煤矿下山巷道水与空气不耦合装药爆破技术对比研究 |
| 汪海旭,宗琦,汪海波,王梦想 |
|
Water-uncouple Charge Blasting Technology for Diphead Roadway in Coalmine |
| Haixu WANG,Qi ZONG,Haibo WANG,Mengxiang WANG |
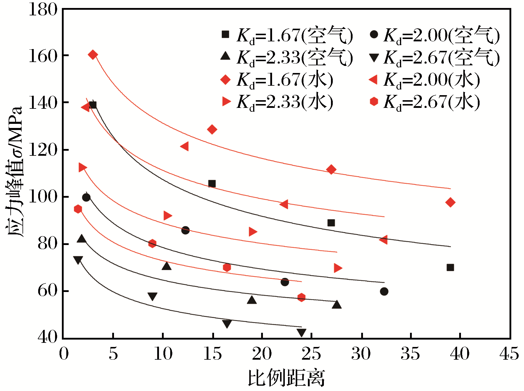
| 图3 应力峰值随比例距离衰减曲线 |
| Fig.3 Attenuation curve of stress peak value with borehole distance |
|