of the Mawu gold deposit in Gansu Province and their geological significance
0
2014
Geology,Geochemistry and Metallogenic Regularity of the Suolong Gold Deposit,Gansu Province
0
2017
Genesis and prospecting potential of scheelite in the Zhaishang gold deposit,Minxian County,Gansu Province
0
2017
Detection of geochemical anomalies using a fractal-wavelet model in Ipack area,central Iran
1
2020
... 勘查地球化学在该区前期的找矿工作中发挥了重要作用,但由于地球化学数据具有非线性、空间自相关性的特征(Cheng et al.,1994),采用传统方法处理复杂的化探数据效果并不理想.化探数据具有从区域尺度上进行矿床学宏观研究的优势,可以揭示元素在区域上的分布规律及元素组合特征,从而为找矿勘查提供重要指导(Cheng et al.,1994;Pourgholam et al.,2020;Yang et al.,2017).分形模型能够定量表征非线性地质异常强度(成秋明,2006;Cheng,2007),因而被广泛运用于地球化学数据的处理分析中,可以反映不同金属元素的富集程度(Alipour et al.,2020;Aliyari et al.,2020;Wang et al.,2010a,2010b;Yang et al.,2015,2017;Yasrebi et al.,2019).因子分析是一种多元分析的数学方法,可减少多元数据中变量维数,突出多元数据中不明显的元素组合,强化矿床在表壳尺度直观的化学显示,揭示不同类型矿化的元素组合及其得分分布(Cheng et al.,1994;Fyzollahhi et al.,2018;Yang et al.,2017). ...
Exploratory factor analysis revisited:How robust methods support the detection of hidden multivariate data structures in IS research
1
2010
... 因子分析作为识别矿化相关元素组合的多元统计方法,可以剔除冗杂的不相关变量,从而得到可靠的因子载荷(Treiblmaier et al.,2010;Yousefi et al.,2012,2014).进行因子分析的前提条件是所选数据的相关关系必须通过Bartlett球度检验和KMO检验.通过检验,得到本次地球化学数据的KMO值为0.91,数据的Bartlett球度检验也符合因子分析的条件.主成分分析法(PCA)是因子分析的经典方法,其基于最大方差对组合数据进行旋转解析提取主要载荷.本研究选取每个因子中特征值大于0.5的元素得到各因子的元素组合(表1),主因子F1~F5元素组合分别为Co-Cr-Cu-Ni-Ti-V-Zn、As-Hg-Sb、Bi-Sn-W、Ba-Pb和Au. ...
Fractal models for ore reserve estimation
1
2010a
... 勘查地球化学在该区前期的找矿工作中发挥了重要作用,但由于地球化学数据具有非线性、空间自相关性的特征(Cheng et al.,1994),采用传统方法处理复杂的化探数据效果并不理想.化探数据具有从区域尺度上进行矿床学宏观研究的优势,可以揭示元素在区域上的分布规律及元素组合特征,从而为找矿勘查提供重要指导(Cheng et al.,1994;Pourgholam et al.,2020;Yang et al.,2017).分形模型能够定量表征非线性地质异常强度(成秋明,2006;Cheng,2007),因而被广泛运用于地球化学数据的处理分析中,可以反映不同金属元素的富集程度(Alipour et al.,2020;Aliyari et al.,2020;Wang et al.,2010a,2010b;Yang et al.,2015,2017;Yasrebi et al.,2019).因子分析是一种多元分析的数学方法,可减少多元数据中变量维数,突出多元数据中不明显的元素组合,强化矿床在表壳尺度直观的化学显示,揭示不同类型矿化的元素组合及其得分分布(Cheng et al.,1994;Fyzollahhi et al.,2018;Yang et al.,2017). ...
Tonnage-cutoff model and average grade-cutoff model for a single ore deposit
1
2010b
... 勘查地球化学在该区前期的找矿工作中发挥了重要作用,但由于地球化学数据具有非线性、空间自相关性的特征(Cheng et al.,1994),采用传统方法处理复杂的化探数据效果并不理想.化探数据具有从区域尺度上进行矿床学宏观研究的优势,可以揭示元素在区域上的分布规律及元素组合特征,从而为找矿勘查提供重要指导(Cheng et al.,1994;Pourgholam et al.,2020;Yang et al.,2017).分形模型能够定量表征非线性地质异常强度(成秋明,2006;Cheng,2007),因而被广泛运用于地球化学数据的处理分析中,可以反映不同金属元素的富集程度(Alipour et al.,2020;Aliyari et al.,2020;Wang et al.,2010a,2010b;Yang et al.,2015,2017;Yasrebi et al.,2019).因子分析是一种多元分析的数学方法,可减少多元数据中变量维数,突出多元数据中不明显的元素组合,强化矿床在表壳尺度直观的化学显示,揭示不同类型矿化的元素组合及其得分分布(Cheng et al.,1994;Fyzollahhi et al.,2018;Yang et al.,2017). ...
Extraction of synthetic multi-element geochemical anomalies under the multifractal model
0
2019
1∶250000 regional geological survey report of Minxian(Hezuo)(I48C002002)
0
2007
Identification and mapping of geochemical patterns and their significance for regional metallogeny in the southern Sanjiang,China
4
2017
... 勘查地球化学在该区前期的找矿工作中发挥了重要作用,但由于地球化学数据具有非线性、空间自相关性的特征(Cheng et al.,1994),采用传统方法处理复杂的化探数据效果并不理想.化探数据具有从区域尺度上进行矿床学宏观研究的优势,可以揭示元素在区域上的分布规律及元素组合特征,从而为找矿勘查提供重要指导(Cheng et al.,1994;Pourgholam et al.,2020;Yang et al.,2017).分形模型能够定量表征非线性地质异常强度(成秋明,2006;Cheng,2007),因而被广泛运用于地球化学数据的处理分析中,可以反映不同金属元素的富集程度(Alipour et al.,2020;Aliyari et al.,2020;Wang et al.,2010a,2010b;Yang et al.,2015,2017;Yasrebi et al.,2019).因子分析是一种多元分析的数学方法,可减少多元数据中变量维数,突出多元数据中不明显的元素组合,强化矿床在表壳尺度直观的化学显示,揭示不同类型矿化的元素组合及其得分分布(Cheng et al.,1994;Fyzollahhi et al.,2018;Yang et al.,2017). ...
... ,2017;Yasrebi et al.,2019).因子分析是一种多元分析的数学方法,可减少多元数据中变量维数,突出多元数据中不明显的元素组合,强化矿床在表壳尺度直观的化学显示,揭示不同类型矿化的元素组合及其得分分布(Cheng et al.,1994;Fyzollahhi et al.,2018;Yang et al.,2017). ...
... ;Yang et al.,2017). ...
... 对水系沉积物地球化学数据进行因子分析处理后,能够有效识别区域地质背景与矿化的地球化学场(Afzal et al.,2016;Asadi et al.,2014;Yang et al.,2017).第一主因子F1(Co-Cr-Cu-Ni-Ti-V-Zn)受岩性控制,代表了区域上晚古生代变质岩系和元古宙结晶基底,F1元素组合含有Cu和Zn,铜、铅锌矿基本分布于晚古生代地层中F1高因子得分地区,表明区域上铜、锌矿化可能部分来源于该套地层[图6(a)].第二主因子F2(As-Hg-Sb)代表了常见的低温元素组合,主要受岷县—宕昌断裂和南亚带迭部背斜的控制,可能是浅成低温热液活动的记录[图6(b)].第三主因子F3(Bi-Sn-W)代表了常见的高温成矿元素组合,主要受北亚带“五朵金花”岩体和南亚带迭部背斜的控制,表明迭部背斜可能存在多期次(低温与高温)的岩浆热液活动,目前已知的“五朵金花”岩体附近存在大量钨—锡矿化,推测在迭部背斜深部具有钨—锡矿的找矿潜力[图6(c)].第四主因子F4(Ba-Pb)主要代表铅矿化,陇西县高因子得分可能是受金属元素向低海拔汇水盆地迁移的影响(图2),总体来说F4因子受北亚带“五朵金花”岩体和迭部背斜的控制,北亚带已发现大量有价值的铅锌矿化点,可以看出迭部地区多金属成矿潜力巨大[图6(d)].第五主因子F5只有Au元素,表明岷礼成矿带金矿化可能是相对独立事件,与已知的晚三叠纪岩浆侵入事件无太大关联,已有大量的矿床地球化学证据表明锁龙和马坞金矿是与“五朵金花”岩体有密切成因联系的(类)卡林型金矿(刘坤等,2014;刘天航,2017),但寨上金矿与已知岩体较远,考虑到其巨大的成矿规模,认为构造控矿的作用更明显. ...
Correlation between mineralization intensity and fluid-rock reaction in the Xinli gold deposit,Jiaodong Peninsula,China:Constraints from petrographic and statistical approaches
1
2015
... 勘查地球化学在该区前期的找矿工作中发挥了重要作用,但由于地球化学数据具有非线性、空间自相关性的特征(Cheng et al.,1994),采用传统方法处理复杂的化探数据效果并不理想.化探数据具有从区域尺度上进行矿床学宏观研究的优势,可以揭示元素在区域上的分布规律及元素组合特征,从而为找矿勘查提供重要指导(Cheng et al.,1994;Pourgholam et al.,2020;Yang et al.,2017).分形模型能够定量表征非线性地质异常强度(成秋明,2006;Cheng,2007),因而被广泛运用于地球化学数据的处理分析中,可以反映不同金属元素的富集程度(Alipour et al.,2020;Aliyari et al.,2020;Wang et al.,2010a,2010b;Yang et al.,2015,2017;Yasrebi et al.,2019).因子分析是一种多元分析的数学方法,可减少多元数据中变量维数,突出多元数据中不明显的元素组合,强化矿床在表壳尺度直观的化学显示,揭示不同类型矿化的元素组合及其得分分布(Cheng et al.,1994;Fyzollahhi et al.,2018;Yang et al.,2017). ...
Resources classification using fractal modelling in Eastern Kahang Cu-Mo porphyry deposit,central Iran
1
2019
... 勘查地球化学在该区前期的找矿工作中发挥了重要作用,但由于地球化学数据具有非线性、空间自相关性的特征(Cheng et al.,1994),采用传统方法处理复杂的化探数据效果并不理想.化探数据具有从区域尺度上进行矿床学宏观研究的优势,可以揭示元素在区域上的分布规律及元素组合特征,从而为找矿勘查提供重要指导(Cheng et al.,1994;Pourgholam et al.,2020;Yang et al.,2017).分形模型能够定量表征非线性地质异常强度(成秋明,2006;Cheng,2007),因而被广泛运用于地球化学数据的处理分析中,可以反映不同金属元素的富集程度(Alipour et al.,2020;Aliyari et al.,2020;Wang et al.,2010a,2010b;Yang et al.,2015,2017;Yasrebi et al.,2019).因子分析是一种多元分析的数学方法,可减少多元数据中变量维数,突出多元数据中不明显的元素组合,强化矿床在表壳尺度直观的化学显示,揭示不同类型矿化的元素组合及其得分分布(Cheng et al.,1994;Fyzollahhi et al.,2018;Yang et al.,2017). ...
Geochemical mineralization probability index (GMPI):A new approach to generate enhanced stream sediment geochemical evidential map for increasing probability of success in mineral potential mapping
1
2012
... 因子分析作为识别矿化相关元素组合的多元统计方法,可以剔除冗杂的不相关变量,从而得到可靠的因子载荷(Treiblmaier et al.,2010;Yousefi et al.,2012,2014).进行因子分析的前提条件是所选数据的相关关系必须通过Bartlett球度检验和KMO检验.通过检验,得到本次地球化学数据的KMO值为0.91,数据的Bartlett球度检验也符合因子分析的条件.主成分分析法(PCA)是因子分析的经典方法,其基于最大方差对组合数据进行旋转解析提取主要载荷.本研究选取每个因子中特征值大于0.5的元素得到各因子的元素组合(表1),主因子F1~F5元素组合分别为Co-Cr-Cu-Ni-Ti-V-Zn、As-Hg-Sb、Bi-Sn-W、Ba-Pb和Au. ...
Application of staged factor analysis and logistic function to create a fuzzy stream sediment geochemical evidence layer for mineral prospectivity mapping
1
2014
... 因子分析作为识别矿化相关元素组合的多元统计方法,可以剔除冗杂的不相关变量,从而得到可靠的因子载荷(Treiblmaier et al.,2010;Yousefi et al.,2012,2014).进行因子分析的前提条件是所选数据的相关关系必须通过Bartlett球度检验和KMO检验.通过检验,得到本次地球化学数据的KMO值为0.91,数据的Bartlett球度检验也符合因子分析的条件.主成分分析法(PCA)是因子分析的经典方法,其基于最大方差对组合数据进行旋转解析提取主要载荷.本研究选取每个因子中特征值大于0.5的元素得到各因子的元素组合(表1),主因子F1~F5元素组合分别为Co-Cr-Cu-Ni-Ti-V-Zn、As-Hg-Sb、Bi-Sn-W、Ba-Pb和Au. ...
西秦岭中寨—十里铺地区水系沉积物测量找矿效果
1
2017
... 西秦岭位于秦岭造山带的西延部分,是一个“碰撞—陆内型”复合造山带,其北部和南部分别以深大断裂为界夹持于祁连造山带与松潘—甘孜褶皱带之间[图1(a)](冯益民等,2003;张国伟等,2001).分别以合作—岷县—宕昌断裂(F1)和迭部—成县—略阳断裂(F2)为界,西秦岭造山带内部可划分为北、中、南3个亚带.复杂的地质—构造—岩浆活动背景造就了西秦岭巨大的成矿规模和丰富的成矿类型,产出了大量金、铜、铅—锌、钨—锡矿床[图1(b)](陈彩华等,2017;段永民等,2007;董运如等,2019;柯昌辉等,2020;刘建宏等,2006;吕喜旺等,2017). ...
西秦岭地区卡林—类卡林型金矿床及其成矿时间、构造背景和模式
1
2004
... 岷礼成矿带位于甘肃省岷县—礼县一带,大地构造位置处于西秦岭造山带中段,是陆内造山—成矿耦合的关键部位.区内复杂的地质构造背景和晚三叠纪大规模的岩浆侵入,造就了巨大的成矿规模和丰富的成矿类型(刘建宏等,2006).目前岷礼成矿带已经取得了一系列找矿勘查成果,已发现众多具有一定规模的金矿,如寨上、锁龙和马坞等金矿床,以及一系列金、铜、铅—锌和钨—锡矿化点.然而,对于区域上金多金属矿化的控矿因素尚存有争议,总体上持有2种观点:一种是岩体控矿(陈衍景等,2004;Liu et al.,2015);另一种是构造控矿(Deng et al.,2016;Goldfarb et al.,2019). ...
非线性成矿预测理论:多重分形奇异性—广义自相似性—分形谱系模型与方法
2
2006
... 勘查地球化学在该区前期的找矿工作中发挥了重要作用,但由于地球化学数据具有非线性、空间自相关性的特征(Cheng et al.,1994),采用传统方法处理复杂的化探数据效果并不理想.化探数据具有从区域尺度上进行矿床学宏观研究的优势,可以揭示元素在区域上的分布规律及元素组合特征,从而为找矿勘查提供重要指导(Cheng et al.,1994;Pourgholam et al.,2020;Yang et al.,2017).分形模型能够定量表征非线性地质异常强度(成秋明,2006;Cheng,2007),因而被广泛运用于地球化学数据的处理分析中,可以反映不同金属元素的富集程度(Alipour et al.,2020;Aliyari et al.,2020;Wang et al.,2010a,2010b;Yang et al.,2015,2017;Yasrebi et al.,2019).因子分析是一种多元分析的数学方法,可减少多元数据中变量维数,突出多元数据中不明显的元素组合,强化矿床在表壳尺度直观的化学显示,揭示不同类型矿化的元素组合及其得分分布(Cheng et al.,1994;Fyzollahhi et al.,2018;Yang et al.,2017). ...
... 多阶段成矿过程引起的地质异常会导致地球化学元素的偏正态分布,且水系沉积物地球化学数据是组合数据,代表一个封闭的数字系统,每个变量相互关联而非独立存在(成秋明,2006;Cheng et al.,1994,2007),在相关性研究之前先进行中间对数比率转换,即求出各变量的几何平均值后取原始数据与该变量几何平均值的比值的对数.以岷礼成矿带Au元素为例,变化范围、几何均值和标准差依次为0.1×10-9~51.0×10-9、2.11×10-9和2.39,其地球化学原始数据具有偏度且为非正态分布[图3(a)、3(b)].经转换后Au元素变化范围、几何均值和标准差依次为-1.32~1.38、-1.22和0.31的无量纲数据,数据偏度减小,趋于正态分布[图3(c)、3(d)]. ...
甘肃西秦岭地区当庆沟脑金钨矿床地球化学异常特征及找矿前景
1
2019
... 西秦岭位于秦岭造山带的西延部分,是一个“碰撞—陆内型”复合造山带,其北部和南部分别以深大断裂为界夹持于祁连造山带与松潘—甘孜褶皱带之间[图1(a)](冯益民等,2003;张国伟等,2001).分别以合作—岷县—宕昌断裂(F1)和迭部—成县—略阳断裂(F2)为界,西秦岭造山带内部可划分为北、中、南3个亚带.复杂的地质—构造—岩浆活动背景造就了西秦岭巨大的成矿规模和丰富的成矿类型,产出了大量金、铜、铅—锌、钨—锡矿床[图1(b)](陈彩华等,2017;段永民等,2007;董运如等,2019;柯昌辉等,2020;刘建宏等,2006;吕喜旺等,2017). ...
甘肃西秦岭地区代家庄铅锌矿床的发现及意义
1
2007
... 西秦岭位于秦岭造山带的西延部分,是一个“碰撞—陆内型”复合造山带,其北部和南部分别以深大断裂为界夹持于祁连造山带与松潘—甘孜褶皱带之间[图1(a)](冯益民等,2003;张国伟等,2001).分别以合作—岷县—宕昌断裂(F1)和迭部—成县—略阳断裂(F2)为界,西秦岭造山带内部可划分为北、中、南3个亚带.复杂的地质—构造—岩浆活动背景造就了西秦岭巨大的成矿规模和丰富的成矿类型,产出了大量金、铜、铅—锌、钨—锡矿床[图1(b)](陈彩华等,2017;段永民等,2007;董运如等,2019;柯昌辉等,2020;刘建宏等,2006;吕喜旺等,2017). ...
西秦岭造山带的演化、构造格局和性质
2
2003
... 西秦岭位于秦岭造山带的西延部分,是一个“碰撞—陆内型”复合造山带,其北部和南部分别以深大断裂为界夹持于祁连造山带与松潘—甘孜褶皱带之间[图1(a)](冯益民等,2003;张国伟等,2001).分别以合作—岷县—宕昌断裂(F1)和迭部—成县—略阳断裂(F2)为界,西秦岭造山带内部可划分为北、中、南3个亚带.复杂的地质—构造—岩浆活动背景造就了西秦岭巨大的成矿规模和丰富的成矿类型,产出了大量金、铜、铅—锌、钨—锡矿床[图1(b)](陈彩华等,2017;段永民等,2007;董运如等,2019;柯昌辉等,2020;刘建宏等,2006;吕喜旺等,2017). ...
... (a)西秦岭造山带构造格架(冯益民等,2003);(b)岷礼成矿带地质简图(肖林等,2007)1.新近纪/白垩纪;2.侏罗纪/三叠纪;3.二叠纪/石炭纪;4.泥盆纪/志留纪;5.吴家山岩群/鸳鸯镇蛇绿岩;6.三叠纪侵入岩;7.二叠纪侵入岩;8.超基性岩;9.地质界限/侵入岩体界限;10.区域断裂;11.金矿(点);12.铅锌矿(点);13.钨锡矿点;14.铜矿点 ...
西秦岭地区脉岩成因与金成矿关系——来自李坝金矿年代学、地球化学及Nd-Hf-S同位素的约束
1
2020
... 西秦岭位于秦岭造山带的西延部分,是一个“碰撞—陆内型”复合造山带,其北部和南部分别以深大断裂为界夹持于祁连造山带与松潘—甘孜褶皱带之间[图1(a)](冯益民等,2003;张国伟等,2001).分别以合作—岷县—宕昌断裂(F1)和迭部—成县—略阳断裂(F2)为界,西秦岭造山带内部可划分为北、中、南3个亚带.复杂的地质—构造—岩浆活动背景造就了西秦岭巨大的成矿规模和丰富的成矿类型,产出了大量金、铜、铅—锌、钨—锡矿床[图1(b)](陈彩华等,2017;段永民等,2007;董运如等,2019;柯昌辉等,2020;刘建宏等,2006;吕喜旺等,2017). ...
西藏班戈地区化探数据的多重分形特征及其成矿意义
1
2015
... 本研究基于C-A分形模型,实现了对岷礼成矿带Au、Cu、Pb、Zn、W和Sn 6种成矿元素的背景区和异常区的分离(图4和图5).其中,Cu、Pb、Zn和W元素具有背景区和异常区2个地球化学场[图4(b)~4(e)].Au和Sn元素具有多个层次的地球化学场[图4(a),图4(f)],表明Au和Sn元素具有更高的富集程度(柯贤忠等,2015;向中林等,2019).北亚带Au、Cu、Pb和Zn异常区大致可划分为2类:一类异常与区域晚三叠纪大规模侵入岩体有关,出露有锁龙金矿、马坞金矿和代家庄铅锌矿以及若干矿化点;另一类异常与区域复杂断裂—褶皱系统(岷县—宕昌断裂、迭部背斜)有关,出露有寨上超大型金矿和若干矿化点[图1,图5(a)~5(d)].W和Sn异常与“五朵金花”岩体具有很强的空间相关性,出露众多矿化点.中亚带和南亚带虽然有一定矿化元素异常显示,但只有南亚带迭部地区产出有金矿[图1(b)].以上单元素异常的发现,表明研究区南部迭部背斜具有良好的多金属找矿前景. ...
西秦岭成矿系列、成矿谱系研究及其找矿意义
2
2006
... 岷礼成矿带位于甘肃省岷县—礼县一带,大地构造位置处于西秦岭造山带中段,是陆内造山—成矿耦合的关键部位.区内复杂的地质构造背景和晚三叠纪大规模的岩浆侵入,造就了巨大的成矿规模和丰富的成矿类型(刘建宏等,2006).目前岷礼成矿带已经取得了一系列找矿勘查成果,已发现众多具有一定规模的金矿,如寨上、锁龙和马坞等金矿床,以及一系列金、铜、铅—锌和钨—锡矿化点.然而,对于区域上金多金属矿化的控矿因素尚存有争议,总体上持有2种观点:一种是岩体控矿(陈衍景等,2004;Liu et al.,2015);另一种是构造控矿(Deng et al.,2016;Goldfarb et al.,2019). ...
... 西秦岭位于秦岭造山带的西延部分,是一个“碰撞—陆内型”复合造山带,其北部和南部分别以深大断裂为界夹持于祁连造山带与松潘—甘孜褶皱带之间[图1(a)](冯益民等,2003;张国伟等,2001).分别以合作—岷县—宕昌断裂(F1)和迭部—成县—略阳断裂(F2)为界,西秦岭造山带内部可划分为北、中、南3个亚带.复杂的地质—构造—岩浆活动背景造就了西秦岭巨大的成矿规模和丰富的成矿类型,产出了大量金、铜、铅—锌、钨—锡矿床[图1(b)](陈彩华等,2017;段永民等,2007;董运如等,2019;柯昌辉等,2020;刘建宏等,2006;吕喜旺等,2017). ...
甘肃马坞金矿成矿流体特征及地质意义
1
2014
... 对水系沉积物地球化学数据进行因子分析处理后,能够有效识别区域地质背景与矿化的地球化学场(Afzal et al.,2016;Asadi et al.,2014;Yang et al.,2017).第一主因子F1(Co-Cr-Cu-Ni-Ti-V-Zn)受岩性控制,代表了区域上晚古生代变质岩系和元古宙结晶基底,F1元素组合含有Cu和Zn,铜、铅锌矿基本分布于晚古生代地层中F1高因子得分地区,表明区域上铜、锌矿化可能部分来源于该套地层[图6(a)].第二主因子F2(As-Hg-Sb)代表了常见的低温元素组合,主要受岷县—宕昌断裂和南亚带迭部背斜的控制,可能是浅成低温热液活动的记录[图6(b)].第三主因子F3(Bi-Sn-W)代表了常见的高温成矿元素组合,主要受北亚带“五朵金花”岩体和南亚带迭部背斜的控制,表明迭部背斜可能存在多期次(低温与高温)的岩浆热液活动,目前已知的“五朵金花”岩体附近存在大量钨—锡矿化,推测在迭部背斜深部具有钨—锡矿的找矿潜力[图6(c)].第四主因子F4(Ba-Pb)主要代表铅矿化,陇西县高因子得分可能是受金属元素向低海拔汇水盆地迁移的影响(图2),总体来说F4因子受北亚带“五朵金花”岩体和迭部背斜的控制,北亚带已发现大量有价值的铅锌矿化点,可以看出迭部地区多金属成矿潜力巨大[图6(d)].第五主因子F5只有Au元素,表明岷礼成矿带金矿化可能是相对独立事件,与已知的晚三叠纪岩浆侵入事件无太大关联,已有大量的矿床地球化学证据表明锁龙和马坞金矿是与“五朵金花”岩体有密切成因联系的(类)卡林型金矿(刘坤等,2014;刘天航,2017),但寨上金矿与已知岩体较远,考虑到其巨大的成矿规模,认为构造控矿的作用更明显. ...
甘肃锁龙金矿床地质地球化学特征及成矿规律
1
2017
... 对水系沉积物地球化学数据进行因子分析处理后,能够有效识别区域地质背景与矿化的地球化学场(Afzal et al.,2016;Asadi et al.,2014;Yang et al.,2017).第一主因子F1(Co-Cr-Cu-Ni-Ti-V-Zn)受岩性控制,代表了区域上晚古生代变质岩系和元古宙结晶基底,F1元素组合含有Cu和Zn,铜、铅锌矿基本分布于晚古生代地层中F1高因子得分地区,表明区域上铜、锌矿化可能部分来源于该套地层[图6(a)].第二主因子F2(As-Hg-Sb)代表了常见的低温元素组合,主要受岷县—宕昌断裂和南亚带迭部背斜的控制,可能是浅成低温热液活动的记录[图6(b)].第三主因子F3(Bi-Sn-W)代表了常见的高温成矿元素组合,主要受北亚带“五朵金花”岩体和南亚带迭部背斜的控制,表明迭部背斜可能存在多期次(低温与高温)的岩浆热液活动,目前已知的“五朵金花”岩体附近存在大量钨—锡矿化,推测在迭部背斜深部具有钨—锡矿的找矿潜力[图6(c)].第四主因子F4(Ba-Pb)主要代表铅矿化,陇西县高因子得分可能是受金属元素向低海拔汇水盆地迁移的影响(图2),总体来说F4因子受北亚带“五朵金花”岩体和迭部背斜的控制,北亚带已发现大量有价值的铅锌矿化点,可以看出迭部地区多金属成矿潜力巨大[图6(d)].第五主因子F5只有Au元素,表明岷礼成矿带金矿化可能是相对独立事件,与已知的晚三叠纪岩浆侵入事件无太大关联,已有大量的矿床地球化学证据表明锁龙和马坞金矿是与“五朵金花”岩体有密切成因联系的(类)卡林型金矿(刘坤等,2014;刘天航,2017),但寨上金矿与已知岩体较远,考虑到其巨大的成矿规模,认为构造控矿的作用更明显. ...
甘肃省岷县寨上金矿床白钨矿成因及找矿潜力
1
2017
... 西秦岭位于秦岭造山带的西延部分,是一个“碰撞—陆内型”复合造山带,其北部和南部分别以深大断裂为界夹持于祁连造山带与松潘—甘孜褶皱带之间[图1(a)](冯益民等,2003;张国伟等,2001).分别以合作—岷县—宕昌断裂(F1)和迭部—成县—略阳断裂(F2)为界,西秦岭造山带内部可划分为北、中、南3个亚带.复杂的地质—构造—岩浆活动背景造就了西秦岭巨大的成矿规模和丰富的成矿类型,产出了大量金、铜、铅—锌、钨—锡矿床[图1(b)](陈彩华等,2017;段永民等,2007;董运如等,2019;柯昌辉等,2020;刘建宏等,2006;吕喜旺等,2017). ...
多重分形模式下多元素综合地球化学异常的提取
1
2019
... 本研究基于C-A分形模型,实现了对岷礼成矿带Au、Cu、Pb、Zn、W和Sn 6种成矿元素的背景区和异常区的分离(图4和图5).其中,Cu、Pb、Zn和W元素具有背景区和异常区2个地球化学场[图4(b)~4(e)].Au和Sn元素具有多个层次的地球化学场[图4(a),图4(f)],表明Au和Sn元素具有更高的富集程度(柯贤忠等,2015;向中林等,2019).北亚带Au、Cu、Pb和Zn异常区大致可划分为2类:一类异常与区域晚三叠纪大规模侵入岩体有关,出露有锁龙金矿、马坞金矿和代家庄铅锌矿以及若干矿化点;另一类异常与区域复杂断裂—褶皱系统(岷县—宕昌断裂、迭部背斜)有关,出露有寨上超大型金矿和若干矿化点[图1,图5(a)~5(d)].W和Sn异常与“五朵金花”岩体具有很强的空间相关性,出露众多矿化点.中亚带和南亚带虽然有一定矿化元素异常显示,但只有南亚带迭部地区产出有金矿[图1(b)].以上单元素异常的发现,表明研究区南部迭部背斜具有良好的多金属找矿前景. ...
(合作镇)岷县幅1∶25万区域地质调查报告(I48C002002)
1
2007
... (a)西秦岭造山带构造格架(冯益民等,2003);(b)岷礼成矿带地质简图(肖林等,2007)1.新近纪/白垩纪;2.侏罗纪/三叠纪;3.二叠纪/石炭纪;4.泥盆纪/志留纪;5.吴家山岩群/鸳鸯镇蛇绿岩;6.三叠纪侵入岩;7.二叠纪侵入岩;8.超基性岩;9.地质界限/侵入岩体界限;10.区域断裂;11.金矿(点);12.铅锌矿(点);13.钨锡矿点;14.铜矿点 ...
1
2001
... 西秦岭位于秦岭造山带的西延部分,是一个“碰撞—陆内型”复合造山带,其北部和南部分别以深大断裂为界夹持于祁连造山带与松潘—甘孜褶皱带之间[图1(a)](冯益民等,2003;张国伟等,2001).分别以合作—岷县—宕昌断裂(F1)和迭部—成县—略阳断裂(F2)为界,西秦岭造山带内部可划分为北、中、南3个亚带.复杂的地质—构造—岩浆活动背景造就了西秦岭巨大的成矿规模和丰富的成矿类型,产出了大量金、铜、铅—锌、钨—锡矿床[图1(b)](陈彩华等,2017;段永民等,2007;董运如等,2019;柯昌辉等,2020;刘建宏等,2006;吕喜旺等,2017). ...