不同应力路径下岩石细观力学性能离散元研究 |
| 李杰林,王京瑶,肖益盖,李小双 |
|
Research on Meso-mechanical Properties of Rock Under Different Stress Paths Based on Discrete Element Method |
| Jielin LI,Jingyao WANG,Yigai XIAO,Xiaoshuang LI |
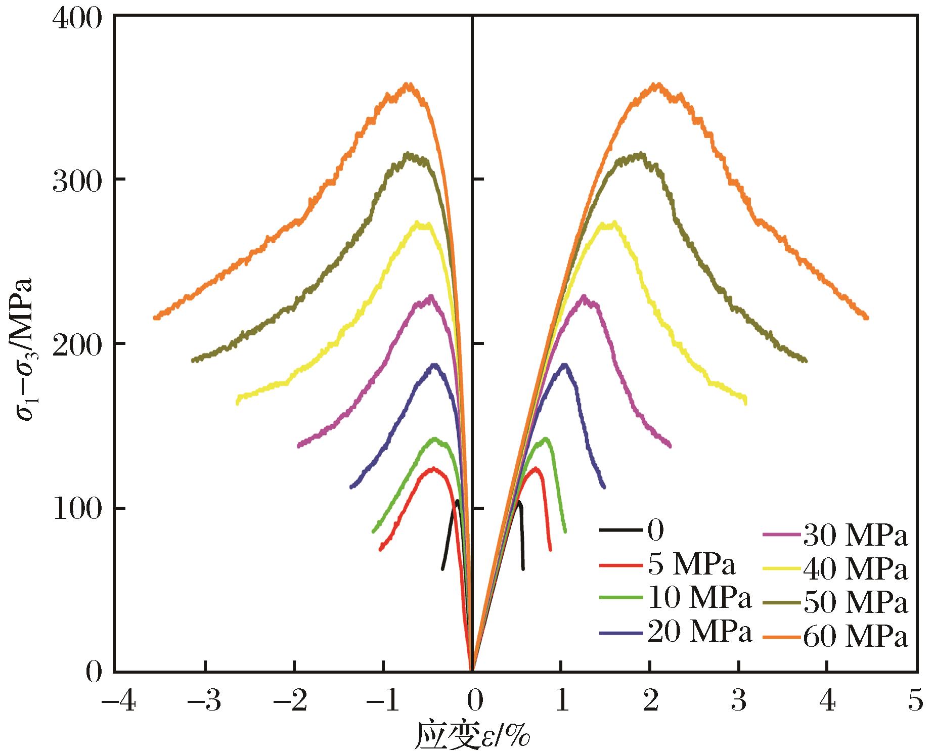
| 图7 常规三轴离散元试验应力—应变曲线 |
| Fig.7 Stress-strain curves of conventional triaxial discrete element test |
|