ISSN 1005-2518
CN 62-1112/TF

黄金科学技术, 2022, 30(1): 46-53 doi: 10.11872/j.issn.1005-2518.2022.01.102

采选技术与矿山管理

基于NSGA-Ⅱ算法的废石及尾砂混合充填料配比优化

高峰,1, 艾浩泉,1, 梁耀东2, 罗增武2, 熊信1, 周科平1, 杨根1

1.中南大学资源与安全工程学院,湖南 长沙 410083

2.广西高峰矿业有限责任公司,广西 南丹 547205

Optimization of Proportioning of Waste Rock and Tailings Mixed Filling Materials Based on NSGA-II Algorithm

GAO Feng,1, AI Haoquan,1, LIANG Yaodong2, LUO Zengwu2, XIONG Xin1, ZHOU Keping1, YANG Gen1

1.School of Resources and Safety Engineering, Central South University, Changsha 410083, Hunan, China

2.Guangxi Gaofeng Mining Co. , Ltd. , Nandan 547205, Guangxi, China

通讯作者: 艾浩泉(1996-),男,江西鹰潭人,硕士研究生,从事充填采矿技术研究工作。2269840005@qq.com

收稿日期: 2021-07-29   修回日期: 2021-09-27  

基金资助: 国家重点研发计划项目“面向固废源头减量的硼镁铁矿精准连续化开采技术与示范”.  2020YFC1909801
湖南省自然科学基金项目“寒区冻结裂隙岩体爆破损伤断裂特征与机理研究”.  2020JJ4704

Received: 2021-07-29   Revised: 2021-09-27  

作者简介 About authors

高峰(1981-),男,湖南怀化人,博士,副教授,从事矿山开采、灾害机理与防治方面的研究工作csugaofeng@csu.edu.cn , E-mail:csugaofeng@csu.edu.cn

摘要

为了提高高峰矿尾砂充填体强度和解决井下废石利用问题,开展高峰矿废石及尾砂混合充填材料的最优配比研究,设计了四因素四水平的正交试验,采用极差分析获得了影响充填体强度、料浆泌水率和料浆坍落度的主次因素,得到初步满足矿山要求的配比:料浆浓度为83%,灰砂比为0.25,废尾比为1.5,泵送剂添加量为0.5%。根据正交试验数据建立了28 d充填体强度、料浆泌水率和坍落度的二次多项式回归模型,基于NSGA-Ⅱ算法进行多目标优化,获得最优充填料浆配比。研究结果表明:灰砂比对充填体强度影响最大,料浆浓度和废尾比次之,泵送剂影响最小;灰砂比对料浆泌水率有明显的控制作用,废尾比和料浆浓度次之,泵送剂作用最小;料浆浓度对坍落度影响最大,泵送剂和灰砂比影响次之,废尾比影响最小;多目标优化后的配比:料浆浓度为82.989%,灰砂比为0.240,废尾比为1.419,泵送剂添加量为0.537%,优化后的配比方案所需充填材料成本相比正交试验确定的方案成本下降了2.9%。

关键词: 正交试验 ; 混合充填材料 ; 回归模型 ; 多目标优化 ; NGSA-Ⅱ算法 ; gamultiobj函数

Abstract

With the increasing attention on the environmental protection of resource development and the strict requirements for the discharge of waste rocks,tailings,waste residues and other wastes generated in resource development,it is particularly important to dispose these wastes.The mixed filling of waste rocks and tailings is the most effective way to solve the discharge of mine waste.Taking the underground filling of Gaofeng mine as an example,It is necessary to determine the optimal ratio of waste rock and tailings mixed filling materials.The particle size of tailings and waste rock were analyzed by laser method and sieve method.The chemical composition of waste rock and tailings was obtained by X-ray spectrometry.The orthogonal experiment with four factors and four levels was designed,and the range analysis of the experimental data was carried out.The primary and secondary factors affecting the strength of filling body,slurry bleeding rate and slurry slump were explored,and the filling material ratio that preliminarily met the requirements of the mine was obtained.The slurry concentration is 83%,the ash sand ratio is 0.25,the waste tail ratio is 1.5 and the amount of pumping agent is 0.5%.According to the experimental data,the quadratic polynomial regression model of 28 d filling body strength,slurry bleeding rate and slump was established.The theoretical value and experimental value of the regression model were compared and analyzed.It is found that the relative error is within a reasonable range,indicating that the model has certain reliability for the prediction of filling body performance.Multi-objective optimization Pareto solution set obtained based on NSGA-II algorithm.The mixture ratio of waste rock and tailings filling slurry with good performance and lowest cost was determined.The results are as follows:According to range analysis,The ratio of ash to sand has the greatest influence on the strength of filling body,and the influence of slurry concentration,waste tail ratio and pumping agent decreases in turn.The ash sand ratio has obvious control effect on the slurry bleeding rate,and the waste tail ratio,slurry concentration and pumping agent effect decrease in turn.The slurry concentration has the greatest influence on slump,and the influence of pumping agent,ash sand ratio and waste tail ratio decreases in turn.Without increasing the cost of additional materials,the proportion of waste rock can be appropriately increased to improve the strength of the filling body.The cost of filling material for the optimized scheme is reduced by 2.9% compared with the preliminary scheme determined by orthogonal test,the optimized filling ratio is slurry concentration 82.989%,ash sand ratio 0.240,waste tail ratio 1.419 and pumping agent 0.537%.

Keywords: orthogonal test ; mixed filling materials ; regression model ; multi-objective optimization ; NGSA-Ⅱ algorithm ; gamultiobj function

PDF (2512KB) 元数据 多维度评价 相关文章 导出 EndNote| Ris| Bibtex  收藏本文

本文引用格式

高峰, 艾浩泉, 梁耀东, 罗增武, 熊信, 周科平, 杨根. 基于NSGA-Ⅱ算法的废石及尾砂混合充填料配比优化[J]. 黄金科学技术, 2022, 30(1): 46-53 doi:10.11872/j.issn.1005-2518.2022.01.102

GAO Feng, AI Haoquan, LIANG Yaodong, LUO Zengwu, XIONG Xin, ZHOU Keping, YANG Gen. Optimization of Proportioning of Waste Rock and Tailings Mixed Filling Materials Based on NSGA-II Algorithm[J]. Gold Science and Technology, 2022, 30(1): 46-53 doi:10.11872/j.issn.1005-2518.2022.01.102

随着我国资源开采和环境保护要求的日趋严格,建设绿色矿山已成为矿业可持续发展的时代要求(鞠建华等,2017任思达,2019)。绿色矿山建设的核心内容之一是固体废弃物资源化利用或无害化处置。因此,将废石和尾砂作为充填材料充填至井下,不仅可以消除采空区隐患,而且能解决矿山固废的排放问题,实现废弃物的资源化利用,降低矿山开采成本,具有显著的经济、社会和环境效益。

研究表明,采用合理的充填配比是保证充填体力学特性、料浆流动特性和控制充填成本的关键(吴浩等,2019)。早期充填料浆配比的确定采用全面试验法,试验次数多且较为繁琐。李一帆等(2005)将正交试验用于采空区的尾砂胶结充填配比研究,正交试验具有试验次数少和布点均衡等优点,但其获得的优选值只能是试验设计水平的某种组合,无法找到水平之间的最佳值。基于仿生学的遗传算法(陈寅聪,2017)、BP神经网络(张钦礼等,2013肖文丰等,2019张国胜等,2020)、粒子群算法(Qi et al.,2018刘莉等,2020)和基于数学理论的模糊数学(王筱添等,2020Hu et al.,2021)、回归分析(张盛友等,2020)、博弈论(李夕兵等,2015)、响应面法(尹升华等,2020)等方法为充填料浆的配比优化提供了新的思路,取得了一定的成果。但是对于充填体强度的预测和充填配比优化还存在一些问题,如:通过建立胶结充填料的线性回归模型并优化充填配比,实现了对充填体强度的预测,但是充填体强度和配比参数之间存在非线性关系,线性模型不具有广泛代表性。其次,许多配比优化只考虑单目标优化,忽略了其他目标优劣的问题,对于充填配比多目标优化问题,一些学者通过建立单指标满意度函数再利用加权方式转变成整体满意度函数,这种方法仍是将多目标优化问题转换成单目标优化问题,且权重选择受主观影响较大。

鉴于此,本文以广西高峰矿业有限责任公司(以下简称“高峰矿”)废石和尾砂混合充填(即块石胶结充填)材料为研究对象,采用NGSA-Ⅱ算法开展多目标优化研究(翟禹尧等,2021Liu et al.,2019Fu et al.,2019),获得满足工程要求且经济成本最低的最优充填料浆配比,从而指导矿山生产。

1 充填材料配比试验

1.1 充填材料物理化学性质

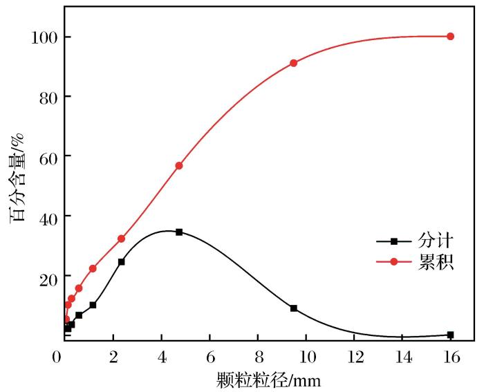
试验所用废石和尾砂来自高峰矿,胶凝材料为标号32.5的普通硅酸盐水泥。废石和尾砂的各项物理参数测定结果见表1。采用X-射线分析仪对废石和尾砂化学成分进行分析,废石主要成分为CaCO3(96.53%)、SiO2(1.62%)、Al2O3(0.43%)和Fe2O3(0.4%)等;尾砂主要成分为SiO2(35.34%)、CaO(19.12%)、Fe2O3(18.31%)、SO3(18.20%)、Al2O3(4.02%)和ZnO(1.0%)等。采用激光粒度分析仪对尾砂进行粒度测定,结果见图1。根据矿山井下破碎实际情况,选择废石的最大粒径为16 mm,采用震击式标准振筛机进行粒径分析,测定结果见图2

表1   废石和尾砂物理性质

Table 1  Physical properties of waste rock and tailings

材料种类真密度/(g·cm-3松散密度/(g·cm-3紧密密度/(g·cm-3孔隙率/%堆积密实度
废石2.7221.5971.93429.470.709
尾砂3.0911.3131.76043.060.569

新窗口打开| 下载CSV


图1

图1   尾砂粒径分布图

Fig.1   Particle size distribution diagram of tailings


图2

图2   废石粒径分布图

Fig.2   Particle size distribution diagram of waste rock


1.2 正交试验方案设计

采用四因素四水平正交表L16 (44)进行设计,其中因素A是料浆浓度,因素B是灰砂比,即水泥/(废石+尾砂),因素C是废石与尾砂比,因素D是泵送剂添加量。正交试验因素水平见表2

表2   正交试验因素水平

Table 2  Level of factors for orthogonal test

水平因素
A(料浆浓度)B(灰砂比)C(废尾比)D(泵送剂)
177%1∶43∶70%
279%1∶54∶60.5%
381%1∶65∶51.0%
483%1∶76∶42.0%

新窗口打开| 下载CSV


按照试验方案中的配比配制好料浆,然后倒入尺寸为70.7 mm×70.7 mm×70.7 mm的标准三联试模。脱模后的试块放入养护箱进行养护,养护温度设置为20 ℃,养护湿度为90%。试件的养护龄期为28 d,然后进行单轴抗压强度测定。

1.3 正交试验结果分析

对16组不同 配比的试件开展单轴抗压强度试验,测定料浆的泌水率和坍落度,结果见表3。由表3可知,28 d充填体强度范围为1.698~7.622 MPa,泌水率为7.07%~17.68%,坍落度为22.3~29.8 cm,第13组试件满足矿山对采场浇面、局部构底等工程提出的28 d抗压强度达到7 MPa,此时坍落度为26.0 cm,流动性较好。前人研究(张修香等,2015)表明,当坍落度在23.0~27.5 cm之间时,可基本满足自流输送要求。

表3   正交试验结果

Table 3  Results of orthogonal test

试验编号因素指标
料浆 浓度/%灰砂比废尾比

泵送剂

/%

28 d抗压 强度/MPa泌水率/%坍落度/cm
1771∶43∶703.17612.8727.8
2771∶54∶60.52.57012.8428.6
3771∶65∶51.02.49811.5927.2
4771∶76∶42.01.69817.6828.7
5791∶44∶61.05.40810.4528.8
6791∶53∶72.03.0199.8629.8
7791∶66∶402.91217.2928.4
8791∶75∶50.52.23312.4329.3
9811∶45∶52.05.33710.3428.8
10811∶56∶41.03.76112.9627.6
11811∶63∶70.53.02213.5328.0
12811∶74∶601.94313.0226.8
13831∶46∶40.57.6227.07026.0
14831∶55∶504.9909.7225.5
15831∶64∶62.03.07314.5526.6
16831∶73∶71.02.74714.2922.3

新窗口打开| 下载CSV


对试块的抗压强度,料浆的泌水率和坍落度进行极差分析,结果见表4

表4   极差分析结果

Table 4  Results of extreme analysis

指标因素ABCD因素主次
28 d抗压 强度/MPak12.4865.3862.9913.255B>A>C>D
k23.3933.5853.2493.862
k33.5162.8763.7653.604
k44.6082.1553.9983.282
R2.1223.2311.0070.607
泌水率/%k113.7510.1812.6413.23B>C>A>D
k212.5111.3512.7211.47
k312.4614.2411.0212.32
k411.4114.3613.7513.11
R2.344.182.731.76
坍落度/cmk128.128.727.027.1A>D>B>C
k229.127.927.728.9
k327.827.627.726.5
k425.126.827.628.5
R4.11.80.702.20

新窗口打开| 下载CSV


根据表4数据绘制出各因素对抗压强度、泌水率和坍落度的直观分析图(图3)。图中A1代表因素A的第1个水平,A2代表因素A的第2个水平,依此类推,B、C、D同理。

图3

图3   不同指标的敏感性因素分析图

Fig.3   Analysis diagram of sensitivity factors of different indexes


图3表4可以看出,对充填体28 d抗压强度影响最大的是灰砂比,最小的是泵送剂添加量。充填体强度随着灰砂比、料浆浓度和废尾比的增加而增大。料浆泌水率随着料浆浓度和灰砂比的增加而降低,随着废尾比和泵送剂添加量的增加,料浆泌水率呈现出先下降后上升的变化趋势。在充填料浆的坍落度中,料浆浓度的极差最大,表明控制充填料浆坍落度的主要因素是料浆浓度,其次是泵送剂添加量,坍落度随着灰砂比的减少而下降,随着废尾比的增加先上升后下降。

图4为废石和尾砂混合充填体SEM图,从图中可以看出废石和尾砂混合充填材料水化后形成大量网格状、絮凝状的C-S-H凝胶和呈针状的钙矾石。通过对比图4(a)与图4(b)可知,当灰砂比为1∶4时,水化反应产生的钙矾石粒径更大,数量更多,充填体结构更加致密和坚固,表明充填体强度与钙矾石含量呈正相关,这与上述极差分析结果一致。

图4

图4   不同灰砂比下的充填体SEM图

Fig.4   SEM diagran of filling body with different cement-sand ratio


2 充填材料配比优化

2.1 多元回归分析

根据上述试验结果,将料浆浓度、灰砂比、废尾比和泵送剂添加量设置为自变量,分别记作x1,x2,x3,x4,将28 d抗压强度、泌水率和坍落度设置为因变量,分别记为f1,f2,f3利用MATLAB软件开展多元非线性回归分析。为了验证预测模型的可靠度,计算出各模型的预测值与试验值相对误差的绝对值,并绘制成图件(图5)。史小萌等(2015)认为可将回归值与试验值之差最大为20%,作为判断回归方程是否与试验值具有很好拟合的标准。从图5可以看出,28 d抗压强度、泌水率和坍落度试验值与理论值差异在20%以内。可见预测值与试验值具有良好的匹配性。

图5

图5   模型预测值与试验值相对误差绝对值

Fig.5   Absolute value of relative error between model predictive value and test value


充填体28 d抗压强度模型可表示为:

f1=309.19+448.87x12+181.38x22+0.33x32-
        6 772.98x42+501.29x1x2-33.26x1x3-738.54x1x4-7.01x2x3+65.01x2x4-103.15x3x4-743.05x1-432.69x2+28.06x3+778.27x4
R2=0.990

料浆泌水率模型可表示为

f2=-12.73-16.65x12-3.51x22+0.034x32+
152.9x42-6.95x1x2-2.59x1x3+59.98x1x4+
0.434x2x3-26.58x2x4+1.55x3x4+29.3x1+
6.78x2+1.94x3-48.18x4                  
R2=0.986

料浆坍落度模型可表示为

f3=-1 594.84-2 974.5x12-174.59x22-0.56x32+
3 500.23x42+1 494.28x1x2+34.39x1x3+
3 287.85x1x4-37.01x2x3-1 287.08x2x4+
   43.02x3x4+4 392.55x1-1 082.2x2-
21.5x3-2 470.73x4                               
R2=0.977

2.2 多目标优化

多目标优化问题是属于数学规划的一个重要内容,它是求多个目标函数在给定区域内的最优化问题。目标函数之间有时存在矛盾,如当一个目标函数值要增加时就需要以另一个目标函数值降低作为代价,而多目标优化算法就是找到这些Pareto最优解。

以矿山对于28 d充填体强度要求不低于7 MPa为目标,泌水率尽可能最小,坍落度在23.0~27.5 cm之间,多目标优化问题如下:

min -(f1),f2,f3

约束条件为

0.77x10.831/7x21/43/7x36/40x42%f1723.0f327.5

多目标优化算法有很多,其中NSGA-Ⅱ算法(带精英策略的快速非支配排序遗传算法)应用非常广泛,它是由Deb et al.(2002)在NSGA算法的基础上提出的,相比传统的算法更加优越,计算复杂度大大降低。MATLAB软件中提供的gamultiobj函数(Zhang et al.,2021)就是基于NSGA-Ⅱ改进的一种多目标算法。其算法步骤如图6所示。

图6

图6   多目标算法步骤图

Fig.6   Algorithm step diagram


算法具体步骤如下:

(1)在MATLAB软件中编写目标函数的M文件;

(2)参数设置,这里设置最优前端系数为0.3,种群大小为100,遗传代数200,停止代数200,适应度函数偏差为1e-100。

(3)运行文件,得到一组Pareto最优解集,并得到相应的Pareto前沿图。

经过多目标算法优化得到的Pareto前沿图,如图7所示,从图中可以看到每个圆点就是一个Pareto最优解,各个解之间没有好坏之分。取部分Pareto最优解集如表5所示。

图7

图7   Pareto前沿图

Fig.7   Pareto frontier map


表5   部分Pareto最优解集

Table 5  Pareto partial optimal solution set

组号料浆浓度/%灰砂比废尾比泵送剂/%28 d抗压强度/MPa泌水率/%坍落度/cm
182.9880.2481.3711.0877.1856.51726.72
282.9880.2501.1300.8077.8886.51227.35
382.9910.2461.3070.6457.5086.65326.66
482.9900.2501.0721.0447.8246.46827.50
582.9930.2481.2980.7377.5756.52326.75
682.9890.2401.4190.5377.0666.89726.16
782.9900.2421.4120.4997.2136.89126.19
882.9990.2451.4120.4587.3656.89626.21
982.9950.2471.2210.5247.6516.84526.89
1082.9900.2501.1870.9947.6946.36727.26

新窗口打开| 下载CSV


按照市场价格,标号为32.5的普通硅酸盐水泥价格为320元/吨、泵送剂为3 000元/吨、废石为1元/吨、尾砂为1.5元/吨、水为2元/吨。通过计算可得表5中每种配比的材料成本,结果见表6

表6   不同组号的材料成本预算

Table 6  Cost budget of different group numbers

组号成本/(元/吨)组号成本/(元/吨)
1129.376120.38
2127.667120.80
3124.068121.58
4130.299123.34
5125.8410128.31

新窗口打开| 下载CSV


按照材料成本最低原则,从解集中选出最终配比。第6组配比的成本最低,为120.38元/吨,此时的配比为料浆浓度82.989%、灰砂比0.240、废尾比1.419、泵送剂添加量0.537%,且各项指标符合要求,28 d抗压强度7.066 MPa、坍落度26.16 cm、泌水率6.897%,对于正交试验得到的配比为料浆浓度83%、灰砂比0.25、废尾比1.5、泵送剂添加量0.5%,料浆成本为123.85元/吨。优化后的配比成本比原来的配比成本降低3.47元/吨,成本下降了2.9%。

3 结论

(1)灰砂比对充填料浆的泌水率和充填体抗压强度的影响最大,料浆浓度对充填料浆的坍落度具有明显的控制作用。充填体的抗压强度随着料浆浓度的增加而增大,随着灰砂比的降低而降低,随着废尾比的增加而增大;料浆泌水率随着料浆浓度和灰砂比的增加而降低;料浆坍落度随着料浆浓度和废尾比的增加先增大后降低,随着灰砂比的减少而降低。

(2)根据正交试验结果,第13组配比满足矿山要求,料浆浓度为83%,灰砂比为0.25,废尾比为1.5,泵送剂添加量为0.5%,其中28 d充填体强度大于7 MPa,泌水率较小,坍落度值满足自流输送的条件。

(3)结合16组配比试验结果,建立了28 d抗压强度、泌水率和坍落度的多元回归模型,将模型的预测值与试验值进行对比,得到预测值和试验值的差异在12%以内,表明各个模型的拟合效果好。采用基于NSGA-Ⅱ算法的gamultiobj函数对废石和尾砂混合充填材料配比进行多目标优化,得到优化后的配比为料浆浓度82.989%、灰砂比0.240、废尾比1.419和泵送剂添加量0.537%。优化后的配比成本为120.38元/吨,相比正交试验得到的第13组配比方案成本降低3.47元/吨,成本下降了2.9%。

http://www.goldsci.ac.cn/article/2022/1005-2518/1005-2518-2022-30-1-46.shtml

参考文献

Chen Yincong2017.

Optimization Design Method and Application of Filling Material Proportion Based on Neural Network and Genetic Algorithm

[D].KunmingKunming University of Science and Technology.

Deb KPratap AAgarwal Sal et2002.

A fast and elitist multiobjective genetic algorithm:NSGA-II

[J].IEEE Transactions on Evolutionary Computation,62):182-197.

[本文引用: 1]

Fu H CLi P2019.

A multi-objective optimization model based on non-dominated sorting genetic algorithm

[J].Internatio-nal Journal of Simulation Modeling,183):510-520.

[本文引用: 1]

Hu NLi C HLiu Yal et2021.

Fuzzy mathematics comprehensive forecasting analysis of metal mine rockburst based on multiple criteriahere

[J].IOP Conference Series:Earth and Environmental Science,6322):022080.

[本文引用: 1]

Ju JianhuaQiang Haiyang2017.

The trend and direction of green development of the mining industry in China

[J].China Mining Magazine,262):7-12.

Li XibingFan YunLan Mingal et2015.

Evaluation of phosphogypsum filling water quality using game theory and matter-element analysis theory

[J].Science & Technology Review,3315):22-26.

Li YifanZhang JianmingDeng Feial et2005.

Experimental study on strength characteristics of tailings cement backfilling at deep-seated mined-out area

[J].Rock and Soil Mechanics,266):865-868.

Liu LiXia YufengNi Wenbin2020.

Local energy supply ratio optimization method based on particle swarm optimization

[J].Electronic Design Engineering,289):179-183.

Liu WLuo F MLiu Y Hal et2019.

Optimal siting and sizing of distributed generation based on improved nondominated sorting genetic algorithm II

[J].Processes,712):955.

[本文引用: 1]

Qi C CFourie AChen Q Sal et2018.

A strength prediction model using artificial intelligence for recycling waste tailings as cemented paste backfill

[J].Journal of Cleaner Production,183566-578.

[本文引用: 1]

Ren Sida2019.

Research on Green Development of China’s Mining Economy

[D].WuhanChina University of Geosciences.

Shi XiaomengLiu BaoguoXiao Jie2015.

A method for determining the ratio of similar materials with cement and plaster as bonding agents

[J].Rock and Soil Mechanics,365):1357-1362.

Wang XiaotianWang Hongjiang2020.

Research on dual-index quality evaluation method of filling proportion based on fuzzy mathematics

[J].Mining Research and Development,409):60-65.

Wu HaoZhao GuoyanChen Yingal et2019.

Optimization of mix proportioning of mine filling materials using RSM-DF experiments design method

[J].Journal of Basic Science and Engineering,272):453-461.

Xiao WenfengChen JianhongChen Yial et2019.

Optimization of multi-objective filling slurry ratio based on neural network and genetic algorithm

[J].Gold Science and Technology,274):581-588.

Yin ShenghuaHao ShuoZou Longal et2020.

Research on strength regression and slurry optimization of cemented backfill based on response surface method

[J].Journal of Central South University(Science and Technology),516):1595-1605.

Zhai YuyaoShi XianjunYang Shuaial et2021.

Multi-objective test optimization selection based on NSGA-Ⅱ under unreliable test conditions

[J].Journal of Beijing University of Aeronautics and Astronautics,474):792-801.

Zhang GuoshengChen YantingHu Yajunal et2020.

Resear-ch on mixing proportions of a new backfilling cementitious material based on artificial intelligence neural network

[J].Mining Research and Development,409):143-148.

Zhang QinliLi XiepingYang Wei2013.

Optimization of filling slurry ratio in a mine based on back-propagation neural network

[J].Journal of Central South University(Science and Technology),447):2867-2874.

Zhang ShengyouZhang WeiLi Jinxin2020.

Strength influ-ence analysis of slag-cement-unclassified tailings cemented filling based on stepwise regression analysis

[J].Bulletin of the Chinese Ceramic Society,3912):3866-38733880.

Zhang XiuxiangQiao Dengpan2015.

Simulation and experiment of pipeline transportation of high density filling slurry with coarse aggregates

[J].The Chinese Journal of Nonferrous Metals,251):258-266.

Zhang Z WTian R LZhang X Lal et2021.

A novel butterfly-shaped auxetic structure with negative Poisson’s ratio and enhanced stiffness

[J].Journal of Materials Science,5625):14139-14156.

[本文引用: 1]

陈寅聪2017.

基于神经网络和遗传算法的充填料配比优化设计方法与应用

[D].昆明昆明理工大学.

[本文引用: 1]

鞠建华强海洋2017.

中国矿业绿色发展的趋势和方向

[J].中国矿业,262):7-12.

[本文引用: 1]

李夕兵范昀兰明2015.

基于博弈论的磷石膏充填水质物元评价

[J].科技导报,3315):22-26.

[本文引用: 1]

李一帆张建明邓飞2005.

深部采空区尾砂胶结充填体强度特性试验研究

[J].岩土力学,266):865-868.

[本文引用: 1]

刘莉夏宇峰倪文斌2020.

基于粒子群算法的局域供能配比优化方法

[J].电子设计工程,289):179-183.

[本文引用: 1]

任思达2019.

中国矿业经济绿色发展研究

[D].武汉中国地质大学.

[本文引用: 1]

史小萌刘保国肖杰2015.

水泥和石膏胶结相似材料配比的确定方法

[J].岩土力学,365):1357-1362.

[本文引用: 1]

王筱添王洪江2020.

基于模糊数学的双指标充填配比质量评价方法研究

[J].矿业研究与开发,409):60-65.

[本文引用: 1]

吴浩赵国彦陈英2019.

基于RSM-DF的矿山充填材料配比优化

[J].应用基础与工程科学学报,272):453-461.

[本文引用: 1]

肖文丰陈建宏陈毅2019.

基于神经网络与遗传算法的多目标充填料浆配比优化

[J].黄金科学技术,274):581-588.

[本文引用: 1]

尹升华郝硕邹龙2020.

基于RSM的胶结充填体强度回归及料浆寻优研究

[J].中南大学学报(自然科学版),516):1595-1605.

[本文引用: 1]

翟禹尧史贤俊杨帅2021.

不可靠测试条件下基于NSGA-Ⅱ的多目标测试优化选择

[J].北京航空航天大学学报,474):792-801.

[本文引用: 1]

张国胜陈彦亭胡亚军2020.

基于人工智能神经网络新型充填胶凝材料配比研究

[J].矿业研究与开发,409):143-148.

[本文引用: 1]

张钦礼李谢平杨伟2013.

基于BP网络的某矿山充填料浆配比优化

[J].中南大学学报(自然科学版),447):2867-2874.

[本文引用: 1]

张盛友孙伟李金鑫2020.

基于逐步回归分析法的炉渣—水泥—全尾砂胶结充填体强度影响分析

[J].硅酸盐通报,3912):3866-38733880.

[本文引用: 1]

张修香乔登攀2015.

粗骨料高浓度充填料浆的管道输送模拟及试验

[J].中国有色金属学报,251):258-266.

[本文引用: 1]

/