不同应力路径下岩石细观力学性能离散元研究
1.
2.
3.
Research on Meso-mechanical Properties of Rock Under Different Stress Paths Based on Discrete Element Method
1.
2.
3.
收稿日期: 2022-08-10 修回日期: 2022-10-19
| 基金资助: |
|
Received: 2022-08-10 Revised: 2022-10-19
作者简介 About authors
李杰林(1982-),男,湖南宁远人,博士,副教授,从事采矿工程与岩石力学研究工作
关键词:
Keywords:
本文引用格式
李杰林, 王京瑶, 肖益盖, 李小双.
LI Jielin, WANG Jingyao, XIAO Yigai, LI Xiaoshuang.
在岩体工程中,岩体的应力状态对围岩稳定性具有显著影响。目前,国内外学者通过开展单轴压缩和常规三轴压缩等岩石力学试验来研究岩石在加卸载过程中的变形破坏情况(Li et al.,2017;胡光辉等,2018;赵博等,2021)。然而,在实际开挖施工过程中,岩体主要呈现径向处于卸载、轴向处于加载的应力状态,该应力状态引发的工程问题屡见不鲜(Fan et al.,2021)。因此,传统的研究方法所得到的结果不能真实反映岩体所处的应力状态,在指导工程施工过程中面临着诸多困难。
在工程施工中,由于应力卸荷对岩石的稳定性会产生影响,因此岩石的卸荷过程及岩体稳定性变化特征研究得到了广泛关注。Zhang et al.(2021)通过设计三轴循环加卸载试验研究了恒定围压和降低围压2种状态下砂岩的弹性模量、泊松比和损伤变量的演化规律,获得了岩石延展性和脆性随应力变化的演化特征。Yang et al.(2022)基于轴向应变变化率和径向应变变化率对围压加卸载条件下的岩石力学性能进行研究,认为围压加卸载过程对试样的径向应变特征影响较大,对轴向应变特征影响较小。Zhao et al.(2021)对轴向应力恒定、不同初始径向应力和匀速卸载径向应力条件下的砂岩进行力学响应分析,研究表明岩石会发生一定程度的剪切剪胀效应,但剪胀系数与岩石所受围压之间并不存在明显的内在联系。以上研究从不同角度对地下工程开挖过程中的岩石应力加卸载特征进行了分析,得到了实际工况下岩石宏观力学性能和部分微观力学性能的演化规律,对地下工程岩体开挖具有重要的参考价值。
然而,以室内试验研究来反映地下工程中的岩石开挖应力卸载效应及力学特征尚存在一定的局限性,且由于试验条件和岩石种类的差异性,得出的结论适用性也存在较大的争论。目前有学者认为应力路径对岩样强度不会产生显著影响(Swan-sson et al.,1971;Crouch,1972;陈旦熹等,1982;吴玉山等,1984),也有学者认为地下开挖导致的卸荷作用会使得岩石强度降低(高春玉等,2005;汪斌等,2008;赵国斌等,2013)。产生上述分歧的主要原因是岩样加工过程中初始损伤程度不同、试验中所采用的荷载控制方法不同及重复样本数量较少,从而造成试验结果离散误差大于应力路径对强度影响的真实范围。离散元颗粒流程序(Particle Flow Code,PFC)在岩土工程领域应用广泛,不仅可以模拟岩石晶粒之间的黏结,而且可以实时监测岩石损伤过程中微裂纹的发展(石崇等,2018)。鉴于此,通过离散元数值模拟试验方法开展地下巷道开挖过程中的围岩真实应力路径分析能够有效克服上述问题,且由于离散元方法能够同时考虑岩石损伤的累积效应、微裂纹的扩展和丛集情况等,模拟结果具有较高的可靠性,该研究方法已被广泛应用于各类岩土工程中(O’Sullivan,2011;Liu et al.,2013;Coetzee,2017;Abousleiman et al.,2020;Meng et al.,2021;Li et al.,2021)。
本研究基于离散元法,开展不同卸载路径下的砂岩三轴数值试验,分析不同卸载路径下岩石宏观强度特征及细观损伤过程的差异性,研究结果可为地下巷道开挖过程中的围岩卸载破坏分析提供参考。
1 地下巷道开挖过程的不同应力路径分析
1.1 不同应力路径分析
为了分析地下巷道开挖过程中上述3种应力路径变化特征,采用离散元数值模拟方法进行了模拟试验,采用“wall”命令设置模型边界,并选择能够反映岩石力学性质的平行黏结模型(Parallelbon-ded contact)进行建模,如图1所示。
图1
图1
地下巷道卸载过程中围岩应力变化情况
Fig.1
Variation of surrounding rock stress during unloading process of underground roadway
其中,假设该巷道开挖的应力状态由自重应力提供,巷道埋深约为100 m。考虑到巷道开挖过程中,巷道顶部和底部区域处于轴向卸载、横向加载状态,这种情况下只有原始的节理和断层会引发巷道塌陷,不会造成加载破坏;同时,在巷道开挖过程中,巷道两帮处于轴向加载、横向卸载状态,此种状态会对巷道的稳定性产生重要影响。由于巷道左右两帮的应力状态相似,故在巷道左帮下部、左帮上部及两巷道连接中线上分别布置应力圆进行应力监测,其应力状态如图1所示。当时间步长为0时,表示未开挖自重平衡的应力状态,当应力趋于平稳时,表示开挖之后自重平衡的应力状态。由图1可以看出,开挖后巷道围岩应力出现重新分布,即水平方向出现了不同程度的卸载,竖直方向上经历加载、恒定和卸载3种调整方式,该结果与上述工程实际中的应力状态相符。而常规的三轴加载试验中往往采取的是恒定围压、增加轴压的应力加载路径方式,该加载方式显然不能真实反映巷道开挖过程的应力状态。
1.2 不同应力路径加载试验方案
在岩石加卸载试验中,由于体应变转折时岩石内部损伤加快,岩石会从稳定状态向不稳定状态过渡,应力—应变曲线从线弹性阶段向塑性阶段过渡,裂纹开始扩展。此种状态在工程中容易引发灾害,故将应力—应变状态的体应变转折点视为卸荷点,认为该点为岩石状态的脆延性转折点。根据已有成果及数值模拟结果,提出了描述巷道开挖过程应力状态的4种应力路径,即围压卸载—轴压减少(方案1)、围压卸载—轴压不变(方案2)、围压卸载—轴压增加(方案3)和围压不变—轴压增加(方案4),如图2所示。
图2
图2
巷道开挖过程4种应力路径方案
Fig.2
Four stress path schemes in roadway excavation process
图3
根据常规三轴试验结果,以40 MPa围压下的常规加载试验临界状态点(弹塑性转折点)作为卸荷点,开展不同应力路径的卸载试验。卸载过程采用应力控制,设定卸载速率为0.05 MPa/s,并保持在整个卸载过程中砂岩试样均处于准静态,具体试验方案见图4,其中,σ1为轴向应力,σ3为围压。。
图4
2 离散元模型构建与标定
为了消除围压效应对宏观强度的影响,首先通过室内试验标定出岩石的强度准则,然后在此基础上进行不同应力路径加卸载试验。室内试验所用岩样为粗砂岩,取自同一块岩块,加工成直径为50 mm、高度为100 mm的圆柱形试样,试验仪器为硬岩三轴液压伺服加载系统。
离散元三维模型的构建需要考虑颗粒的属性以及接触模型的参数,整个赋值过程需要根据室内试验结果进行参数标定。考虑到当模型尺寸与半径的比值超过50后,颗粒半径对精度的影响不再显著(Li et al.,2014;Cheng et al.,2020),故设置颗粒半径为1.00~1.66 mm,颗粒半径在该范围内均匀分布。选用能够模拟矿物颗粒胶结过程的平行黏结模型进行砂岩试样的建模,离散元模拟过程将颗粒材料视作近似线性材料,在小尺度范围内模拟误差较小。
表1 离散元细观参数取值
Table 1
| 参数名称 | 数值 | 参数名称 | 数值 |
|---|---|---|---|
| 模型宽度/mm | 50 | 颗粒刚度比 | 1.5 |
| 模型高度/mm | 100 | 颗粒阻尼系数 | 0.5 |
| 颗粒半径/mm | 1.00~1.66 | 拉伸强度/MPa | 30 |
| 密度/(kg·m-3) | 2 500 | 内聚力/MPa | 30 |
| 孔隙度 | 0.1 | 黏结摩擦角/(°) | 30 |
| 摩擦系数 | 0.5 | 黏结有效模量/GPa | 13.0 |
| 有效模量/GPa | 13.0 | 黏结刚度比 | 6.0 |
图5
图5
20 MPa围压下砂岩试样的标定结果
Fig.5
Calibration results of sandstone samples under 20 MPa confining pressure
由图5可以看出,离散元试样与室内岩石力学试验所得到的应力—应变曲线、宏观破坏模式基本一致,说明离散元试样在加载过程中能够很好地还原室内试验结果,可用于开展不同卸载路径下的岩石三轴压缩试验。
3 试验结果及分析
3.1 常规三轴压缩试验结果
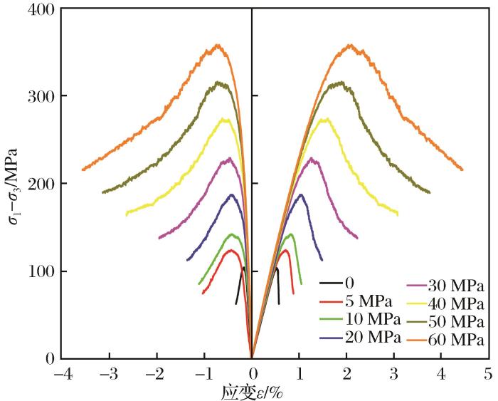
图6
图6
常规三轴离散元试验宏观裂纹
Fig.6
Macrocracks of conventional triaxial discrete element test
图7
图7
常规三轴离散元试验应力—应变曲线
Fig.7
Stress-strain curves of conventional triaxial discrete element test
如图7所示,数值试样的强度随着围压的增加而增强,破坏过程也由低围压时的脆性破坏逐渐过渡为高围压时的延性破坏。通过绘制不同围压下岩石极限应力强度曲线,得到该类岩石的摩尔强度包络线,同时统计得出该类岩石的脆延性转折参数。脆延性转折参数d的定义为:岩石在三轴试验过程中由脆性屈服转为延性屈服的临界参数。其表达式为
式中:
在对强度曲线进行拟合时需要考虑GHB(Generized Hoek-Brown)准则(Bai et al.,2010;Lee et al.,2021),该准则适用于常见的节理岩体,其表达式为
式中:
图8
3.2 3种应力卸载路径试验结果
根据常规三轴压缩试验结果,结合图2中提出的卸载方案,发现体应变转折点大约出现在峰前80%峰值强度处,因此对试样在峰前80%峰值强度处进行不同应力卸载路径试验。应力卸载路径试验通过伺服加卸载试验系统完成,具体是利用Fish语言控制颗粒的附加力来实现。对不同卸载路径下得到的强度数据进行统计(图8),可以发现不同卸载路径下同一种岩石的破坏过程也遵循Hoek-Brown强度准则,即不同的应力路径不会影响岩石的最终强度,这与前人文献(Swansson et al.,1971;Crouch,1972;陈旦熹等,1982;吴玉山等,1984)得出的结论一致。
图9、图10和图11分别为三轴卸载路径下数值试样的位移和微裂纹空间分布情况、应力情况及微裂纹数目统计情况。由不同应力路径下矿物颗粒的位移幅值可以看出,围压卸载—轴压增加应力路径下试样两端的位移模量最大,表现为楔形破坏模式,该状态下的最终破坏模式受到“X”剪切状态控制[图10(a)];围压卸载—轴压不变应力路径下位移幅值减少,颗粒位移呈现出层状错动[图9(a)];围压卸载—轴压减少应力路径下的颗粒位移特征不显著,其整体位移模量比围压卸载—轴压增加应力路径要低[图11(a)]。从微裂纹分布云图[图9(a)、图10(a)和图11(a)]和裂纹数目曲线图[图9(b)、图10(b)和图11(b)]中可以看出:围压卸载—轴压增加情况下的裂纹分布最多,且裂纹增长速度最快,这是由于该状态的能量集中速度最快。在变形方面,可以发现围压卸载—轴压不变试验的位移分布更加均匀[图9(a)],其余2种应力路径的位移分布云图呈现出交错状[图10(a)和图11(a)],这是由于轴压恒定时,只改变围压的情况更符合稳定的应力状态。对比不同应力路径下极限强度大小后可以发现不同应力路径对强度的影响不大。
图9
图9
围压卸载—轴压不变应力路径下位移、应力及裂纹扩展状况
Fig.9
Displacement,stress and crack propagation under confining pressure unloading-axial pressure constant stress path
图10
图10
围压卸载—轴压增加应力路径下位移、应力及裂纹扩展状况
Fig.10
Displacement,stress and crack propagation under confining pressure unloading-axial pressure increasing stress path
图11
图11
围压卸载—轴压减少应力路径下位移、应力及裂纹扩展状况
Fig.11
Displacement,stress and crack propagation under confining pressure unloading-axial compression reduction stress path
图12
图12
法向接触力矢量散点图
(a)加载路径对照组;(b)围压卸载—轴压增加;(c)围压卸载—轴压不变;(d)围压卸载—轴压减少
Fig.12
Vector scatter plot of normal contact force
图13
图13
切向接触力矢量散点图
(a)加载路径对照组;(b)围压卸载—轴压增加;(c)围压卸载—轴压不变;(d)围压卸载—轴压减少
Fig.13
Vector scatter plot of tangential contact force
图中红色为应力矢量,为了便于观察,在x-y、 x-z和y-z平面分别进行了投影处理。其中,蓝色部分为应力矢量在y-z平面的投影,绿色部分为应力矢量在x-z平面的投影。
在4种不同应力路径加卸载条件下,围压卸载—轴压不变应力路径下的法向应力和剪应力最大值均小于其他3种应力路径,表明围压卸载—轴压不变过程中岩样的应力状态更加稳定,应力集中性更弱。
图14为不同应力路径下岩样的微裂纹统计情况。从裂纹数量来看,围压卸载—轴压不变过程中岩样的裂纹总量最多。分析其原因,在围压卸载—轴压增加和围压卸载—轴压减少2种应力状态下岩样的应力集中程度更高,在不稳定的裂纹扩展过程中容易导致岩样宏观破坏的产生,而围压卸载—轴压不变应力状态下岩样的应力集中程度低,应力状态更加稳定,裂纹发育过程缓慢,从而在宏观破坏前产生了更多的微观裂纹数量。从裂纹倾角分布来看,裂纹的方向主要集中在45°和135°方向,这与内摩擦角和应力状态有关,裂纹倾角分布受到应力路径的影响较小。
图14
图14
不同应力路径下岩样的裂纹数量及裂纹倾角分布
Fig.14
Distribution of of cracks number and cracks inclination angle
4 结论
(1)不同卸载路径下粗砂岩遵循相同的强度准则,其强度准则和应力张量状态不受应力路径的影响,但损伤过程会受到不同应力路径的影响。
(2)不同应力路径对应力轴旋转和应力集中方向无明显影响。剪应力主方向始终偏向于应力张量的球张量状态,并在各个方向均匀分布;法向应力主方向在竖直方向呈现出明显的集中性。
(3)在变形方面,围压卸载—轴压不变路径下岩样的位移分布更加均匀,围压卸载—轴压增加和围压卸载—轴压减少2种应力路径下岩样的变形位移呈交错状。
(4)围压卸载—轴压增加情况下的裂纹分布最多,且裂纹增长速度最快。围压卸载—轴压不变路径下微裂纹数量最多,微观裂纹在最终破坏前发育更加充分。
http://www.goldsci.ac.cn/article/2023/1005-2518/1005-2518-2023-31-1-102.shtml
参考文献
Understanding roof deformation mechanics and parametric sensitivities of coal mine entries using the discrete element method
[J].
Application of extended Mohr-Coulomb criterion to ductile fracture
[J].
Experimental study on compressive deformation of marble under triaxial stress
[J].
Study on Deformation Failure Behaviors and Nonlinear Models for Rocks Under the Influence of Mining Disturbance
[D].
A study on mechanical properties and fracturing behavior of Carrara marble with the flat-jointed model
[J].
Calibration of the discrete element method
[J].
A note on post-failure stress-strain path dependence in norite
[J].
Damage zones induced by in situ stress unloading during excavation of diversion tunnels for the Jinping Ⅱ hydropower project
[J].
Study on mechanical properties of marble under loading and unloading conditions
[J].
A microscopic study of creep and fracturing of brittle rocks based on discrete element method
[J].
Limit equilibrium analysis incorporating the generalized hoek-brown criterion
[J].
Macro-micro investigation of granular materials in torsional shear test
[J].
Energy evolution characteristics of hard rock during triaxial failure with different loading and unloading paths
[J].
Behaviour of granular matter under gravity-induced stress gradient:A two-dimensional numerical investigation
[J].
Measurement and analysis of ground stress in expansion area in Beizao mine under sea
[J].
Review on advances in modeling and simulation of stone-based paving materials
[J].
Time effect and prediction of broken rock bulking coefficient on the base of particle discrete element method
[J].
Particle-based discrete element modeling:Geomechanics perspective
[J].
0)
[M].
An observation of loading path independence of fracture in rock
[J].
Experimental study on mechanical properties of Jinping marble under loading and unloading stress paths
[J].
Unloading properties of marble
[J].
Deformation failure and gas seepage of raw coal in alternate loading and unloading by stages
[J].
Triaxial compression testing at constant and reducing confining pressure for the mechanical characterization of a specific type of sandstone
[J].
Experimental and numerical study of fatigue damage of highly stressed rocks under cyclic loading
[J].
Study of mechanical characteristics of limestone under unloading condition
[J].
Dilatancy behaviour and permeability evolution of sandstone subjected to initial confining pressures and unloading rates
[J].
Experimental study of triaxial mechanical properties of natural fissured rhyolite
[J].
Experimental study on mechanical properties of soft rock in Beizao coal mine,Longkou,Shandong
[J].
三向应力状态下大理岩压缩变形试验研究
[J].
采动影响下岩石的变形破坏行为及非线性模型研究
[D].
大理岩加卸载力学特性的研究
[J].
基于离散元法的脆性岩石细观蠕变失稳研究
[J].
北皂煤矿海域扩采区地应力测量与分析
[J].
0)数值模拟技术及应用
[M].
锦屏大理岩加、卸载应力路径下力学性质试验研究
[J].
大理岩卸载力学特性的研究
[J].
循环载荷作用下高应力岩石疲劳损伤破坏数值模拟与试验研究
[J].
卸荷条件下灰岩力学特性研究
[J].
天然裂隙性流纹岩三轴力学特性试验研究
[J].
山东龙口北皂煤矿软岩力学特性实验研究
[J].
/
| 〈 |
|
〉 |


甘公网安备 62010202000672号