ISSN 1005-2518
CN 62-1112/TF
期刊首页 当期目录

2024年, 第32卷, 第4期 
刊出日期:2024-08-31
  

  • 全选
    |
  • 黄金科学技术. 2024, 32(4): 1.
    摘要 ( ) PDF全文 ( )   可视化   收藏
  • 矿产勘查与资源评价
  • 袁梓焜, 邵拥军, 刘清泉, 张毓策, 王智琳
    黄金科学技术. 2024, 32(4): 559-578. https://doi.org/10.11872/j.issn.1005-2518.2024.04.081
    摘要 ( ) PDF全文 ( ) HTML ( )   可视化   收藏

    万古地区金矿床成矿流体的性质、来源和演化以及矿床成因类型尚存在争议。本次选择万古地区的江东金矿床,系统开展了不同阶段石英的SEM-CL分析、流体包裹体显微测温、激光拉曼光谱分析以及H-O同位素测试。流体包裹体测试结果表明,成矿流体由中温、中—低盐度的H2O-NaCl-CO2体系逐渐演化为中—低温、中—低盐度的H2O-NaCl体系。H-O同位素测试结果表明:岩浆流体是主要的成矿流体来源,可能来源于燕山期的岩浆活动。金在成矿流体中主要以Au(HS)2-形式运移,流体不混溶作用和水—岩反应可能是金沉淀的主要机制。综合江东金矿床地质特征、流体包裹体特征和H-O同位素研究结果,认为其属于与岩浆活动有关的岩浆热液型金矿床。

  • 袁桂林, 马玉亮, 陈建洲, 蒋远山, 徐永锋, 晁海德, 丁成旺, 梁辉
    黄金科学技术. 2024, 32(4): 579-593. https://doi.org/10.11872/j.issn.1005-2518.2024.04.027
    摘要 ( ) PDF全文 ( ) HTML ( )   可视化   收藏

    为评价柴达木巴伦马海盆地盐湖黏土型钾锂矿可加工性和可利用性,开展了X射线衍射分析、TOF-SIMS(飞行时间二次离子质谱)元素面扫描分析等岩矿测试和溶矿试验。结果表明:盐湖黏土型钾锂矿主要矿物类型为造岩矿物碎屑、盐类矿物、吸附于矿物表面或层状矿物结构面的物质。主要化学成分为K、Na、O、Cl,盐类矿物成分Cl-SO42-、K、Ca、Na、Mg、B2O3含量高,稀有元素Li、Rb、Cs、Sr富集明显。黏土层中水可溶物为石盐、光卤石和水氯镁石,Li、K可以通过水溶方式溶取利用。分析认为K的赋存类型主要为可溶性盐类矿物、长石和黏土矿物;锂的赋存类型主要为吸附锂和结构型锂,吸附锂包括水溶锂和酸浸锂,残渣态锂属于结构型锂。溶矿试验显示巴伦马海盐湖黏土型钾锂矿中K达到固体矿工业指标,Li达到液体矿综合评价指标,证实是可采出、有价值、可加工、可利用的矿产,估算潜在LiCl资源为114.41万t,KCl资源为1 395.22万t。推荐Li≥32.25×10-6为黏土型钾锂矿的锂综合利用品位。

  • 采选技术与矿山管理
  • 郑思将, 李夕兵, 陈江湛, 黄麟淇
    黄金科学技术. 2024, 32(4): 594-609. https://doi.org/10.11872/j.issn.1005-2518.2024.04.089
    摘要 ( ) PDF全文 ( ) HTML ( )   可视化   收藏

    高温真三轴试验机研制过程中,高温环境、循环加卸载和循环热冲击等复杂加载条件对试验系统隔热性能提出了严苛要求。为了科学合理地选择复杂条件下高温真三轴试验机的隔热材料,制备了3种高温工程隔热材料,分别是高聚热能酰胺脂隔热材料(GX)、玻璃纤维与耐高温树脂复合隔热材料(BX)和高温阻隔复合云母材料(YM),并开展考虑实际仪器设备工况下的循环热冲击、高温环境和循环加卸载等室内试验。结果表明:在高温环境影响下3种隔热材料的导热系数均随温度的升高呈现先升高后降低的趋势,弹性模量出现了一定幅度的下降;随着循环加热冷却次数的增加,YM材料的导热系数数值平稳下降,BX和GX材料的导热系数呈现先升高后降低的变化趋势,弹性模量变化规律与高温环境影响下相似;隔热材料的导热系数均随着循环加卸载次数的增加呈现先升高后降低的变化趋势,其中初次加卸载对材料隔热性能和物理性能的影响最大;综合热—力学性能评判,YM材料性能最稳定,为岩石真三轴试验机隔热材料的最优选。

  • 周宇, 李旭, 张鹏姣, 陈需, 王建国, 李强
    黄金科学技术. 2024, 32(4): 610-619. https://doi.org/10.11872/j.issn.1005-2518.2024.04.067
    摘要 ( ) PDF全文 ( ) HTML ( )   可视化   收藏

    为探究矽卡岩在水化作用下的冲击力学性能,采用可加载轴围压的分离式霍普金森压杆系统(SHPB),分别对自然和饱水状态的矽卡岩试样开展了三维动静组合冲击试验,研究不同含水状态下矽卡岩试样的动态力学特性、能量耗散特征及破碎形态的差异性。结果表明:饱水状态下矽卡岩的动态抗压强度相比自然状态整体有所弱化,减小了10.47%~16.32%,但水对矽卡岩动态力学强度的影响随应变率的增大而逐渐减弱;水会降低矽卡岩试样对能量的吸收率,当吸能密度足够大时,动态抗压强度将不受矽卡岩内部水的影响;水化作用使得试样在饱水和自然状态冲击后的破裂形态率效应差异明显。

  • 李振阳, 张宝岗, 熊信, 杨承业, 白玉奇
    黄金科学技术. 2024, 32(4): 620-630. https://doi.org/10.11872/j.issn.1005-2518.2024.04.022
    摘要 ( ) PDF全文 ( ) HTML ( )   可视化   收藏

    爆破振动的质点峰值速度(Peak Particle Velocity,PPV)是评估爆破开采设计参数合理性的重要指标。为实现一种PPV有效预测模型,借助粒子群优化算法(Particle Swarm Optimization,PSO),结合优化极端梯度提升树(Extreme gradient boosting,XGBoost),构建了一种参数自优化的PSO-XGBoost预测模型。以LK露天铜钴矿为研究对象,选取最大单段炸药量、总炸药量、测量的爆心距、炮孔平均进深尺度和高程差共5个影响因素指标作为研究参数,通过现场收集187次爆破作业实测数据,进一步开展PPV的PSO-XGBoost预测研究,并与传统XGBoost模型、SSA-XGBoost优化模型及萨道夫斯基经验公式的PPV回归预测进行对比分析,最后利用Shapley Additive Explanatory(SHAP)方法开展影响PPV预测结果的敏感性因素分析。结果表明:PSO-XGBoost预测模型的预测评价指标计算结果最优(R2=0.921,RMSE=0.0752,MAE=0.0717,MBE=0.0683),其对PPV的预测结果明显优于传统XGBoost模型、SSA-XGBoost混合优化模型及萨道夫斯基经验公式,同时,敏感性分析得到总炸药用量是影响PPV预测结果的重要参数。进一步说明PSO-XGBoost预测模型可处理多因素的非线性特征,利用PSO-XGBoost预测模型能够更好地结合非线性、离散数据,建立一种可靠、简单有效的PPV预测模型。研究结果可为露天矿山爆破振动快速预测提供参考。

  • 盛宇航, 裴佃飞, 齐兆军, 荆晓东
    黄金科学技术. 2024, 32(4): 631-639. https://doi.org/10.11872/j.issn.1005-2518.2024.04.075
    摘要 ( ) PDF全文 ( ) HTML ( )   可视化   收藏

    为探究尾砂粒级组成与充填料流变特性及强度之间的关系,采用全尾砂、旋流器分级溢流和底流尾砂经人工配制成5种尾砂充填料,开展了不同粒级组成尾砂充填料流变与强度试验。结果表明:随着尾砂中-38 μm细粒级含量的增加,充填料浆屈服应力和塑性黏度增加,且-38 μm细粒级含量越高充填料浆屈服应力和塑性黏度增加幅度越大;随着细粒级尾砂含量的增加,水化膜厚度呈先增加后降低的变化趋势;充填料浆初始屈服应力和塑性黏度受水化膜厚度和固体颗粒比表面积的双重影响;当细粒级尾砂含量超过44.37%时,水化膜厚度与充填料浆初始屈服应力和塑性黏度之间存在负指数关系。随着细粒级尾砂含量的增加,尾砂充填体强度先增加后减小,细粒级含量为44.37%时为尾砂最佳粒级组成,此时充填体中尾砂堆积所形成的骨架结构最密实,充填体总孔隙率、平均孔径和大于0.2 μm有害孔占比最小。

  • 何祥锐, 邱贤阳, 史秀志, 李小元, 支伟, 刘军, 王远来
    黄金科学技术. 2024, 32(4): 640-653. https://doi.org/10.11872/j.issn.1005-2518.2024.04.097
    摘要 ( ) PDF全文 ( ) HTML ( )   可视化   收藏

    为了研究地下金属矿充填开采覆岩移动规律,以盘龙铅锌矿采场作为研究对象,建立非线性弹性地基梁力学模型,开展了不同采场结构参数、顶板厚度、原岩应力及充填体配比对于覆岩移动的影响研究。研究发现5个因素对于覆岩移动的影响从强到弱依次为充填体配比、采场结构参数、顶板厚度、原岩应力,提高充填体配比是控制覆岩位移的关键。通过采用Flac3D数值模拟方法计算不同充填体配比下覆岩移动值,将数值模拟分析结果与力学理论计算结果进行对比,二者差异率在3%~9%之间,从而验证了力学模型计算结果的可靠性。基于研究结果,提出地下矿山充填开采覆岩沉降控制技术,并将其应用于工业试验。研究成果可为类似矿山进行岩层控制提供借鉴。

  • 王史文, 王晟, 凌炜佳, 朱忠华, 杨鑫源, 沙文忠, 杨家宏
    黄金科学技术. 2024, 32(4): 654-665. https://doi.org/10.11872/j.issn.1005-2518.2024.04.080
    摘要 ( ) PDF全文 ( ) HTML ( )   可视化   收藏

    自然崩落采矿法会造成一定范围的地表塌陷,是矿山的重大安全隐患。无人机航测在大面积复杂地表监测方面具有安全性好、作业流程简单及精度高的优点,是地表塌陷监测和三维建模的优选技术手段。针对国内最大的自然崩落法矿山,运用无人机航测对该矿山自然崩落法开采诱发的地表塌陷进行非接触监测,开发了无人机航测技术流程,提出了基于无人机航测的地表塌陷三维建模方法,以及三维建模精度分析方法。通过构建三维模型,进行地表塌陷影响区范围分析和塌陷影响区剖面数据分析以及地表塌陷理论分析,研究该矿山2022年3月至2023年3月塌陷区的变化,得到塌陷区变化特点和规律;采用概率积分法对地表塌陷规律进行预测,得出该矿山地表塌陷概率积分法预测值与实测值之间的误差小于0.18 m。研究结果可为该矿山地表治理和泥石流防治提供依据。

  • 钟德云, 刘雨龙, 王李管
    黄金科学技术. 2024, 32(4): 666-674. https://doi.org/10.11872/j.issn.1005-2518.2024.04.138
    摘要 ( ) PDF全文 ( ) HTML ( )   可视化   收藏

    为了确定多级机站风机的最优不平衡风压分配方式,提出了一种以通风风机功率最小、最佳匹配风机风量和最佳匹配风机风压为目标的多级机站风机优选多目标优化模型,可用于确定各装机点所需的优选风机型号及风机安装角度。该模型既获得了近似满足风量要求的优选方案,也避免了非线性模型求解不收敛的问题,并在大规模多级机站通风系统中表现出高效的求解能力。此外,提出的多风机优选方法通过数学模型构建各级机站之间的相互约束关系,在风机工况范围内约束各装机点的不平衡风压,以解决各级机站风机风压合理分配的问题,避免因风机风压分配不合理导致风机选型失败。实例验证结果表明本研究的多级机站通风系统风机选型方案是可靠的。

  • 温晨, 黄敏, 邱贤阳, 黄帅
    黄金科学技术. 2024, 32(4): 675-684. https://doi.org/10.11872/j.issn.1005-2518.2024.04.006
    摘要 ( ) PDF全文 ( ) HTML ( )   可视化   收藏

    PFC数值模拟所需的微观参数通常通过人工试算的方式进行标定,该方法受标定人员经验的影响,效率较低,难以快速处理大量岩石试件。以平行黏结模型为例,建立微观参数正交试验表并进行数值模拟,以此为样本分别使用支持向量回归机(SVR)和BP神经网络模型进行训练,对室内测得的宏观参数进行预测,得到的微观参数进行数值模拟分析预测效果,若效果不佳则将模拟数据加入样本继续训练直至获得理想的结果。研究表明:利用数值模拟和机器学习相结合的正反演方法,可以高效标定微观参数,其中BP神经网络模型需要试算7次,而支持向量机模型仅需试算3次,标定效率更高。因此,基于正反演结合的SVR微观参数辅助标定方法不仅效率高、可重复性强、不受标定人员经验影响,而且适用于批量试件的标定工作。

  • 陈桥, 姬龙雪, 董欣, 倪蓉, 李岩松, 佟琳琳, 杨洪英
    黄金科学技术. 2024, 32(4): 685-693. https://doi.org/10.11872/j.issn.1005-2518.2024.04.106
    摘要 ( ) PDF全文 ( ) HTML ( )   可视化   收藏

    尼尔森选矿机广泛应用于金矿选矿领域,查清重矿物富集机制对提高选矿效率具有重要意义。以甘肃某石英脉型金矿石(金品位为6.5×10-6)为原料,探究了MD3型尼尔森选矿机富集准数(X)与富集机制之间的关系,并考察了不同富集机制下的分选效果。结果表明:当X>9、5<X<9和X<5时,分别对应表面富集、置换富集和淘析富集;当富集锥转速为1 465 r/min、水流量为3.0 L/min时,获得精矿金品位为124.4×10-6,金回收率为70.36%,选矿效果最好;该条件下粗、中粒金在底层富集环中置换富集,微、细粒金在上层富集环中以表面富集和钻隙沉降的方式富集。当富集准数X值过大时,床层压实,过载现象出现过早;当X值过小时,强烈的反冲水作用导致微、细金流失,二者均不利于金回收,在工业实践中应尽量避免。

  • 李哲阳, 许辉, 谢峰, 李龙龙, 张小普, 姚鑫, 吴彩斌
    黄金科学技术. 2024, 32(4): 694-703. https://doi.org/10.11872/j.issn.1005-2518.2024.04.031
    摘要 ( ) PDF全文 ( ) HTML ( )   可视化   收藏

    三段磨矿工艺通常采用钢锻或钢球作为细磨介质,存在高能耗、高球耗和粒度分布特性差等问题。以尖山铁矿三段球磨机给矿作为研究对象,进行了批次磨矿试验,研究了钢锻和瓷球作为细磨介质下的磨矿动力学特征以及瓷球磨矿工艺参数对产品粒度特性的影响。结果表明:超细粒级磁铁矿磨矿动力学线性特征不明显,更倾向于一阶磨矿动力学特征,且瓷球的细磨能力优于钢锻。瓷球磨矿工业应用后,在相同溢流细度和铁精矿品位下,球耗降幅达17.52%,节电幅度达42.37%,综合磨矿成本下降32.11%。瓷球可作为新型介质完全替代钢锻磨矿。

  • 叶前林, 李佳欣, 赖丹
    黄金科学技术. 2024, 32(4): 704-716. https://doi.org/10.11872/j.issn.1005-2518.2024.04.050
    摘要 ( ) PDF全文 ( ) HTML ( )   可视化   收藏

    重构产业价值链是“双循环”视阈下我国突破西方稀土供应链重塑围堵和低端价值“俘获”困局的战略选择。以稀土内外价值链结构变化为切入点,剖析“外循环”主导和“双循环”格局下稀土产业发展的逻辑差异,并采用出口技术复杂度和DEA-Malmquist指数,分别衡量我国稀土产业全球价值链地位和国内发展水平,最后探讨我国稀土产业价值链重构路径。研究表明:(1)“外循环”主导下,我国稀土产业面临外部“被脱钩”风险、“低端锁定”桎梏,以及内部同质企业博弈窘境;而在“双循环”格局下,我国稀土产业有望从“抱团取暖”转向“筑链共进”策略,从而增强稀土产业链韧性和抗风险能力;(2)我国稀土全球价值链地位始终保持较高水平,国内稀土产业链各环节效率整体呈增长趋势,但下游环节规模结构需进一步优化。为了应对全球稀土供应链格局巨变,我国稀土应以“全产业链环节突破、地域—产业协同并进”的方式,构建国内稀土产业价值链;采取向价值链高端借“智”、低端借“市”的双向借势策略,主导稀土产业区域价值链;以“两链”交互嵌入稀土全球价值链高端,重塑全球稀土产业格局。

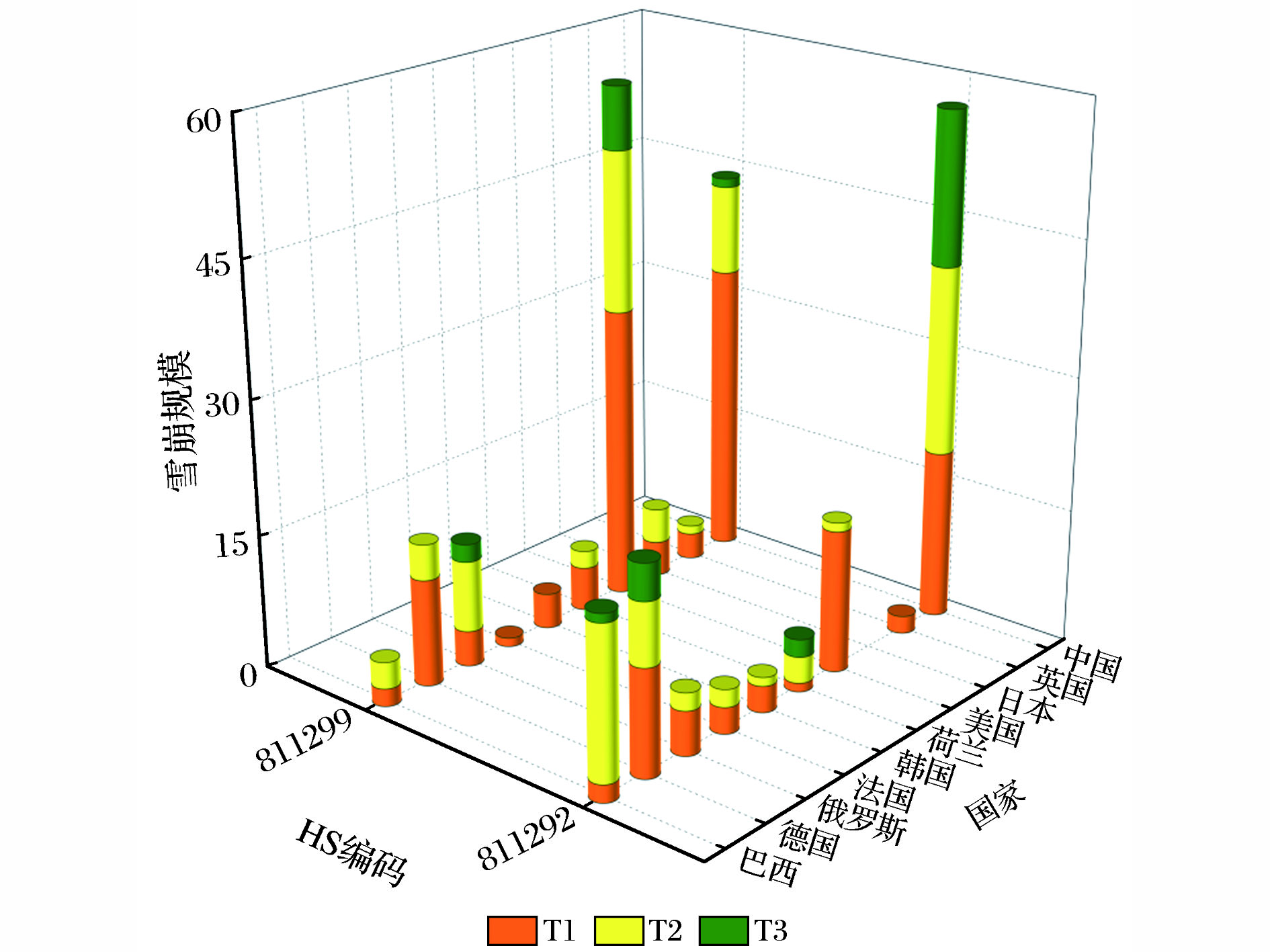
  • 廖秋敏, 谢柳燕, 韩嘉雯
    黄金科学技术. 2024, 32(4): 717-730. https://doi.org/10.11872/j.issn.1005-2518.2024.04.088
    摘要 ( ) PDF全文 ( ) HTML ( )   可视化   收藏

    镓和锗是广泛应用于高新技术领域的重要战略资源。为了估测原产地发生供应危机对全球各国造成的影响,选取了2002—2022年金属镓、锗的贸易数据,运用贸易网络分析方法探究全球金属镓、锗贸易网络格局演变;建立级联失效(雪崩)模型,确立参数r1=r2=7,模拟2022年不同爆发源供应危机传播状况。研究发现:从全球贸易格局演变来看,金属镓、锗贸易规模和贸易平均度上升,亚洲国家与美国的贸易依赖关系有所减弱,南美洲对美国消费市场的贸易依赖指数增强;从网络供应危机传播来看,中国危机传播规模最大,传播轮次最多,美国和德国次之;在未锻轧金属镓、锗产品的贸易中,美国不会受中国供应危机的直接影响,而是通过比利时和瑞士受到间接影响。

  • 季俊伟, 陈亦霏, 陆静, 罗涵
    黄金科学技术. 2024, 32(4): 731-744. https://doi.org/10.11872/j.issn.1005-2518.2024.04.117
    摘要 ( ) PDF全文 ( ) HTML ( )   可视化   收藏

    我国黄金市场对原油市场的避险能力表现尚不清晰。基于原油市场收益率极端风险和价格下跌风险2种视角,采用分位数GARCH模型,实证对比考察了黄金国内板和国际板对上海原油和WTI原油避险能力的差异,并基于波动溢出和价格发现功能视角对结果进行了合理解释。结果表明:黄金国际板对上海原油的避险能力最弱。从国际视野来看,由于上海原油不仅易受到WTI原油风险的影响,而且与黄金国际板的联动性弱于WTI原油与黄金国际板的联动性,使得黄金国际板对上海原油的避险能力整体弱于其对WTI原油的避险能力;从国内视野来看,由于黄金国际板的价格发现功能严重滞后于黄金国内板,使得黄金国际板对上海原油的避险能力整体弱于黄金国内板对上海原油的避险能力。