煤矿下山巷道是指位于开采水平以下的巷道群体,在煤矿岩石巷道中数量仅次于水平巷道,且多聚集在采区,是采掘接替的“咽喉”和开采煤矿的重要通道之一,因此,提高下山巷道掘进速度对保证采区的正常接续具有非常重要的意义[1 ] 。在巷道开挖过程中,我国通常使用钻爆法施工,然而当前煤矿普遍存在掘进进尺短、炮孔利用率低、岩石碎块抛掷远和爆堆不集中的问题,不仅影响了下山巷道的掘进效率,还降低了围岩支护的安全稳定性,严重影响了开采区的正常连续工作[2 ,3 ,4 ,5 ,6 ] 。煤矿井下只能采用与煤矿瓦斯等级相对应的三级煤矿许用炸药(三级煤矿许用水胶炸药或乳化炸药),炸药爆破威力小,破岩能力弱。据相关资料统计,目前国内煤矿岩石下山巷道施工仍以1.8~2.0 m浅孔爆破为主,采用Ф 40 mm钎头配Ф 35 mm药卷或Ф 32 mm钎头配Ф 27~29 mm药卷,平均炮孔利用率为70%~80%,平均循环进尺为1.4~1.6 m,月平均进尺只有60 m左右;部分巷道采用2.0~2.2 m的中深孔爆破,效果也普遍不理想,当岩石较软时,进尺能达到1.8 m左右,但当岩石硬度f >8时,单炮进尺减小到1.2 m左右,甚至更低[7 ,8 ,9 ,10 ,11 ] 。
影响下山巷道掘进效率的因素有很多,其中装药结构中的不耦合系数是一个重要的因素。耦合装药炸药利用率最高,但对孔壁周围岩石破坏较严重,会形成很大的粉碎区。煤矿下山巷道施工作业空间小、环境差,爆破形成较多的岩粉会对施工人员造成更大的潜在伤害;且为了施工和装药方便,炸药一般采用固定尺寸药卷,采用钻杆钎头直径大于炸药直径,施工过程本身就是空气不耦合装药。对于不耦合装药爆破,杜俊林等[12 ,13 ] 通过理论分析研究了水不耦合和空气不耦合装药结构时炮孔孔壁的冲击压力;宗琦等[14 ,15 ] 对水不耦合介质孔壁冲击压力和岩石破坏范围进行理论分析和现场试验;此外,一些学者采用数值模拟分析了水不耦合炸药的破岩机理和裂纹扩展[16 ,17 ,18 ,19 ] ;程兵等[20 ] 采用非线性数值模拟平台研究了不同不耦合系数下同心与偏心不耦合装药单个炮孔周围应力场分布及裂纹扩展规律;程俊飞等[21 ] 提出固液气三相分析爆破模型理论,分析了目前隧道钻爆施工中水与空气不耦合装药介质优选的问题;孙磊等[22 ] 将水不耦合装药应用在煤矿巷道施工,取得较好的效果;顾文彬等[23 ] 对耦合、空气不耦合和水不耦合装药结构进行了分析,并进行了现场爆破震动测试,发现水不耦合装药结构能够降低爆破震动,减小爆破粉尘危害,且块度更均匀。
为了减小岩体结构对水不耦合装药爆破的影响,研究水不耦合装药结构爆炸时岩石中爆炸应力波的分布特性,本文从理论上分析炮孔所受爆生气体准静峰值压力随空气和水径向不耦合装药系数的变化规律,并通过超动态应变仪采集水泥砂浆爆破模型预埋应变片在空气和水径向不耦合及爆破荷载作用下的动态响应,揭示了不同耦合系数装药爆破时炮孔周围应力的分布以及在模型体中的传播特性。
1 不耦合装药爆生气体准静压力分析
1.1 径向空气不耦合装药
径向空气不耦合起爆时产生的爆生气体迅速膨胀,空气可压缩性大,其对爆生气体膨胀的阻尼作用可忽略,爆生气体作用在孔壁上的准静压力值与不耦合系数之间的关系为[9 ]
P 0 = n 1 8 ρ e D 2 ( d c d b ) 6 = n 1 8 ρ e D 2 K d - 6 (1)
式中:P 0 为炮孔所受准静气体压力;K d 为不耦合系数;ρ e 和D 分别为炸药的密度和爆速;d c 和d b 分别为装药直径和炮孔直径;n 为爆轰产物碰撞炮孔壁时压力增加的倍数,n =8~11。
不耦合系数是一个不小于1的数,在其他参数不变的情况下,爆生气体峰值压力随着不耦合系数的增加而减小。
1.2 径向水不耦合装药
炮孔径向水不耦合装药起爆时,爆生气体产物膨胀压缩炮孔水介质,一般压力下水几乎是不可压缩的,在爆炸高压作用下水可压缩,但压缩的程度远比空气小;水介质被压缩,密度增大,压力升高。当爆轰产物的压力等于水的压力时,膨胀压缩过程结束,则该过程炮孔所受到的压力峰值随不耦合系数的关系推导如下:
ρ ' w = ( r b 2 - r c 2 ) ρ w r b 2 - ( r c + δ ) 2 (2)
式中:ρ w 为水的原始密度;r b 为炮孔直径,r c 为装药直径。
ρ ' w = ( K d 2 - 1 ) ρ w K d 2 - ( r c + δ r c ) 2 (3)
P x = n 1 8 ρ e D 2 ( r c r c + x ) 6 (4)
式中:x 为水的径向压缩量。达到平衡状态(即x=δ )时的爆生气体压力为
P x = n 1 8 ρ e D 2 ( r c r c + δ ) 6 (5)
P b = n 1 8 ρ e D 2 K d 2 - ( K d 2 - 1 ) ρ w ρ ' w - 6 (6)
P b = n 1 8 ρ e D 2 K d 2 ( 1 - ρ w ρ ' w ) + ρ w ρ ' w - 6 (7)
式中:P b 为采用水耦合装药产生的爆生气体压力峰值。
由式(7)可知,水介质经爆炸应力波压缩后的密度显然比原始密度要大,所以(1-ρ w /ρw ´ )是一个正数,随着不耦合系数的增大,K d 2 ( 1 - ρ w ρ ' w ) + ρ w ρ ' w - 6 的值逐渐变小,在其他参数不变的情况下,爆生气体峰值压力随着不耦合系数的增加而减小。将式(1)与式(6)做商可得
P b P 0 = 1 - ( 1 - 1 K d 2 ) ρ w ρ ' w - 6 (8)
由式(2)可知,ρ w ´ 大于ρ w ,所以(ρ w /ρw ´ )<1,不耦合系数K d >1,其平方的倒数1/K d 2 一定小于1且为正数,(1-1/K d 2 )<1,那么(ρ w /ρw ´ )与(1-1/K d 2 )的乘积一定小于1;1减去一个小于1的正数也一定小于1,从而推导出P b /P 0 >1,即对于同一不耦合系数,采用水不耦合装药产生爆生气体压力峰值大于空气不耦合。
2 模型试验结果及分析
2.1 模型试验
采用八公山42.5#普通硅酸盐水泥,浇筑尺寸为350 mm×450 mm×700 mm的水泥砂浆模型,模型由水泥、砂和水按照2∶4∶1的比例搅拌浇筑而成,砂浆的静态物理力学参数如表1 所示。
在砂浆模型体中心预留孔深为180 mm,孔径分别为10,12,14,16 mm的炮孔。在模型体内4个测点预埋布置应变砖,应变片型号为BX120-5AA,阻值为120 Ω,灵敏系数为2.08,应变片布置如图1 所示。每个炮孔装一发Ф 6×36 mm,含0.3 gDDNP(ρ e =1.0 g/cm3 ,爆速D =4 200 m/s,爆热Q =4 000 kJ/kg)的实验雷管。当采用水耦合装药结构时装药后炮孔内注满水。
图1
图1
应变片布置与混凝土模型示意图
Fig.1
Schematic diagram of strain gauge layout and concrete model
采用TST3406动态测试分析仪和CS-1D超动态电阻应变仪采集模型体中不同测点应变片在水不耦合装药与空气不耦合装药爆炸时的应力波,得到典型应力波波形如图2 所示,各点应力波峰值汇总见表2 。
图2
图2
Φ 12 mm炮孔不耦合装药应力波形图
Fig.2
Stress wave shape diagram of Φ 12 mm decouple charge
对比图2 (a)和图2 (b)可知,在采用相同不耦合系数爆破砂浆模型时,水不耦合装药爆炸应力波形类似矩形波,应力波峰值有较长的平台段,经历平台段以后,应力波迅速下降,后上升,再一次临近应力峰值后衰减为水平段;而空气不耦合装药爆炸应力波形类似正弦波形,但作用时间较短,峰值应力迅速上升后下降,后上升至水平段,后期波形有波动,但波动较小。
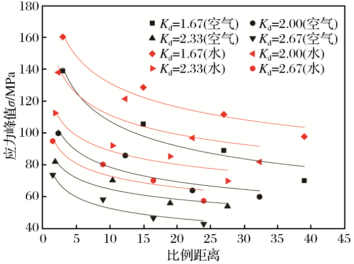
2.2 峰值应力与测点到炮孔比例距离的关系
根据表2 的测点数据,得出不同耦合介质在不耦合系数变化作用下,应变片测试峰值强度随测点到炮孔比例距离变化的衰减关系如图3 所示。
图3
图3
应力峰值随比例距离衰减曲线
Fig.3
Attenuation curve of stress peak value with borehole distance
σ ( 空 , 1.67 ) = 181.182 r ¯ - 0.23 ( R 2 = 0.91 ) σ ( 空 , 2.00 ) = 119.173 r ¯ - 0.18 R 2 = 0.80 ) σ ( 空 , 2.33 ) = 91.60 r ¯ - 0.15 ( R 2 = 0.86 ) σ ( 空 , 2.67 ) = 80.62 r ¯ - 0.18 ( R 2 = 0.93 ) σ ( 水 , 1.67 ) = 197.373 r ¯ - 0.18 ( R 2 = 0.95 ) σ ( 水 , 2.00 ) = 163.845 r ¯ - 0.17 ( R 2 = 0.76 ) σ ( 水 , 2.33 ) = 125.229 r ¯ - 0.15 ( R 2 = 0.87 ) σ ( 水 , 2.67 ) = 102.997 r ¯ - 0.15 ( R 2 = 0.82 ) (9)
由图3 和式(9)可知,随着测点到炮孔比例距离的增加,水泥砂浆模型中各测点处应力峰值呈负幂函数衰减;对于同一种不耦合介质,随着不耦合系数的增加,幂函数的系数呈减小的趋势,各测点的峰值应力减小,表明不耦合系数对爆炸初始应力的影响非常显著,与式(1)和式(7)的表述相一致。对于同一不耦合系数,在水不耦合介质作用下,拟合曲线系数大于空气不耦合装药,砂浆模型内各测点的应力大于空气不耦合介质,与式(8)所得结论相一致,炮孔周围采用水介质不耦合装药,可以起到更好的传能作用,能够提高爆炸能量的利用率。结合式(9)可知,当爆炸能量传递到砂浆介质以后,应力波在砂浆中衰减的规律具有相似性,负幂次方变化不大,表明测试结果是准确的。
2.3 峰值应力与不耦合系数的关系
同一不耦合介质,装药爆破时砂浆模型体内各应变片测点峰值应力与不耦合系数之间的关系如图4 所示。
图4
图4
应力峰值随不耦合系数衰减曲线
Fig.4
Attenuation curve of stress peak value with uncoupled coefficient
应变片测点所测峰值强度随不耦合系数衰减拟合曲线公式为
σ ( 空 , 测 点 1 ) = 288.049 K d - 1.46 ( R 2 = 0.96 ) σ ( 水 , 测 点 1 ) = 287.112 K d - 1.10 ( R 2 = 0.98 ) σ ( 空 , 测 点 2 = 202.541 K d - 1.25 ( R 2 = 0.99 ) σ ( 水 , 测 点 2 ) = 224.523 K d - 1.01 ( R 2 = 0.86 ) σ ( 空 , 测 点 3 ) = 179.705 K d - 1.40 ( R 2 = 0.97 ) σ ( 水 , 测 点 3 ) = 182.933 K d - 0.93 ( R 2 = 0.97 ) σ ( 空 , 测 点 4 ) = 116 . . 433 K d - 0.97 ( R 2 = 0.95 ) σ ( 水 , 测 点 4 ) = 172.955 K d - 1.09 ( R 2 = 0.99 ) (10)
由图4 和式(10)可知,随着不耦合系数的增加,砂浆模型体中各应变片测点处应力峰值呈负幂函数衰减。对于水不耦合装药爆破测点峰值应力随着不耦合系数衰减,衰减指数始终保持在-1左右,而空气不耦合装药爆破衰减指数绝对值都大于1,其衰减速度较快。其原因是,水不耦合装药爆破应力峰值较空气不耦合高,即更多的爆炸能量作用在岩石破碎上,由于水的压缩过程较空气压缩过程需要更多的时间,使得爆炸应力做功时间即应力峰值对水泥砂浆模型持续作用时间较长,能量可以较好地进行补充,所以水不耦合装药爆炸应力波衰减的速度小于空气不耦合装药结构。
3 现场应用
以贵州某煤矿下山巷道底抽巷为例,普掘队按照设计以梯形掘进断面实施掏槽爆破,采用Ф 42 mm钎头配Ф 32 mm药卷,不耦合系数约为1.3,炮孔数在56~64之间,每循环所需炸药量为48~54 kg,钻孔深度约为2 m,掏槽孔深度为2.1~2.2 m,如图5 (c)所示。爆破效果具体如下:爆破循环进尺为1.5~1.6 m;光爆成型较差,巷道成型差,孔痕率很低;常规循环进尺,炮孔利用率维持在75%~80%,较好时炮孔利用率为85%;岩石破碎效果较差,抛掷距离较远(25~40 m),破碎块度大,爆堆较分散,出渣效率低,并使迎头附近机械化设施损失较为严重,不利于掘进机械化作业。
图5
图5
下山巷道水不耦合装药爆破掘进效果图
Fig.5
Excavation effect diagram of water decoupling charge blasting in downhill roadway
结合理论分析与水泥砂浆模型体爆破模型研究,对现场试验原有爆破工艺进行改进,由于该煤矿属于高瓦斯矿井,需要按照要求填堵水炮泥,具体做法是在现场装药完成后,向炮孔中注水,然后封堵炮泥,爆破效果如图5 所示。爆破效果具体如下:爆破循环进尺为1.85~1.90 m;光爆成型较好,巷道两帮较平整,孔痕率为60%,效果较好,如图5 (e)所示;炮孔利用率维持在88%~95%,崩落孔与掏槽孔基本无剩余,如图5 (d)所示;岩石破碎效果较好,破碎块度较小,爆堆集中,提高了出渣效率,缩短了出渣时间,岩石抛掷距离减小为12~18 m。
4 结论
(1)从理论上分析得到了炮孔径向水不耦合装药爆生气体准静压力随不耦合系数的增大而减小;不耦合系数相同时,水不耦合装药爆生气体准静压力大于空气不耦合装药。
(2)不耦合系数相同时,模型试验测得同一测点的水不耦合峰值应力是空气不耦合峰值应力的1.15~1.52倍;水不耦合峰值应力作用时间长于空气不耦合装药,随着不耦合系数的增加,炮孔处爆炸应力波的峰值压力呈负幂函数衰减,与理论推导相一致。
(3)随着测点到炮孔比例距离的增加,水不耦合装药与空气不耦合装药爆破模型试验测得的应力波均呈负幂函数衰减,空气不耦合装药衰减更快。将水不耦合装药用于煤矿下山巷道爆破,取得了较好的爆破效果。
参考文献
View Option
[1]
马宏伟 ,王梦想 ,宗琦 ,等 .关于煤矿下山巷道掘进全断面一次爆破若干技术问题研究
[J].安徽理工大学学报(自然科学版) ,2016 ,36 (5 ):11 -14 .
[本文引用: 1]
Ma Hongwei ,Wang Mengxiang ,Zong Qi ,et al .Research on several technical problems of whole section primary blasting in diphead roadway of coalmine
[J].Journal of Anhui University of Science and Technology(Natural Science) ,2016 ,36 (5 ):11 -14 .
[本文引用: 1]
[2]
汪海波 ,魏国力 ,宗琦 ,等 .节理发育岩体巷道掘进爆破数值模拟与应用研究
[J].黄金科学技术 ,2018 ,26 (3 ):342 -348 .
[本文引用: 1]
Wang Haibo ,Wei Guoli ,Zong Qi ,et al .Numerical simulation and application research on joint development rock roadway blasting excavation
[J].Gold Science and Technology ,2018 ,26 (3 ):342 -348 .
[本文引用: 1]
[3]
胡桂英 ,刘科伟 ,杜鑫 ,等 .光面掏槽爆破技术的研究及其在巷道掘进中的应用
[J].黄金科学技术 ,2018 ,26 (3 ):349 -356 .
[本文引用: 1]
Hu Guiying ,Liu Kewei ,Du Xin ,et al .Research on smooth-cutting method and its application in tunnel excavation
[J].Gold Science and Technology ,2018 ,26 (3 ):349 -356 .
[本文引用: 1]
[4]
李延春 ,刘洪强 .煤矿下山巷道爆破掘进技术试验研究
[J].岩土力学 ,2012 ,33 (1 ):35 -41 .
[本文引用: 1]
Li Yanchun ,Liu Hongqiang .Experimental study of blasting technology of dip roadway excavation in coal mine
[J].Rock and Soil Mechanics ,2012 ,33 (1 ):35 -41 .
[本文引用: 1]
[5]
黄健利 ,郝生雷 .长距离大下山巷道掘进中机械化普掘设备设施改良研究
[J].煤炭工程 ,2012 ,44 (10 ):38 -42 .
[本文引用: 1]
Huang Jianli ,Hao Shenglei .Study on modification of mechanized conventional heading equipment and facilities applied to long distance dip roadway heading
[J].Coal Engineering ,2012 ,44 (10 ):38 -42 .
[本文引用: 1]
[6]
宗琦 ,郝飞 .提高岩巷掘进爆破速度和质量的若干技术问题
[J].中国煤炭 ,2014 ,30 (10 ):39 -42 .
[本文引用: 1]
Zong Qi ,Hao Fei .Several technical problems in improving the speed and quality of rock tunneling blasting
[J].China Coal ,2014 ,30 (10 ):39 -42 .
[本文引用: 1]
[7]
李云志 ,王敏 .大断面岩巷下山快速掘进技术研究与应用
[J].山东煤炭科技 ,2009 (4 ):101 ,103 .
[本文引用: 1]
Li Yunzhi ,Wang Min .Research and application of rapid excavation technology for large section rock roadway
[J].Shandong Coal Science and Technology ,2009 (4 ):101 ,103 .
[本文引用: 1]
[8]
姚绍强 ,朱昌存 ,裴守辉 ,等 .岩巷下山施工技术探讨
[J].河北能源职业技术学院学报 ,2003 ,9 (4 ):66 -68 .
[本文引用: 1]
Yao Shaoqiang ,Zhu Changcun ,Pei Shouhui ,et al .Discuss the constructing technique of down-dip rock heading
[J].Journal of Hebei Energy Institute of Vocation and Technology ,2003 ,9 (4 ):66 -68 .
[本文引用: 1]
[9]
葛沐曦 .高瓦斯矿井深部下山全断面爆破技术试验研究
[J].煤矿开采 ,2008 ,13 (5 ):45 -47 .
[本文引用: 2]
Ge Muxi .Test research on full section blasting slant roadway in deep mine with high-content gas
[J].Coal Mining Technology ,2008 ,13 (5 ):45 -47 .
[本文引用: 2]
[10]
王兴泉 ,郭传清 .西翼轨道下山软岩段光面爆破施工技术研究
[J].煤矿现代化 ,2008 (5 ):15 -16 .
[本文引用: 1]
Wang Xingquan ,Guo Chuanqing .Research of smooth blasting construction technology for dip soft rock of west side track
[J].Coal Mine Modernization ,2008 (5 ):15 -16 .
[本文引用: 1]
[11]
胡建华 ,杨春 ,周炳任 ,等 .巷道压顶光面爆破裂隙扩展模拟及参数优化
[J].黄金科学技术 ,2017 ,25 (2 ):45 -43 .
[本文引用: 1]
Hu Jianhua ,Yang Chun ,Zhou Bingren ,et ,al .Simulation of fracture propagation and optimization of parameters for smooth blasting of coping in roadway
[J].Gold Science and Technology ,2017 ,25 (2 ):45 -43 .
[本文引用: 1]
[12]
杜俊林 ,罗云滚 .水不耦合炮孔装药爆破冲击波的形成和传播
[J].岩土力学 ,2003 ,24 (增2 ):616 -618 .
[本文引用: 1]
Du Junlin ,Luo Yungun .Study of formation and propagation of shockwave with water-uncouple charge blasting in hole
[J].Rock and Soil Mechanics ,2003 ,24 (Supp.2 ):616 -618 .
[本文引用: 1]
[13]
杜俊林 ,罗强 ,宗琦 .空气不耦合装药爆破孔壁冲击压力分析
[J].西安科技大学学报 ,2005 ,25 (3 ):306 -310 .
[本文引用: 1]
Du Junlin ,Luo Qiang ,Zong Qi .Analysis on preliminary shock pressure on borehole of air-de-coupling charging
[J].Journal of Xi’an University of Science and Technology ,2005 ,25 (3 ):306 -310 .
[本文引用: 1]
[14]
宗琦 ,田立 ,汪海波 .水介质不耦合装药爆破岩石破坏范围的研究和应用
[J].爆破 ,2012 ,29 (2 ):42 -46 .
[本文引用: 1]
Zong Qi ,Tian Li ,Wang Haibo .Study and application on rock damage range by blasting with water-decoupled charge
[J].Blasting ,2012 ,29 (2 ):42 -46 .
[本文引用: 1]
[15]
宗琦 ,李永池 ,徐颖 .炮孔水耦合装药爆破孔壁冲击压力研究
[J].水动力学研究与进展 ,2004 ,19 (5 ):610 -615 .
[本文引用: 1]
Zong Qi ,Li Yongchi ,Xu Ying .Preliminary discussion on shock pressure on hole wall when water-couple charge blasting in the hole
[J].Journal of Hydrodynamics ,2004 ,19 (5 ):610 -615 .
[本文引用: 1]
[16]
颜事龙 ,徐颖 .水耦合装药爆破破岩机理的数值模拟研究
[J].地下空间与工程学报 ,2005 ,1 (6 ):921 -924 .
[本文引用: 1]
Yan Shilong ,Xu Ying .Numerical simulation of water-coupled charge rock blasting mechanism
[J].Chinese Journal of Underground Space and Engineering ,2005 ,1 (6 ):921 -924 .
[本文引用: 1]
[17]
过江 ,崔文强 ,陈辉 .不同耦合介质光面爆破裂纹发展数值分析
[J].黄金科学技术 ,2016 ,24 (1 ):68 -75 .
[本文引用: 1]
Guo Jiang ,Cui Wenqiang ,Chen Hui .Numerical analysis of the smooth blasting crack development under different coupling medium
[J].Gold Science and Technology ,2016 ,24 (1 ):68 -75 .
[本文引用: 1]
[18]
朱飞昊 ,刘泽功 ,刘健 ,等 .松软煤层水不耦合装药预裂爆破的力学特性数值分析
[J].中国安全生产科学技术 ,2018 ,14 (5 ):124 -129 .
[本文引用: 1]
Zhu Feihao ,Liu Zegong ,Liu Jian ,et al .Numerical analysis on mechanical properties of presplitting blasting with water uncoupled charge in soft coal seam
[J].Journal of Safety Science and Technology ,2018 ,14 (5 ):124 -129 .
[本文引用: 1]
[19]
闫国斌 ,于亚伦 .空气与水介质不耦合装药爆破数值模拟
[J].工程爆破 ,2009 ,15 (4 ):13 -19 .
[本文引用: 1]
Yan Guobin ,Yu Yalun .Numerical simulation of air and water medium decoupling charge blasting
[J].Engineering Blasting ,2009 ,15 (4 ):13 -19 .
[本文引用: 1]
[20]
程兵 ,汪海波 ,王梦想 ,等 .炮孔偏心不耦合装药爆破效应数值模拟
[J].中国安全生产科学技术 ,2018 ,14 (7 ):40 -47 .
[本文引用: 1]
Cheng Bing ,Wang Haibo ,Wang Mengxiang ,et al .Numerical simulation on blasting effect of blast hole with eccentric decouple charge
[J].Journal of Safety Science and Technology ,2018 ,14 (7 ):40 -47 .
[本文引用: 1]
[21]
程俊飞 ,张长亮 ,罗志光 .水不耦合装药爆破模型推导及爆破效果分析
[J].地下空间与工程学报 ,2017 ,13 (6 ):1616 -1623 .
[本文引用: 1]
Cheng Junfei ,Zhang Changliang ,Luo Zhiguang .Analysis on water decoupling charge on blasting model and blasting effect
[J].Chinese Journal of Underground Space and Engineering ,2017 ,13 (6 ):1616 -1623 .
[本文引用: 1]
[22]
孙磊 ,任庆峰 ,宗琦 .水不耦合装药结构在煤矿井巷掘进光面爆破中的应用
[J].爆破 ,2010 ,27 (3 ):25 -28 .
[本文引用: 1]
Sun Lei ,Ren Qingfeng ,Zong Qi .Application of water-decoupled charge in smooth blasting of coal mine rock tunnel
[J].Blasting ,2010 ,27 (3 ):25 -28 .
[本文引用: 1]
[23]
顾文彬 ,王振雄 ,陈江海 ,等 .装药结构对爆破震动能量传递及爆破效果影响研究
[J].振动与冲击 ,2016 ,35 (2 ):207 -211 .
[本文引用: 1]
Gu Wenbin ,Wang Zhenxiong ,Chen Jianghai ,et al .Influence of charge structure on the energy transfer of blasting vibration and explosive effect
[J].Journal of Vibration and Shock ,2016 ,35 (2 ):207 -211 .
[本文引用: 1]
关于煤矿下山巷道掘进全断面一次爆破若干技术问题研究
1
2016
... 煤矿下山巷道是指位于开采水平以下的巷道群体,在煤矿岩石巷道中数量仅次于水平巷道,且多聚集在采区,是采掘接替的“咽喉”和开采煤矿的重要通道之一,因此,提高下山巷道掘进速度对保证采区的正常接续具有非常重要的意义[1 ] .在巷道开挖过程中,我国通常使用钻爆法施工,然而当前煤矿普遍存在掘进进尺短、炮孔利用率低、岩石碎块抛掷远和爆堆不集中的问题,不仅影响了下山巷道的掘进效率,还降低了围岩支护的安全稳定性,严重影响了开采区的正常连续工作[2 ,3 ,4 ,5 ,6 ] .煤矿井下只能采用与煤矿瓦斯等级相对应的三级煤矿许用炸药(三级煤矿许用水胶炸药或乳化炸药),炸药爆破威力小,破岩能力弱.据相关资料统计,目前国内煤矿岩石下山巷道施工仍以1.8~2.0 m浅孔爆破为主,采用Ф 40 mm钎头配Ф 35 mm药卷或Ф 32 mm钎头配Ф 27~29 mm药卷,平均炮孔利用率为70%~80%,平均循环进尺为1.4~1.6 m,月平均进尺只有60 m左右;部分巷道采用2.0~2.2 m的中深孔爆破,效果也普遍不理想,当岩石较软时,进尺能达到1.8 m左右,但当岩石硬度f >8时,单炮进尺减小到1.2 m左右,甚至更低[7 ,8 ,9 ,10 ,11 ] . ...
关于煤矿下山巷道掘进全断面一次爆破若干技术问题研究
1
2016
... 煤矿下山巷道是指位于开采水平以下的巷道群体,在煤矿岩石巷道中数量仅次于水平巷道,且多聚集在采区,是采掘接替的“咽喉”和开采煤矿的重要通道之一,因此,提高下山巷道掘进速度对保证采区的正常接续具有非常重要的意义[1 ] .在巷道开挖过程中,我国通常使用钻爆法施工,然而当前煤矿普遍存在掘进进尺短、炮孔利用率低、岩石碎块抛掷远和爆堆不集中的问题,不仅影响了下山巷道的掘进效率,还降低了围岩支护的安全稳定性,严重影响了开采区的正常连续工作[2 ,3 ,4 ,5 ,6 ] .煤矿井下只能采用与煤矿瓦斯等级相对应的三级煤矿许用炸药(三级煤矿许用水胶炸药或乳化炸药),炸药爆破威力小,破岩能力弱.据相关资料统计,目前国内煤矿岩石下山巷道施工仍以1.8~2.0 m浅孔爆破为主,采用Ф 40 mm钎头配Ф 35 mm药卷或Ф 32 mm钎头配Ф 27~29 mm药卷,平均炮孔利用率为70%~80%,平均循环进尺为1.4~1.6 m,月平均进尺只有60 m左右;部分巷道采用2.0~2.2 m的中深孔爆破,效果也普遍不理想,当岩石较软时,进尺能达到1.8 m左右,但当岩石硬度f >8时,单炮进尺减小到1.2 m左右,甚至更低[7 ,8 ,9 ,10 ,11 ] . ...
节理发育岩体巷道掘进爆破数值模拟与应用研究
1
2018
... 煤矿下山巷道是指位于开采水平以下的巷道群体,在煤矿岩石巷道中数量仅次于水平巷道,且多聚集在采区,是采掘接替的“咽喉”和开采煤矿的重要通道之一,因此,提高下山巷道掘进速度对保证采区的正常接续具有非常重要的意义[1 ] .在巷道开挖过程中,我国通常使用钻爆法施工,然而当前煤矿普遍存在掘进进尺短、炮孔利用率低、岩石碎块抛掷远和爆堆不集中的问题,不仅影响了下山巷道的掘进效率,还降低了围岩支护的安全稳定性,严重影响了开采区的正常连续工作[2 ,3 ,4 ,5 ,6 ] .煤矿井下只能采用与煤矿瓦斯等级相对应的三级煤矿许用炸药(三级煤矿许用水胶炸药或乳化炸药),炸药爆破威力小,破岩能力弱.据相关资料统计,目前国内煤矿岩石下山巷道施工仍以1.8~2.0 m浅孔爆破为主,采用Ф 40 mm钎头配Ф 35 mm药卷或Ф 32 mm钎头配Ф 27~29 mm药卷,平均炮孔利用率为70%~80%,平均循环进尺为1.4~1.6 m,月平均进尺只有60 m左右;部分巷道采用2.0~2.2 m的中深孔爆破,效果也普遍不理想,当岩石较软时,进尺能达到1.8 m左右,但当岩石硬度f >8时,单炮进尺减小到1.2 m左右,甚至更低[7 ,8 ,9 ,10 ,11 ] . ...
节理发育岩体巷道掘进爆破数值模拟与应用研究
1
2018
... 煤矿下山巷道是指位于开采水平以下的巷道群体,在煤矿岩石巷道中数量仅次于水平巷道,且多聚集在采区,是采掘接替的“咽喉”和开采煤矿的重要通道之一,因此,提高下山巷道掘进速度对保证采区的正常接续具有非常重要的意义[1 ] .在巷道开挖过程中,我国通常使用钻爆法施工,然而当前煤矿普遍存在掘进进尺短、炮孔利用率低、岩石碎块抛掷远和爆堆不集中的问题,不仅影响了下山巷道的掘进效率,还降低了围岩支护的安全稳定性,严重影响了开采区的正常连续工作[2 ,3 ,4 ,5 ,6 ] .煤矿井下只能采用与煤矿瓦斯等级相对应的三级煤矿许用炸药(三级煤矿许用水胶炸药或乳化炸药),炸药爆破威力小,破岩能力弱.据相关资料统计,目前国内煤矿岩石下山巷道施工仍以1.8~2.0 m浅孔爆破为主,采用Ф 40 mm钎头配Ф 35 mm药卷或Ф 32 mm钎头配Ф 27~29 mm药卷,平均炮孔利用率为70%~80%,平均循环进尺为1.4~1.6 m,月平均进尺只有60 m左右;部分巷道采用2.0~2.2 m的中深孔爆破,效果也普遍不理想,当岩石较软时,进尺能达到1.8 m左右,但当岩石硬度f >8时,单炮进尺减小到1.2 m左右,甚至更低[7 ,8 ,9 ,10 ,11 ] . ...
光面掏槽爆破技术的研究及其在巷道掘进中的应用
1
2018
... 煤矿下山巷道是指位于开采水平以下的巷道群体,在煤矿岩石巷道中数量仅次于水平巷道,且多聚集在采区,是采掘接替的“咽喉”和开采煤矿的重要通道之一,因此,提高下山巷道掘进速度对保证采区的正常接续具有非常重要的意义[1 ] .在巷道开挖过程中,我国通常使用钻爆法施工,然而当前煤矿普遍存在掘进进尺短、炮孔利用率低、岩石碎块抛掷远和爆堆不集中的问题,不仅影响了下山巷道的掘进效率,还降低了围岩支护的安全稳定性,严重影响了开采区的正常连续工作[2 ,3 ,4 ,5 ,6 ] .煤矿井下只能采用与煤矿瓦斯等级相对应的三级煤矿许用炸药(三级煤矿许用水胶炸药或乳化炸药),炸药爆破威力小,破岩能力弱.据相关资料统计,目前国内煤矿岩石下山巷道施工仍以1.8~2.0 m浅孔爆破为主,采用Ф 40 mm钎头配Ф 35 mm药卷或Ф 32 mm钎头配Ф 27~29 mm药卷,平均炮孔利用率为70%~80%,平均循环进尺为1.4~1.6 m,月平均进尺只有60 m左右;部分巷道采用2.0~2.2 m的中深孔爆破,效果也普遍不理想,当岩石较软时,进尺能达到1.8 m左右,但当岩石硬度f >8时,单炮进尺减小到1.2 m左右,甚至更低[7 ,8 ,9 ,10 ,11 ] . ...
光面掏槽爆破技术的研究及其在巷道掘进中的应用
1
2018
... 煤矿下山巷道是指位于开采水平以下的巷道群体,在煤矿岩石巷道中数量仅次于水平巷道,且多聚集在采区,是采掘接替的“咽喉”和开采煤矿的重要通道之一,因此,提高下山巷道掘进速度对保证采区的正常接续具有非常重要的意义[1 ] .在巷道开挖过程中,我国通常使用钻爆法施工,然而当前煤矿普遍存在掘进进尺短、炮孔利用率低、岩石碎块抛掷远和爆堆不集中的问题,不仅影响了下山巷道的掘进效率,还降低了围岩支护的安全稳定性,严重影响了开采区的正常连续工作[2 ,3 ,4 ,5 ,6 ] .煤矿井下只能采用与煤矿瓦斯等级相对应的三级煤矿许用炸药(三级煤矿许用水胶炸药或乳化炸药),炸药爆破威力小,破岩能力弱.据相关资料统计,目前国内煤矿岩石下山巷道施工仍以1.8~2.0 m浅孔爆破为主,采用Ф 40 mm钎头配Ф 35 mm药卷或Ф 32 mm钎头配Ф 27~29 mm药卷,平均炮孔利用率为70%~80%,平均循环进尺为1.4~1.6 m,月平均进尺只有60 m左右;部分巷道采用2.0~2.2 m的中深孔爆破,效果也普遍不理想,当岩石较软时,进尺能达到1.8 m左右,但当岩石硬度f >8时,单炮进尺减小到1.2 m左右,甚至更低[7 ,8 ,9 ,10 ,11 ] . ...
煤矿下山巷道爆破掘进技术试验研究
1
2012
... 煤矿下山巷道是指位于开采水平以下的巷道群体,在煤矿岩石巷道中数量仅次于水平巷道,且多聚集在采区,是采掘接替的“咽喉”和开采煤矿的重要通道之一,因此,提高下山巷道掘进速度对保证采区的正常接续具有非常重要的意义[1 ] .在巷道开挖过程中,我国通常使用钻爆法施工,然而当前煤矿普遍存在掘进进尺短、炮孔利用率低、岩石碎块抛掷远和爆堆不集中的问题,不仅影响了下山巷道的掘进效率,还降低了围岩支护的安全稳定性,严重影响了开采区的正常连续工作[2 ,3 ,4 ,5 ,6 ] .煤矿井下只能采用与煤矿瓦斯等级相对应的三级煤矿许用炸药(三级煤矿许用水胶炸药或乳化炸药),炸药爆破威力小,破岩能力弱.据相关资料统计,目前国内煤矿岩石下山巷道施工仍以1.8~2.0 m浅孔爆破为主,采用Ф 40 mm钎头配Ф 35 mm药卷或Ф 32 mm钎头配Ф 27~29 mm药卷,平均炮孔利用率为70%~80%,平均循环进尺为1.4~1.6 m,月平均进尺只有60 m左右;部分巷道采用2.0~2.2 m的中深孔爆破,效果也普遍不理想,当岩石较软时,进尺能达到1.8 m左右,但当岩石硬度f >8时,单炮进尺减小到1.2 m左右,甚至更低[7 ,8 ,9 ,10 ,11 ] . ...
煤矿下山巷道爆破掘进技术试验研究
1
2012
... 煤矿下山巷道是指位于开采水平以下的巷道群体,在煤矿岩石巷道中数量仅次于水平巷道,且多聚集在采区,是采掘接替的“咽喉”和开采煤矿的重要通道之一,因此,提高下山巷道掘进速度对保证采区的正常接续具有非常重要的意义[1 ] .在巷道开挖过程中,我国通常使用钻爆法施工,然而当前煤矿普遍存在掘进进尺短、炮孔利用率低、岩石碎块抛掷远和爆堆不集中的问题,不仅影响了下山巷道的掘进效率,还降低了围岩支护的安全稳定性,严重影响了开采区的正常连续工作[2 ,3 ,4 ,5 ,6 ] .煤矿井下只能采用与煤矿瓦斯等级相对应的三级煤矿许用炸药(三级煤矿许用水胶炸药或乳化炸药),炸药爆破威力小,破岩能力弱.据相关资料统计,目前国内煤矿岩石下山巷道施工仍以1.8~2.0 m浅孔爆破为主,采用Ф 40 mm钎头配Ф 35 mm药卷或Ф 32 mm钎头配Ф 27~29 mm药卷,平均炮孔利用率为70%~80%,平均循环进尺为1.4~1.6 m,月平均进尺只有60 m左右;部分巷道采用2.0~2.2 m的中深孔爆破,效果也普遍不理想,当岩石较软时,进尺能达到1.8 m左右,但当岩石硬度f >8时,单炮进尺减小到1.2 m左右,甚至更低[7 ,8 ,9 ,10 ,11 ] . ...
长距离大下山巷道掘进中机械化普掘设备设施改良研究
1
2012
... 煤矿下山巷道是指位于开采水平以下的巷道群体,在煤矿岩石巷道中数量仅次于水平巷道,且多聚集在采区,是采掘接替的“咽喉”和开采煤矿的重要通道之一,因此,提高下山巷道掘进速度对保证采区的正常接续具有非常重要的意义[1 ] .在巷道开挖过程中,我国通常使用钻爆法施工,然而当前煤矿普遍存在掘进进尺短、炮孔利用率低、岩石碎块抛掷远和爆堆不集中的问题,不仅影响了下山巷道的掘进效率,还降低了围岩支护的安全稳定性,严重影响了开采区的正常连续工作[2 ,3 ,4 ,5 ,6 ] .煤矿井下只能采用与煤矿瓦斯等级相对应的三级煤矿许用炸药(三级煤矿许用水胶炸药或乳化炸药),炸药爆破威力小,破岩能力弱.据相关资料统计,目前国内煤矿岩石下山巷道施工仍以1.8~2.0 m浅孔爆破为主,采用Ф 40 mm钎头配Ф 35 mm药卷或Ф 32 mm钎头配Ф 27~29 mm药卷,平均炮孔利用率为70%~80%,平均循环进尺为1.4~1.6 m,月平均进尺只有60 m左右;部分巷道采用2.0~2.2 m的中深孔爆破,效果也普遍不理想,当岩石较软时,进尺能达到1.8 m左右,但当岩石硬度f >8时,单炮进尺减小到1.2 m左右,甚至更低[7 ,8 ,9 ,10 ,11 ] . ...
长距离大下山巷道掘进中机械化普掘设备设施改良研究
1
2012
... 煤矿下山巷道是指位于开采水平以下的巷道群体,在煤矿岩石巷道中数量仅次于水平巷道,且多聚集在采区,是采掘接替的“咽喉”和开采煤矿的重要通道之一,因此,提高下山巷道掘进速度对保证采区的正常接续具有非常重要的意义[1 ] .在巷道开挖过程中,我国通常使用钻爆法施工,然而当前煤矿普遍存在掘进进尺短、炮孔利用率低、岩石碎块抛掷远和爆堆不集中的问题,不仅影响了下山巷道的掘进效率,还降低了围岩支护的安全稳定性,严重影响了开采区的正常连续工作[2 ,3 ,4 ,5 ,6 ] .煤矿井下只能采用与煤矿瓦斯等级相对应的三级煤矿许用炸药(三级煤矿许用水胶炸药或乳化炸药),炸药爆破威力小,破岩能力弱.据相关资料统计,目前国内煤矿岩石下山巷道施工仍以1.8~2.0 m浅孔爆破为主,采用Ф 40 mm钎头配Ф 35 mm药卷或Ф 32 mm钎头配Ф 27~29 mm药卷,平均炮孔利用率为70%~80%,平均循环进尺为1.4~1.6 m,月平均进尺只有60 m左右;部分巷道采用2.0~2.2 m的中深孔爆破,效果也普遍不理想,当岩石较软时,进尺能达到1.8 m左右,但当岩石硬度f >8时,单炮进尺减小到1.2 m左右,甚至更低[7 ,8 ,9 ,10 ,11 ] . ...
提高岩巷掘进爆破速度和质量的若干技术问题
1
2014
... 煤矿下山巷道是指位于开采水平以下的巷道群体,在煤矿岩石巷道中数量仅次于水平巷道,且多聚集在采区,是采掘接替的“咽喉”和开采煤矿的重要通道之一,因此,提高下山巷道掘进速度对保证采区的正常接续具有非常重要的意义[1 ] .在巷道开挖过程中,我国通常使用钻爆法施工,然而当前煤矿普遍存在掘进进尺短、炮孔利用率低、岩石碎块抛掷远和爆堆不集中的问题,不仅影响了下山巷道的掘进效率,还降低了围岩支护的安全稳定性,严重影响了开采区的正常连续工作[2 ,3 ,4 ,5 ,6 ] .煤矿井下只能采用与煤矿瓦斯等级相对应的三级煤矿许用炸药(三级煤矿许用水胶炸药或乳化炸药),炸药爆破威力小,破岩能力弱.据相关资料统计,目前国内煤矿岩石下山巷道施工仍以1.8~2.0 m浅孔爆破为主,采用Ф 40 mm钎头配Ф 35 mm药卷或Ф 32 mm钎头配Ф 27~29 mm药卷,平均炮孔利用率为70%~80%,平均循环进尺为1.4~1.6 m,月平均进尺只有60 m左右;部分巷道采用2.0~2.2 m的中深孔爆破,效果也普遍不理想,当岩石较软时,进尺能达到1.8 m左右,但当岩石硬度f >8时,单炮进尺减小到1.2 m左右,甚至更低[7 ,8 ,9 ,10 ,11 ] . ...
提高岩巷掘进爆破速度和质量的若干技术问题
1
2014
... 煤矿下山巷道是指位于开采水平以下的巷道群体,在煤矿岩石巷道中数量仅次于水平巷道,且多聚集在采区,是采掘接替的“咽喉”和开采煤矿的重要通道之一,因此,提高下山巷道掘进速度对保证采区的正常接续具有非常重要的意义[1 ] .在巷道开挖过程中,我国通常使用钻爆法施工,然而当前煤矿普遍存在掘进进尺短、炮孔利用率低、岩石碎块抛掷远和爆堆不集中的问题,不仅影响了下山巷道的掘进效率,还降低了围岩支护的安全稳定性,严重影响了开采区的正常连续工作[2 ,3 ,4 ,5 ,6 ] .煤矿井下只能采用与煤矿瓦斯等级相对应的三级煤矿许用炸药(三级煤矿许用水胶炸药或乳化炸药),炸药爆破威力小,破岩能力弱.据相关资料统计,目前国内煤矿岩石下山巷道施工仍以1.8~2.0 m浅孔爆破为主,采用Ф 40 mm钎头配Ф 35 mm药卷或Ф 32 mm钎头配Ф 27~29 mm药卷,平均炮孔利用率为70%~80%,平均循环进尺为1.4~1.6 m,月平均进尺只有60 m左右;部分巷道采用2.0~2.2 m的中深孔爆破,效果也普遍不理想,当岩石较软时,进尺能达到1.8 m左右,但当岩石硬度f >8时,单炮进尺减小到1.2 m左右,甚至更低[7 ,8 ,9 ,10 ,11 ] . ...
大断面岩巷下山快速掘进技术研究与应用
1
... 煤矿下山巷道是指位于开采水平以下的巷道群体,在煤矿岩石巷道中数量仅次于水平巷道,且多聚集在采区,是采掘接替的“咽喉”和开采煤矿的重要通道之一,因此,提高下山巷道掘进速度对保证采区的正常接续具有非常重要的意义[1 ] .在巷道开挖过程中,我国通常使用钻爆法施工,然而当前煤矿普遍存在掘进进尺短、炮孔利用率低、岩石碎块抛掷远和爆堆不集中的问题,不仅影响了下山巷道的掘进效率,还降低了围岩支护的安全稳定性,严重影响了开采区的正常连续工作[2 ,3 ,4 ,5 ,6 ] .煤矿井下只能采用与煤矿瓦斯等级相对应的三级煤矿许用炸药(三级煤矿许用水胶炸药或乳化炸药),炸药爆破威力小,破岩能力弱.据相关资料统计,目前国内煤矿岩石下山巷道施工仍以1.8~2.0 m浅孔爆破为主,采用Ф 40 mm钎头配Ф 35 mm药卷或Ф 32 mm钎头配Ф 27~29 mm药卷,平均炮孔利用率为70%~80%,平均循环进尺为1.4~1.6 m,月平均进尺只有60 m左右;部分巷道采用2.0~2.2 m的中深孔爆破,效果也普遍不理想,当岩石较软时,进尺能达到1.8 m左右,但当岩石硬度f >8时,单炮进尺减小到1.2 m左右,甚至更低[7 ,8 ,9 ,10 ,11 ] . ...
大断面岩巷下山快速掘进技术研究与应用
1
... 煤矿下山巷道是指位于开采水平以下的巷道群体,在煤矿岩石巷道中数量仅次于水平巷道,且多聚集在采区,是采掘接替的“咽喉”和开采煤矿的重要通道之一,因此,提高下山巷道掘进速度对保证采区的正常接续具有非常重要的意义[1 ] .在巷道开挖过程中,我国通常使用钻爆法施工,然而当前煤矿普遍存在掘进进尺短、炮孔利用率低、岩石碎块抛掷远和爆堆不集中的问题,不仅影响了下山巷道的掘进效率,还降低了围岩支护的安全稳定性,严重影响了开采区的正常连续工作[2 ,3 ,4 ,5 ,6 ] .煤矿井下只能采用与煤矿瓦斯等级相对应的三级煤矿许用炸药(三级煤矿许用水胶炸药或乳化炸药),炸药爆破威力小,破岩能力弱.据相关资料统计,目前国内煤矿岩石下山巷道施工仍以1.8~2.0 m浅孔爆破为主,采用Ф 40 mm钎头配Ф 35 mm药卷或Ф 32 mm钎头配Ф 27~29 mm药卷,平均炮孔利用率为70%~80%,平均循环进尺为1.4~1.6 m,月平均进尺只有60 m左右;部分巷道采用2.0~2.2 m的中深孔爆破,效果也普遍不理想,当岩石较软时,进尺能达到1.8 m左右,但当岩石硬度f >8时,单炮进尺减小到1.2 m左右,甚至更低[7 ,8 ,9 ,10 ,11 ] . ...
岩巷下山施工技术探讨
1
2003
... 煤矿下山巷道是指位于开采水平以下的巷道群体,在煤矿岩石巷道中数量仅次于水平巷道,且多聚集在采区,是采掘接替的“咽喉”和开采煤矿的重要通道之一,因此,提高下山巷道掘进速度对保证采区的正常接续具有非常重要的意义[1 ] .在巷道开挖过程中,我国通常使用钻爆法施工,然而当前煤矿普遍存在掘进进尺短、炮孔利用率低、岩石碎块抛掷远和爆堆不集中的问题,不仅影响了下山巷道的掘进效率,还降低了围岩支护的安全稳定性,严重影响了开采区的正常连续工作[2 ,3 ,4 ,5 ,6 ] .煤矿井下只能采用与煤矿瓦斯等级相对应的三级煤矿许用炸药(三级煤矿许用水胶炸药或乳化炸药),炸药爆破威力小,破岩能力弱.据相关资料统计,目前国内煤矿岩石下山巷道施工仍以1.8~2.0 m浅孔爆破为主,采用Ф 40 mm钎头配Ф 35 mm药卷或Ф 32 mm钎头配Ф 27~29 mm药卷,平均炮孔利用率为70%~80%,平均循环进尺为1.4~1.6 m,月平均进尺只有60 m左右;部分巷道采用2.0~2.2 m的中深孔爆破,效果也普遍不理想,当岩石较软时,进尺能达到1.8 m左右,但当岩石硬度f >8时,单炮进尺减小到1.2 m左右,甚至更低[7 ,8 ,9 ,10 ,11 ] . ...
岩巷下山施工技术探讨
1
2003
... 煤矿下山巷道是指位于开采水平以下的巷道群体,在煤矿岩石巷道中数量仅次于水平巷道,且多聚集在采区,是采掘接替的“咽喉”和开采煤矿的重要通道之一,因此,提高下山巷道掘进速度对保证采区的正常接续具有非常重要的意义[1 ] .在巷道开挖过程中,我国通常使用钻爆法施工,然而当前煤矿普遍存在掘进进尺短、炮孔利用率低、岩石碎块抛掷远和爆堆不集中的问题,不仅影响了下山巷道的掘进效率,还降低了围岩支护的安全稳定性,严重影响了开采区的正常连续工作[2 ,3 ,4 ,5 ,6 ] .煤矿井下只能采用与煤矿瓦斯等级相对应的三级煤矿许用炸药(三级煤矿许用水胶炸药或乳化炸药),炸药爆破威力小,破岩能力弱.据相关资料统计,目前国内煤矿岩石下山巷道施工仍以1.8~2.0 m浅孔爆破为主,采用Ф 40 mm钎头配Ф 35 mm药卷或Ф 32 mm钎头配Ф 27~29 mm药卷,平均炮孔利用率为70%~80%,平均循环进尺为1.4~1.6 m,月平均进尺只有60 m左右;部分巷道采用2.0~2.2 m的中深孔爆破,效果也普遍不理想,当岩石较软时,进尺能达到1.8 m左右,但当岩石硬度f >8时,单炮进尺减小到1.2 m左右,甚至更低[7 ,8 ,9 ,10 ,11 ] . ...
高瓦斯矿井深部下山全断面爆破技术试验研究
2
2008
... 煤矿下山巷道是指位于开采水平以下的巷道群体,在煤矿岩石巷道中数量仅次于水平巷道,且多聚集在采区,是采掘接替的“咽喉”和开采煤矿的重要通道之一,因此,提高下山巷道掘进速度对保证采区的正常接续具有非常重要的意义[1 ] .在巷道开挖过程中,我国通常使用钻爆法施工,然而当前煤矿普遍存在掘进进尺短、炮孔利用率低、岩石碎块抛掷远和爆堆不集中的问题,不仅影响了下山巷道的掘进效率,还降低了围岩支护的安全稳定性,严重影响了开采区的正常连续工作[2 ,3 ,4 ,5 ,6 ] .煤矿井下只能采用与煤矿瓦斯等级相对应的三级煤矿许用炸药(三级煤矿许用水胶炸药或乳化炸药),炸药爆破威力小,破岩能力弱.据相关资料统计,目前国内煤矿岩石下山巷道施工仍以1.8~2.0 m浅孔爆破为主,采用Ф 40 mm钎头配Ф 35 mm药卷或Ф 32 mm钎头配Ф 27~29 mm药卷,平均炮孔利用率为70%~80%,平均循环进尺为1.4~1.6 m,月平均进尺只有60 m左右;部分巷道采用2.0~2.2 m的中深孔爆破,效果也普遍不理想,当岩石较软时,进尺能达到1.8 m左右,但当岩石硬度f >8时,单炮进尺减小到1.2 m左右,甚至更低[7 ,8 ,9 ,10 ,11 ] . ...
... 径向空气不耦合起爆时产生的爆生气体迅速膨胀,空气可压缩性大,其对爆生气体膨胀的阻尼作用可忽略,爆生气体作用在孔壁上的准静压力值与不耦合系数之间的关系为[9 ] ...
高瓦斯矿井深部下山全断面爆破技术试验研究
2
2008
... 煤矿下山巷道是指位于开采水平以下的巷道群体,在煤矿岩石巷道中数量仅次于水平巷道,且多聚集在采区,是采掘接替的“咽喉”和开采煤矿的重要通道之一,因此,提高下山巷道掘进速度对保证采区的正常接续具有非常重要的意义[1 ] .在巷道开挖过程中,我国通常使用钻爆法施工,然而当前煤矿普遍存在掘进进尺短、炮孔利用率低、岩石碎块抛掷远和爆堆不集中的问题,不仅影响了下山巷道的掘进效率,还降低了围岩支护的安全稳定性,严重影响了开采区的正常连续工作[2 ,3 ,4 ,5 ,6 ] .煤矿井下只能采用与煤矿瓦斯等级相对应的三级煤矿许用炸药(三级煤矿许用水胶炸药或乳化炸药),炸药爆破威力小,破岩能力弱.据相关资料统计,目前国内煤矿岩石下山巷道施工仍以1.8~2.0 m浅孔爆破为主,采用Ф 40 mm钎头配Ф 35 mm药卷或Ф 32 mm钎头配Ф 27~29 mm药卷,平均炮孔利用率为70%~80%,平均循环进尺为1.4~1.6 m,月平均进尺只有60 m左右;部分巷道采用2.0~2.2 m的中深孔爆破,效果也普遍不理想,当岩石较软时,进尺能达到1.8 m左右,但当岩石硬度f >8时,单炮进尺减小到1.2 m左右,甚至更低[7 ,8 ,9 ,10 ,11 ] . ...
... 径向空气不耦合起爆时产生的爆生气体迅速膨胀,空气可压缩性大,其对爆生气体膨胀的阻尼作用可忽略,爆生气体作用在孔壁上的准静压力值与不耦合系数之间的关系为[9 ] ...
西翼轨道下山软岩段光面爆破施工技术研究
1
... 煤矿下山巷道是指位于开采水平以下的巷道群体,在煤矿岩石巷道中数量仅次于水平巷道,且多聚集在采区,是采掘接替的“咽喉”和开采煤矿的重要通道之一,因此,提高下山巷道掘进速度对保证采区的正常接续具有非常重要的意义[1 ] .在巷道开挖过程中,我国通常使用钻爆法施工,然而当前煤矿普遍存在掘进进尺短、炮孔利用率低、岩石碎块抛掷远和爆堆不集中的问题,不仅影响了下山巷道的掘进效率,还降低了围岩支护的安全稳定性,严重影响了开采区的正常连续工作[2 ,3 ,4 ,5 ,6 ] .煤矿井下只能采用与煤矿瓦斯等级相对应的三级煤矿许用炸药(三级煤矿许用水胶炸药或乳化炸药),炸药爆破威力小,破岩能力弱.据相关资料统计,目前国内煤矿岩石下山巷道施工仍以1.8~2.0 m浅孔爆破为主,采用Ф 40 mm钎头配Ф 35 mm药卷或Ф 32 mm钎头配Ф 27~29 mm药卷,平均炮孔利用率为70%~80%,平均循环进尺为1.4~1.6 m,月平均进尺只有60 m左右;部分巷道采用2.0~2.2 m的中深孔爆破,效果也普遍不理想,当岩石较软时,进尺能达到1.8 m左右,但当岩石硬度f >8时,单炮进尺减小到1.2 m左右,甚至更低[7 ,8 ,9 ,10 ,11 ] . ...
西翼轨道下山软岩段光面爆破施工技术研究
1
... 煤矿下山巷道是指位于开采水平以下的巷道群体,在煤矿岩石巷道中数量仅次于水平巷道,且多聚集在采区,是采掘接替的“咽喉”和开采煤矿的重要通道之一,因此,提高下山巷道掘进速度对保证采区的正常接续具有非常重要的意义[1 ] .在巷道开挖过程中,我国通常使用钻爆法施工,然而当前煤矿普遍存在掘进进尺短、炮孔利用率低、岩石碎块抛掷远和爆堆不集中的问题,不仅影响了下山巷道的掘进效率,还降低了围岩支护的安全稳定性,严重影响了开采区的正常连续工作[2 ,3 ,4 ,5 ,6 ] .煤矿井下只能采用与煤矿瓦斯等级相对应的三级煤矿许用炸药(三级煤矿许用水胶炸药或乳化炸药),炸药爆破威力小,破岩能力弱.据相关资料统计,目前国内煤矿岩石下山巷道施工仍以1.8~2.0 m浅孔爆破为主,采用Ф 40 mm钎头配Ф 35 mm药卷或Ф 32 mm钎头配Ф 27~29 mm药卷,平均炮孔利用率为70%~80%,平均循环进尺为1.4~1.6 m,月平均进尺只有60 m左右;部分巷道采用2.0~2.2 m的中深孔爆破,效果也普遍不理想,当岩石较软时,进尺能达到1.8 m左右,但当岩石硬度f >8时,单炮进尺减小到1.2 m左右,甚至更低[7 ,8 ,9 ,10 ,11 ] . ...
巷道压顶光面爆破裂隙扩展模拟及参数优化
1
2017
... 煤矿下山巷道是指位于开采水平以下的巷道群体,在煤矿岩石巷道中数量仅次于水平巷道,且多聚集在采区,是采掘接替的“咽喉”和开采煤矿的重要通道之一,因此,提高下山巷道掘进速度对保证采区的正常接续具有非常重要的意义[1 ] .在巷道开挖过程中,我国通常使用钻爆法施工,然而当前煤矿普遍存在掘进进尺短、炮孔利用率低、岩石碎块抛掷远和爆堆不集中的问题,不仅影响了下山巷道的掘进效率,还降低了围岩支护的安全稳定性,严重影响了开采区的正常连续工作[2 ,3 ,4 ,5 ,6 ] .煤矿井下只能采用与煤矿瓦斯等级相对应的三级煤矿许用炸药(三级煤矿许用水胶炸药或乳化炸药),炸药爆破威力小,破岩能力弱.据相关资料统计,目前国内煤矿岩石下山巷道施工仍以1.8~2.0 m浅孔爆破为主,采用Ф 40 mm钎头配Ф 35 mm药卷或Ф 32 mm钎头配Ф 27~29 mm药卷,平均炮孔利用率为70%~80%,平均循环进尺为1.4~1.6 m,月平均进尺只有60 m左右;部分巷道采用2.0~2.2 m的中深孔爆破,效果也普遍不理想,当岩石较软时,进尺能达到1.8 m左右,但当岩石硬度f >8时,单炮进尺减小到1.2 m左右,甚至更低[7 ,8 ,9 ,10 ,11 ] . ...
巷道压顶光面爆破裂隙扩展模拟及参数优化
1
2017
... 煤矿下山巷道是指位于开采水平以下的巷道群体,在煤矿岩石巷道中数量仅次于水平巷道,且多聚集在采区,是采掘接替的“咽喉”和开采煤矿的重要通道之一,因此,提高下山巷道掘进速度对保证采区的正常接续具有非常重要的意义[1 ] .在巷道开挖过程中,我国通常使用钻爆法施工,然而当前煤矿普遍存在掘进进尺短、炮孔利用率低、岩石碎块抛掷远和爆堆不集中的问题,不仅影响了下山巷道的掘进效率,还降低了围岩支护的安全稳定性,严重影响了开采区的正常连续工作[2 ,3 ,4 ,5 ,6 ] .煤矿井下只能采用与煤矿瓦斯等级相对应的三级煤矿许用炸药(三级煤矿许用水胶炸药或乳化炸药),炸药爆破威力小,破岩能力弱.据相关资料统计,目前国内煤矿岩石下山巷道施工仍以1.8~2.0 m浅孔爆破为主,采用Ф 40 mm钎头配Ф 35 mm药卷或Ф 32 mm钎头配Ф 27~29 mm药卷,平均炮孔利用率为70%~80%,平均循环进尺为1.4~1.6 m,月平均进尺只有60 m左右;部分巷道采用2.0~2.2 m的中深孔爆破,效果也普遍不理想,当岩石较软时,进尺能达到1.8 m左右,但当岩石硬度f >8时,单炮进尺减小到1.2 m左右,甚至更低[7 ,8 ,9 ,10 ,11 ] . ...
水不耦合炮孔装药爆破冲击波的形成和传播
1
2003
... 影响下山巷道掘进效率的因素有很多,其中装药结构中的不耦合系数是一个重要的因素.耦合装药炸药利用率最高,但对孔壁周围岩石破坏较严重,会形成很大的粉碎区.煤矿下山巷道施工作业空间小、环境差,爆破形成较多的岩粉会对施工人员造成更大的潜在伤害;且为了施工和装药方便,炸药一般采用固定尺寸药卷,采用钻杆钎头直径大于炸药直径,施工过程本身就是空气不耦合装药.对于不耦合装药爆破,杜俊林等[12 ,13 ] 通过理论分析研究了水不耦合和空气不耦合装药结构时炮孔孔壁的冲击压力;宗琦等[14 ,15 ] 对水不耦合介质孔壁冲击压力和岩石破坏范围进行理论分析和现场试验;此外,一些学者采用数值模拟分析了水不耦合炸药的破岩机理和裂纹扩展[16 ,17 ,18 ,19 ] ;程兵等[20 ] 采用非线性数值模拟平台研究了不同不耦合系数下同心与偏心不耦合装药单个炮孔周围应力场分布及裂纹扩展规律;程俊飞等[21 ] 提出固液气三相分析爆破模型理论,分析了目前隧道钻爆施工中水与空气不耦合装药介质优选的问题;孙磊等[22 ] 将水不耦合装药应用在煤矿巷道施工,取得较好的效果;顾文彬等[23 ] 对耦合、空气不耦合和水不耦合装药结构进行了分析,并进行了现场爆破震动测试,发现水不耦合装药结构能够降低爆破震动,减小爆破粉尘危害,且块度更均匀. ...
水不耦合炮孔装药爆破冲击波的形成和传播
1
2003
... 影响下山巷道掘进效率的因素有很多,其中装药结构中的不耦合系数是一个重要的因素.耦合装药炸药利用率最高,但对孔壁周围岩石破坏较严重,会形成很大的粉碎区.煤矿下山巷道施工作业空间小、环境差,爆破形成较多的岩粉会对施工人员造成更大的潜在伤害;且为了施工和装药方便,炸药一般采用固定尺寸药卷,采用钻杆钎头直径大于炸药直径,施工过程本身就是空气不耦合装药.对于不耦合装药爆破,杜俊林等[12 ,13 ] 通过理论分析研究了水不耦合和空气不耦合装药结构时炮孔孔壁的冲击压力;宗琦等[14 ,15 ] 对水不耦合介质孔壁冲击压力和岩石破坏范围进行理论分析和现场试验;此外,一些学者采用数值模拟分析了水不耦合炸药的破岩机理和裂纹扩展[16 ,17 ,18 ,19 ] ;程兵等[20 ] 采用非线性数值模拟平台研究了不同不耦合系数下同心与偏心不耦合装药单个炮孔周围应力场分布及裂纹扩展规律;程俊飞等[21 ] 提出固液气三相分析爆破模型理论,分析了目前隧道钻爆施工中水与空气不耦合装药介质优选的问题;孙磊等[22 ] 将水不耦合装药应用在煤矿巷道施工,取得较好的效果;顾文彬等[23 ] 对耦合、空气不耦合和水不耦合装药结构进行了分析,并进行了现场爆破震动测试,发现水不耦合装药结构能够降低爆破震动,减小爆破粉尘危害,且块度更均匀. ...
空气不耦合装药爆破孔壁冲击压力分析
1
2005
... 影响下山巷道掘进效率的因素有很多,其中装药结构中的不耦合系数是一个重要的因素.耦合装药炸药利用率最高,但对孔壁周围岩石破坏较严重,会形成很大的粉碎区.煤矿下山巷道施工作业空间小、环境差,爆破形成较多的岩粉会对施工人员造成更大的潜在伤害;且为了施工和装药方便,炸药一般采用固定尺寸药卷,采用钻杆钎头直径大于炸药直径,施工过程本身就是空气不耦合装药.对于不耦合装药爆破,杜俊林等[12 ,13 ] 通过理论分析研究了水不耦合和空气不耦合装药结构时炮孔孔壁的冲击压力;宗琦等[14 ,15 ] 对水不耦合介质孔壁冲击压力和岩石破坏范围进行理论分析和现场试验;此外,一些学者采用数值模拟分析了水不耦合炸药的破岩机理和裂纹扩展[16 ,17 ,18 ,19 ] ;程兵等[20 ] 采用非线性数值模拟平台研究了不同不耦合系数下同心与偏心不耦合装药单个炮孔周围应力场分布及裂纹扩展规律;程俊飞等[21 ] 提出固液气三相分析爆破模型理论,分析了目前隧道钻爆施工中水与空气不耦合装药介质优选的问题;孙磊等[22 ] 将水不耦合装药应用在煤矿巷道施工,取得较好的效果;顾文彬等[23 ] 对耦合、空气不耦合和水不耦合装药结构进行了分析,并进行了现场爆破震动测试,发现水不耦合装药结构能够降低爆破震动,减小爆破粉尘危害,且块度更均匀. ...
空气不耦合装药爆破孔壁冲击压力分析
1
2005
... 影响下山巷道掘进效率的因素有很多,其中装药结构中的不耦合系数是一个重要的因素.耦合装药炸药利用率最高,但对孔壁周围岩石破坏较严重,会形成很大的粉碎区.煤矿下山巷道施工作业空间小、环境差,爆破形成较多的岩粉会对施工人员造成更大的潜在伤害;且为了施工和装药方便,炸药一般采用固定尺寸药卷,采用钻杆钎头直径大于炸药直径,施工过程本身就是空气不耦合装药.对于不耦合装药爆破,杜俊林等[12 ,13 ] 通过理论分析研究了水不耦合和空气不耦合装药结构时炮孔孔壁的冲击压力;宗琦等[14 ,15 ] 对水不耦合介质孔壁冲击压力和岩石破坏范围进行理论分析和现场试验;此外,一些学者采用数值模拟分析了水不耦合炸药的破岩机理和裂纹扩展[16 ,17 ,18 ,19 ] ;程兵等[20 ] 采用非线性数值模拟平台研究了不同不耦合系数下同心与偏心不耦合装药单个炮孔周围应力场分布及裂纹扩展规律;程俊飞等[21 ] 提出固液气三相分析爆破模型理论,分析了目前隧道钻爆施工中水与空气不耦合装药介质优选的问题;孙磊等[22 ] 将水不耦合装药应用在煤矿巷道施工,取得较好的效果;顾文彬等[23 ] 对耦合、空气不耦合和水不耦合装药结构进行了分析,并进行了现场爆破震动测试,发现水不耦合装药结构能够降低爆破震动,减小爆破粉尘危害,且块度更均匀. ...
水介质不耦合装药爆破岩石破坏范围的研究和应用
1
2012
... 影响下山巷道掘进效率的因素有很多,其中装药结构中的不耦合系数是一个重要的因素.耦合装药炸药利用率最高,但对孔壁周围岩石破坏较严重,会形成很大的粉碎区.煤矿下山巷道施工作业空间小、环境差,爆破形成较多的岩粉会对施工人员造成更大的潜在伤害;且为了施工和装药方便,炸药一般采用固定尺寸药卷,采用钻杆钎头直径大于炸药直径,施工过程本身就是空气不耦合装药.对于不耦合装药爆破,杜俊林等[12 ,13 ] 通过理论分析研究了水不耦合和空气不耦合装药结构时炮孔孔壁的冲击压力;宗琦等[14 ,15 ] 对水不耦合介质孔壁冲击压力和岩石破坏范围进行理论分析和现场试验;此外,一些学者采用数值模拟分析了水不耦合炸药的破岩机理和裂纹扩展[16 ,17 ,18 ,19 ] ;程兵等[20 ] 采用非线性数值模拟平台研究了不同不耦合系数下同心与偏心不耦合装药单个炮孔周围应力场分布及裂纹扩展规律;程俊飞等[21 ] 提出固液气三相分析爆破模型理论,分析了目前隧道钻爆施工中水与空气不耦合装药介质优选的问题;孙磊等[22 ] 将水不耦合装药应用在煤矿巷道施工,取得较好的效果;顾文彬等[23 ] 对耦合、空气不耦合和水不耦合装药结构进行了分析,并进行了现场爆破震动测试,发现水不耦合装药结构能够降低爆破震动,减小爆破粉尘危害,且块度更均匀. ...
水介质不耦合装药爆破岩石破坏范围的研究和应用
1
2012
... 影响下山巷道掘进效率的因素有很多,其中装药结构中的不耦合系数是一个重要的因素.耦合装药炸药利用率最高,但对孔壁周围岩石破坏较严重,会形成很大的粉碎区.煤矿下山巷道施工作业空间小、环境差,爆破形成较多的岩粉会对施工人员造成更大的潜在伤害;且为了施工和装药方便,炸药一般采用固定尺寸药卷,采用钻杆钎头直径大于炸药直径,施工过程本身就是空气不耦合装药.对于不耦合装药爆破,杜俊林等[12 ,13 ] 通过理论分析研究了水不耦合和空气不耦合装药结构时炮孔孔壁的冲击压力;宗琦等[14 ,15 ] 对水不耦合介质孔壁冲击压力和岩石破坏范围进行理论分析和现场试验;此外,一些学者采用数值模拟分析了水不耦合炸药的破岩机理和裂纹扩展[16 ,17 ,18 ,19 ] ;程兵等[20 ] 采用非线性数值模拟平台研究了不同不耦合系数下同心与偏心不耦合装药单个炮孔周围应力场分布及裂纹扩展规律;程俊飞等[21 ] 提出固液气三相分析爆破模型理论,分析了目前隧道钻爆施工中水与空气不耦合装药介质优选的问题;孙磊等[22 ] 将水不耦合装药应用在煤矿巷道施工,取得较好的效果;顾文彬等[23 ] 对耦合、空气不耦合和水不耦合装药结构进行了分析,并进行了现场爆破震动测试,发现水不耦合装药结构能够降低爆破震动,减小爆破粉尘危害,且块度更均匀. ...
炮孔水耦合装药爆破孔壁冲击压力研究
1
2004
... 影响下山巷道掘进效率的因素有很多,其中装药结构中的不耦合系数是一个重要的因素.耦合装药炸药利用率最高,但对孔壁周围岩石破坏较严重,会形成很大的粉碎区.煤矿下山巷道施工作业空间小、环境差,爆破形成较多的岩粉会对施工人员造成更大的潜在伤害;且为了施工和装药方便,炸药一般采用固定尺寸药卷,采用钻杆钎头直径大于炸药直径,施工过程本身就是空气不耦合装药.对于不耦合装药爆破,杜俊林等[12 ,13 ] 通过理论分析研究了水不耦合和空气不耦合装药结构时炮孔孔壁的冲击压力;宗琦等[14 ,15 ] 对水不耦合介质孔壁冲击压力和岩石破坏范围进行理论分析和现场试验;此外,一些学者采用数值模拟分析了水不耦合炸药的破岩机理和裂纹扩展[16 ,17 ,18 ,19 ] ;程兵等[20 ] 采用非线性数值模拟平台研究了不同不耦合系数下同心与偏心不耦合装药单个炮孔周围应力场分布及裂纹扩展规律;程俊飞等[21 ] 提出固液气三相分析爆破模型理论,分析了目前隧道钻爆施工中水与空气不耦合装药介质优选的问题;孙磊等[22 ] 将水不耦合装药应用在煤矿巷道施工,取得较好的效果;顾文彬等[23 ] 对耦合、空气不耦合和水不耦合装药结构进行了分析,并进行了现场爆破震动测试,发现水不耦合装药结构能够降低爆破震动,减小爆破粉尘危害,且块度更均匀. ...
炮孔水耦合装药爆破孔壁冲击压力研究
1
2004
... 影响下山巷道掘进效率的因素有很多,其中装药结构中的不耦合系数是一个重要的因素.耦合装药炸药利用率最高,但对孔壁周围岩石破坏较严重,会形成很大的粉碎区.煤矿下山巷道施工作业空间小、环境差,爆破形成较多的岩粉会对施工人员造成更大的潜在伤害;且为了施工和装药方便,炸药一般采用固定尺寸药卷,采用钻杆钎头直径大于炸药直径,施工过程本身就是空气不耦合装药.对于不耦合装药爆破,杜俊林等[12 ,13 ] 通过理论分析研究了水不耦合和空气不耦合装药结构时炮孔孔壁的冲击压力;宗琦等[14 ,15 ] 对水不耦合介质孔壁冲击压力和岩石破坏范围进行理论分析和现场试验;此外,一些学者采用数值模拟分析了水不耦合炸药的破岩机理和裂纹扩展[16 ,17 ,18 ,19 ] ;程兵等[20 ] 采用非线性数值模拟平台研究了不同不耦合系数下同心与偏心不耦合装药单个炮孔周围应力场分布及裂纹扩展规律;程俊飞等[21 ] 提出固液气三相分析爆破模型理论,分析了目前隧道钻爆施工中水与空气不耦合装药介质优选的问题;孙磊等[22 ] 将水不耦合装药应用在煤矿巷道施工,取得较好的效果;顾文彬等[23 ] 对耦合、空气不耦合和水不耦合装药结构进行了分析,并进行了现场爆破震动测试,发现水不耦合装药结构能够降低爆破震动,减小爆破粉尘危害,且块度更均匀. ...
水耦合装药爆破破岩机理的数值模拟研究
1
2005
... 影响下山巷道掘进效率的因素有很多,其中装药结构中的不耦合系数是一个重要的因素.耦合装药炸药利用率最高,但对孔壁周围岩石破坏较严重,会形成很大的粉碎区.煤矿下山巷道施工作业空间小、环境差,爆破形成较多的岩粉会对施工人员造成更大的潜在伤害;且为了施工和装药方便,炸药一般采用固定尺寸药卷,采用钻杆钎头直径大于炸药直径,施工过程本身就是空气不耦合装药.对于不耦合装药爆破,杜俊林等[12 ,13 ] 通过理论分析研究了水不耦合和空气不耦合装药结构时炮孔孔壁的冲击压力;宗琦等[14 ,15 ] 对水不耦合介质孔壁冲击压力和岩石破坏范围进行理论分析和现场试验;此外,一些学者采用数值模拟分析了水不耦合炸药的破岩机理和裂纹扩展[16 ,17 ,18 ,19 ] ;程兵等[20 ] 采用非线性数值模拟平台研究了不同不耦合系数下同心与偏心不耦合装药单个炮孔周围应力场分布及裂纹扩展规律;程俊飞等[21 ] 提出固液气三相分析爆破模型理论,分析了目前隧道钻爆施工中水与空气不耦合装药介质优选的问题;孙磊等[22 ] 将水不耦合装药应用在煤矿巷道施工,取得较好的效果;顾文彬等[23 ] 对耦合、空气不耦合和水不耦合装药结构进行了分析,并进行了现场爆破震动测试,发现水不耦合装药结构能够降低爆破震动,减小爆破粉尘危害,且块度更均匀. ...
水耦合装药爆破破岩机理的数值模拟研究
1
2005
... 影响下山巷道掘进效率的因素有很多,其中装药结构中的不耦合系数是一个重要的因素.耦合装药炸药利用率最高,但对孔壁周围岩石破坏较严重,会形成很大的粉碎区.煤矿下山巷道施工作业空间小、环境差,爆破形成较多的岩粉会对施工人员造成更大的潜在伤害;且为了施工和装药方便,炸药一般采用固定尺寸药卷,采用钻杆钎头直径大于炸药直径,施工过程本身就是空气不耦合装药.对于不耦合装药爆破,杜俊林等[12 ,13 ] 通过理论分析研究了水不耦合和空气不耦合装药结构时炮孔孔壁的冲击压力;宗琦等[14 ,15 ] 对水不耦合介质孔壁冲击压力和岩石破坏范围进行理论分析和现场试验;此外,一些学者采用数值模拟分析了水不耦合炸药的破岩机理和裂纹扩展[16 ,17 ,18 ,19 ] ;程兵等[20 ] 采用非线性数值模拟平台研究了不同不耦合系数下同心与偏心不耦合装药单个炮孔周围应力场分布及裂纹扩展规律;程俊飞等[21 ] 提出固液气三相分析爆破模型理论,分析了目前隧道钻爆施工中水与空气不耦合装药介质优选的问题;孙磊等[22 ] 将水不耦合装药应用在煤矿巷道施工,取得较好的效果;顾文彬等[23 ] 对耦合、空气不耦合和水不耦合装药结构进行了分析,并进行了现场爆破震动测试,发现水不耦合装药结构能够降低爆破震动,减小爆破粉尘危害,且块度更均匀. ...
不同耦合介质光面爆破裂纹发展数值分析
1
2016
... 影响下山巷道掘进效率的因素有很多,其中装药结构中的不耦合系数是一个重要的因素.耦合装药炸药利用率最高,但对孔壁周围岩石破坏较严重,会形成很大的粉碎区.煤矿下山巷道施工作业空间小、环境差,爆破形成较多的岩粉会对施工人员造成更大的潜在伤害;且为了施工和装药方便,炸药一般采用固定尺寸药卷,采用钻杆钎头直径大于炸药直径,施工过程本身就是空气不耦合装药.对于不耦合装药爆破,杜俊林等[12 ,13 ] 通过理论分析研究了水不耦合和空气不耦合装药结构时炮孔孔壁的冲击压力;宗琦等[14 ,15 ] 对水不耦合介质孔壁冲击压力和岩石破坏范围进行理论分析和现场试验;此外,一些学者采用数值模拟分析了水不耦合炸药的破岩机理和裂纹扩展[16 ,17 ,18 ,19 ] ;程兵等[20 ] 采用非线性数值模拟平台研究了不同不耦合系数下同心与偏心不耦合装药单个炮孔周围应力场分布及裂纹扩展规律;程俊飞等[21 ] 提出固液气三相分析爆破模型理论,分析了目前隧道钻爆施工中水与空气不耦合装药介质优选的问题;孙磊等[22 ] 将水不耦合装药应用在煤矿巷道施工,取得较好的效果;顾文彬等[23 ] 对耦合、空气不耦合和水不耦合装药结构进行了分析,并进行了现场爆破震动测试,发现水不耦合装药结构能够降低爆破震动,减小爆破粉尘危害,且块度更均匀. ...
不同耦合介质光面爆破裂纹发展数值分析
1
2016
... 影响下山巷道掘进效率的因素有很多,其中装药结构中的不耦合系数是一个重要的因素.耦合装药炸药利用率最高,但对孔壁周围岩石破坏较严重,会形成很大的粉碎区.煤矿下山巷道施工作业空间小、环境差,爆破形成较多的岩粉会对施工人员造成更大的潜在伤害;且为了施工和装药方便,炸药一般采用固定尺寸药卷,采用钻杆钎头直径大于炸药直径,施工过程本身就是空气不耦合装药.对于不耦合装药爆破,杜俊林等[12 ,13 ] 通过理论分析研究了水不耦合和空气不耦合装药结构时炮孔孔壁的冲击压力;宗琦等[14 ,15 ] 对水不耦合介质孔壁冲击压力和岩石破坏范围进行理论分析和现场试验;此外,一些学者采用数值模拟分析了水不耦合炸药的破岩机理和裂纹扩展[16 ,17 ,18 ,19 ] ;程兵等[20 ] 采用非线性数值模拟平台研究了不同不耦合系数下同心与偏心不耦合装药单个炮孔周围应力场分布及裂纹扩展规律;程俊飞等[21 ] 提出固液气三相分析爆破模型理论,分析了目前隧道钻爆施工中水与空气不耦合装药介质优选的问题;孙磊等[22 ] 将水不耦合装药应用在煤矿巷道施工,取得较好的效果;顾文彬等[23 ] 对耦合、空气不耦合和水不耦合装药结构进行了分析,并进行了现场爆破震动测试,发现水不耦合装药结构能够降低爆破震动,减小爆破粉尘危害,且块度更均匀. ...
松软煤层水不耦合装药预裂爆破的力学特性数值分析
1
2018
... 影响下山巷道掘进效率的因素有很多,其中装药结构中的不耦合系数是一个重要的因素.耦合装药炸药利用率最高,但对孔壁周围岩石破坏较严重,会形成很大的粉碎区.煤矿下山巷道施工作业空间小、环境差,爆破形成较多的岩粉会对施工人员造成更大的潜在伤害;且为了施工和装药方便,炸药一般采用固定尺寸药卷,采用钻杆钎头直径大于炸药直径,施工过程本身就是空气不耦合装药.对于不耦合装药爆破,杜俊林等[12 ,13 ] 通过理论分析研究了水不耦合和空气不耦合装药结构时炮孔孔壁的冲击压力;宗琦等[14 ,15 ] 对水不耦合介质孔壁冲击压力和岩石破坏范围进行理论分析和现场试验;此外,一些学者采用数值模拟分析了水不耦合炸药的破岩机理和裂纹扩展[16 ,17 ,18 ,19 ] ;程兵等[20 ] 采用非线性数值模拟平台研究了不同不耦合系数下同心与偏心不耦合装药单个炮孔周围应力场分布及裂纹扩展规律;程俊飞等[21 ] 提出固液气三相分析爆破模型理论,分析了目前隧道钻爆施工中水与空气不耦合装药介质优选的问题;孙磊等[22 ] 将水不耦合装药应用在煤矿巷道施工,取得较好的效果;顾文彬等[23 ] 对耦合、空气不耦合和水不耦合装药结构进行了分析,并进行了现场爆破震动测试,发现水不耦合装药结构能够降低爆破震动,减小爆破粉尘危害,且块度更均匀. ...
松软煤层水不耦合装药预裂爆破的力学特性数值分析
1
2018
... 影响下山巷道掘进效率的因素有很多,其中装药结构中的不耦合系数是一个重要的因素.耦合装药炸药利用率最高,但对孔壁周围岩石破坏较严重,会形成很大的粉碎区.煤矿下山巷道施工作业空间小、环境差,爆破形成较多的岩粉会对施工人员造成更大的潜在伤害;且为了施工和装药方便,炸药一般采用固定尺寸药卷,采用钻杆钎头直径大于炸药直径,施工过程本身就是空气不耦合装药.对于不耦合装药爆破,杜俊林等[12 ,13 ] 通过理论分析研究了水不耦合和空气不耦合装药结构时炮孔孔壁的冲击压力;宗琦等[14 ,15 ] 对水不耦合介质孔壁冲击压力和岩石破坏范围进行理论分析和现场试验;此外,一些学者采用数值模拟分析了水不耦合炸药的破岩机理和裂纹扩展[16 ,17 ,18 ,19 ] ;程兵等[20 ] 采用非线性数值模拟平台研究了不同不耦合系数下同心与偏心不耦合装药单个炮孔周围应力场分布及裂纹扩展规律;程俊飞等[21 ] 提出固液气三相分析爆破模型理论,分析了目前隧道钻爆施工中水与空气不耦合装药介质优选的问题;孙磊等[22 ] 将水不耦合装药应用在煤矿巷道施工,取得较好的效果;顾文彬等[23 ] 对耦合、空气不耦合和水不耦合装药结构进行了分析,并进行了现场爆破震动测试,发现水不耦合装药结构能够降低爆破震动,减小爆破粉尘危害,且块度更均匀. ...
空气与水介质不耦合装药爆破数值模拟
1
2009
... 影响下山巷道掘进效率的因素有很多,其中装药结构中的不耦合系数是一个重要的因素.耦合装药炸药利用率最高,但对孔壁周围岩石破坏较严重,会形成很大的粉碎区.煤矿下山巷道施工作业空间小、环境差,爆破形成较多的岩粉会对施工人员造成更大的潜在伤害;且为了施工和装药方便,炸药一般采用固定尺寸药卷,采用钻杆钎头直径大于炸药直径,施工过程本身就是空气不耦合装药.对于不耦合装药爆破,杜俊林等[12 ,13 ] 通过理论分析研究了水不耦合和空气不耦合装药结构时炮孔孔壁的冲击压力;宗琦等[14 ,15 ] 对水不耦合介质孔壁冲击压力和岩石破坏范围进行理论分析和现场试验;此外,一些学者采用数值模拟分析了水不耦合炸药的破岩机理和裂纹扩展[16 ,17 ,18 ,19 ] ;程兵等[20 ] 采用非线性数值模拟平台研究了不同不耦合系数下同心与偏心不耦合装药单个炮孔周围应力场分布及裂纹扩展规律;程俊飞等[21 ] 提出固液气三相分析爆破模型理论,分析了目前隧道钻爆施工中水与空气不耦合装药介质优选的问题;孙磊等[22 ] 将水不耦合装药应用在煤矿巷道施工,取得较好的效果;顾文彬等[23 ] 对耦合、空气不耦合和水不耦合装药结构进行了分析,并进行了现场爆破震动测试,发现水不耦合装药结构能够降低爆破震动,减小爆破粉尘危害,且块度更均匀. ...
空气与水介质不耦合装药爆破数值模拟
1
2009
... 影响下山巷道掘进效率的因素有很多,其中装药结构中的不耦合系数是一个重要的因素.耦合装药炸药利用率最高,但对孔壁周围岩石破坏较严重,会形成很大的粉碎区.煤矿下山巷道施工作业空间小、环境差,爆破形成较多的岩粉会对施工人员造成更大的潜在伤害;且为了施工和装药方便,炸药一般采用固定尺寸药卷,采用钻杆钎头直径大于炸药直径,施工过程本身就是空气不耦合装药.对于不耦合装药爆破,杜俊林等[12 ,13 ] 通过理论分析研究了水不耦合和空气不耦合装药结构时炮孔孔壁的冲击压力;宗琦等[14 ,15 ] 对水不耦合介质孔壁冲击压力和岩石破坏范围进行理论分析和现场试验;此外,一些学者采用数值模拟分析了水不耦合炸药的破岩机理和裂纹扩展[16 ,17 ,18 ,19 ] ;程兵等[20 ] 采用非线性数值模拟平台研究了不同不耦合系数下同心与偏心不耦合装药单个炮孔周围应力场分布及裂纹扩展规律;程俊飞等[21 ] 提出固液气三相分析爆破模型理论,分析了目前隧道钻爆施工中水与空气不耦合装药介质优选的问题;孙磊等[22 ] 将水不耦合装药应用在煤矿巷道施工,取得较好的效果;顾文彬等[23 ] 对耦合、空气不耦合和水不耦合装药结构进行了分析,并进行了现场爆破震动测试,发现水不耦合装药结构能够降低爆破震动,减小爆破粉尘危害,且块度更均匀. ...
炮孔偏心不耦合装药爆破效应数值模拟
1
2018
... 影响下山巷道掘进效率的因素有很多,其中装药结构中的不耦合系数是一个重要的因素.耦合装药炸药利用率最高,但对孔壁周围岩石破坏较严重,会形成很大的粉碎区.煤矿下山巷道施工作业空间小、环境差,爆破形成较多的岩粉会对施工人员造成更大的潜在伤害;且为了施工和装药方便,炸药一般采用固定尺寸药卷,采用钻杆钎头直径大于炸药直径,施工过程本身就是空气不耦合装药.对于不耦合装药爆破,杜俊林等[12 ,13 ] 通过理论分析研究了水不耦合和空气不耦合装药结构时炮孔孔壁的冲击压力;宗琦等[14 ,15 ] 对水不耦合介质孔壁冲击压力和岩石破坏范围进行理论分析和现场试验;此外,一些学者采用数值模拟分析了水不耦合炸药的破岩机理和裂纹扩展[16 ,17 ,18 ,19 ] ;程兵等[20 ] 采用非线性数值模拟平台研究了不同不耦合系数下同心与偏心不耦合装药单个炮孔周围应力场分布及裂纹扩展规律;程俊飞等[21 ] 提出固液气三相分析爆破模型理论,分析了目前隧道钻爆施工中水与空气不耦合装药介质优选的问题;孙磊等[22 ] 将水不耦合装药应用在煤矿巷道施工,取得较好的效果;顾文彬等[23 ] 对耦合、空气不耦合和水不耦合装药结构进行了分析,并进行了现场爆破震动测试,发现水不耦合装药结构能够降低爆破震动,减小爆破粉尘危害,且块度更均匀. ...
炮孔偏心不耦合装药爆破效应数值模拟
1
2018
... 影响下山巷道掘进效率的因素有很多,其中装药结构中的不耦合系数是一个重要的因素.耦合装药炸药利用率最高,但对孔壁周围岩石破坏较严重,会形成很大的粉碎区.煤矿下山巷道施工作业空间小、环境差,爆破形成较多的岩粉会对施工人员造成更大的潜在伤害;且为了施工和装药方便,炸药一般采用固定尺寸药卷,采用钻杆钎头直径大于炸药直径,施工过程本身就是空气不耦合装药.对于不耦合装药爆破,杜俊林等[12 ,13 ] 通过理论分析研究了水不耦合和空气不耦合装药结构时炮孔孔壁的冲击压力;宗琦等[14 ,15 ] 对水不耦合介质孔壁冲击压力和岩石破坏范围进行理论分析和现场试验;此外,一些学者采用数值模拟分析了水不耦合炸药的破岩机理和裂纹扩展[16 ,17 ,18 ,19 ] ;程兵等[20 ] 采用非线性数值模拟平台研究了不同不耦合系数下同心与偏心不耦合装药单个炮孔周围应力场分布及裂纹扩展规律;程俊飞等[21 ] 提出固液气三相分析爆破模型理论,分析了目前隧道钻爆施工中水与空气不耦合装药介质优选的问题;孙磊等[22 ] 将水不耦合装药应用在煤矿巷道施工,取得较好的效果;顾文彬等[23 ] 对耦合、空气不耦合和水不耦合装药结构进行了分析,并进行了现场爆破震动测试,发现水不耦合装药结构能够降低爆破震动,减小爆破粉尘危害,且块度更均匀. ...
水不耦合装药爆破模型推导及爆破效果分析
1
2017
... 影响下山巷道掘进效率的因素有很多,其中装药结构中的不耦合系数是一个重要的因素.耦合装药炸药利用率最高,但对孔壁周围岩石破坏较严重,会形成很大的粉碎区.煤矿下山巷道施工作业空间小、环境差,爆破形成较多的岩粉会对施工人员造成更大的潜在伤害;且为了施工和装药方便,炸药一般采用固定尺寸药卷,采用钻杆钎头直径大于炸药直径,施工过程本身就是空气不耦合装药.对于不耦合装药爆破,杜俊林等[12 ,13 ] 通过理论分析研究了水不耦合和空气不耦合装药结构时炮孔孔壁的冲击压力;宗琦等[14 ,15 ] 对水不耦合介质孔壁冲击压力和岩石破坏范围进行理论分析和现场试验;此外,一些学者采用数值模拟分析了水不耦合炸药的破岩机理和裂纹扩展[16 ,17 ,18 ,19 ] ;程兵等[20 ] 采用非线性数值模拟平台研究了不同不耦合系数下同心与偏心不耦合装药单个炮孔周围应力场分布及裂纹扩展规律;程俊飞等[21 ] 提出固液气三相分析爆破模型理论,分析了目前隧道钻爆施工中水与空气不耦合装药介质优选的问题;孙磊等[22 ] 将水不耦合装药应用在煤矿巷道施工,取得较好的效果;顾文彬等[23 ] 对耦合、空气不耦合和水不耦合装药结构进行了分析,并进行了现场爆破震动测试,发现水不耦合装药结构能够降低爆破震动,减小爆破粉尘危害,且块度更均匀. ...
水不耦合装药爆破模型推导及爆破效果分析
1
2017
... 影响下山巷道掘进效率的因素有很多,其中装药结构中的不耦合系数是一个重要的因素.耦合装药炸药利用率最高,但对孔壁周围岩石破坏较严重,会形成很大的粉碎区.煤矿下山巷道施工作业空间小、环境差,爆破形成较多的岩粉会对施工人员造成更大的潜在伤害;且为了施工和装药方便,炸药一般采用固定尺寸药卷,采用钻杆钎头直径大于炸药直径,施工过程本身就是空气不耦合装药.对于不耦合装药爆破,杜俊林等[12 ,13 ] 通过理论分析研究了水不耦合和空气不耦合装药结构时炮孔孔壁的冲击压力;宗琦等[14 ,15 ] 对水不耦合介质孔壁冲击压力和岩石破坏范围进行理论分析和现场试验;此外,一些学者采用数值模拟分析了水不耦合炸药的破岩机理和裂纹扩展[16 ,17 ,18 ,19 ] ;程兵等[20 ] 采用非线性数值模拟平台研究了不同不耦合系数下同心与偏心不耦合装药单个炮孔周围应力场分布及裂纹扩展规律;程俊飞等[21 ] 提出固液气三相分析爆破模型理论,分析了目前隧道钻爆施工中水与空气不耦合装药介质优选的问题;孙磊等[22 ] 将水不耦合装药应用在煤矿巷道施工,取得较好的效果;顾文彬等[23 ] 对耦合、空气不耦合和水不耦合装药结构进行了分析,并进行了现场爆破震动测试,发现水不耦合装药结构能够降低爆破震动,减小爆破粉尘危害,且块度更均匀. ...
水不耦合装药结构在煤矿井巷掘进光面爆破中的应用
1
2010
... 影响下山巷道掘进效率的因素有很多,其中装药结构中的不耦合系数是一个重要的因素.耦合装药炸药利用率最高,但对孔壁周围岩石破坏较严重,会形成很大的粉碎区.煤矿下山巷道施工作业空间小、环境差,爆破形成较多的岩粉会对施工人员造成更大的潜在伤害;且为了施工和装药方便,炸药一般采用固定尺寸药卷,采用钻杆钎头直径大于炸药直径,施工过程本身就是空气不耦合装药.对于不耦合装药爆破,杜俊林等[12 ,13 ] 通过理论分析研究了水不耦合和空气不耦合装药结构时炮孔孔壁的冲击压力;宗琦等[14 ,15 ] 对水不耦合介质孔壁冲击压力和岩石破坏范围进行理论分析和现场试验;此外,一些学者采用数值模拟分析了水不耦合炸药的破岩机理和裂纹扩展[16 ,17 ,18 ,19 ] ;程兵等[20 ] 采用非线性数值模拟平台研究了不同不耦合系数下同心与偏心不耦合装药单个炮孔周围应力场分布及裂纹扩展规律;程俊飞等[21 ] 提出固液气三相分析爆破模型理论,分析了目前隧道钻爆施工中水与空气不耦合装药介质优选的问题;孙磊等[22 ] 将水不耦合装药应用在煤矿巷道施工,取得较好的效果;顾文彬等[23 ] 对耦合、空气不耦合和水不耦合装药结构进行了分析,并进行了现场爆破震动测试,发现水不耦合装药结构能够降低爆破震动,减小爆破粉尘危害,且块度更均匀. ...
水不耦合装药结构在煤矿井巷掘进光面爆破中的应用
1
2010
... 影响下山巷道掘进效率的因素有很多,其中装药结构中的不耦合系数是一个重要的因素.耦合装药炸药利用率最高,但对孔壁周围岩石破坏较严重,会形成很大的粉碎区.煤矿下山巷道施工作业空间小、环境差,爆破形成较多的岩粉会对施工人员造成更大的潜在伤害;且为了施工和装药方便,炸药一般采用固定尺寸药卷,采用钻杆钎头直径大于炸药直径,施工过程本身就是空气不耦合装药.对于不耦合装药爆破,杜俊林等[12 ,13 ] 通过理论分析研究了水不耦合和空气不耦合装药结构时炮孔孔壁的冲击压力;宗琦等[14 ,15 ] 对水不耦合介质孔壁冲击压力和岩石破坏范围进行理论分析和现场试验;此外,一些学者采用数值模拟分析了水不耦合炸药的破岩机理和裂纹扩展[16 ,17 ,18 ,19 ] ;程兵等[20 ] 采用非线性数值模拟平台研究了不同不耦合系数下同心与偏心不耦合装药单个炮孔周围应力场分布及裂纹扩展规律;程俊飞等[21 ] 提出固液气三相分析爆破模型理论,分析了目前隧道钻爆施工中水与空气不耦合装药介质优选的问题;孙磊等[22 ] 将水不耦合装药应用在煤矿巷道施工,取得较好的效果;顾文彬等[23 ] 对耦合、空气不耦合和水不耦合装药结构进行了分析,并进行了现场爆破震动测试,发现水不耦合装药结构能够降低爆破震动,减小爆破粉尘危害,且块度更均匀. ...
装药结构对爆破震动能量传递及爆破效果影响研究
1
2016
... 影响下山巷道掘进效率的因素有很多,其中装药结构中的不耦合系数是一个重要的因素.耦合装药炸药利用率最高,但对孔壁周围岩石破坏较严重,会形成很大的粉碎区.煤矿下山巷道施工作业空间小、环境差,爆破形成较多的岩粉会对施工人员造成更大的潜在伤害;且为了施工和装药方便,炸药一般采用固定尺寸药卷,采用钻杆钎头直径大于炸药直径,施工过程本身就是空气不耦合装药.对于不耦合装药爆破,杜俊林等[12 ,13 ] 通过理论分析研究了水不耦合和空气不耦合装药结构时炮孔孔壁的冲击压力;宗琦等[14 ,15 ] 对水不耦合介质孔壁冲击压力和岩石破坏范围进行理论分析和现场试验;此外,一些学者采用数值模拟分析了水不耦合炸药的破岩机理和裂纹扩展[16 ,17 ,18 ,19 ] ;程兵等[20 ] 采用非线性数值模拟平台研究了不同不耦合系数下同心与偏心不耦合装药单个炮孔周围应力场分布及裂纹扩展规律;程俊飞等[21 ] 提出固液气三相分析爆破模型理论,分析了目前隧道钻爆施工中水与空气不耦合装药介质优选的问题;孙磊等[22 ] 将水不耦合装药应用在煤矿巷道施工,取得较好的效果;顾文彬等[23 ] 对耦合、空气不耦合和水不耦合装药结构进行了分析,并进行了现场爆破震动测试,发现水不耦合装药结构能够降低爆破震动,减小爆破粉尘危害,且块度更均匀. ...
装药结构对爆破震动能量传递及爆破效果影响研究
1
2016
... 影响下山巷道掘进效率的因素有很多,其中装药结构中的不耦合系数是一个重要的因素.耦合装药炸药利用率最高,但对孔壁周围岩石破坏较严重,会形成很大的粉碎区.煤矿下山巷道施工作业空间小、环境差,爆破形成较多的岩粉会对施工人员造成更大的潜在伤害;且为了施工和装药方便,炸药一般采用固定尺寸药卷,采用钻杆钎头直径大于炸药直径,施工过程本身就是空气不耦合装药.对于不耦合装药爆破,杜俊林等[12 ,13 ] 通过理论分析研究了水不耦合和空气不耦合装药结构时炮孔孔壁的冲击压力;宗琦等[14 ,15 ] 对水不耦合介质孔壁冲击压力和岩石破坏范围进行理论分析和现场试验;此外,一些学者采用数值模拟分析了水不耦合炸药的破岩机理和裂纹扩展[16 ,17 ,18 ,19 ] ;程兵等[20 ] 采用非线性数值模拟平台研究了不同不耦合系数下同心与偏心不耦合装药单个炮孔周围应力场分布及裂纹扩展规律;程俊飞等[21 ] 提出固液气三相分析爆破模型理论,分析了目前隧道钻爆施工中水与空气不耦合装药介质优选的问题;孙磊等[22 ] 将水不耦合装药应用在煤矿巷道施工,取得较好的效果;顾文彬等[23 ] 对耦合、空气不耦合和水不耦合装药结构进行了分析,并进行了现场爆破震动测试,发现水不耦合装药结构能够降低爆破震动,减小爆破粉尘危害,且块度更均匀. ...