基于NSGA-Ⅱ算法的废石及尾砂混合充填料配比优化 |
| 高峰,艾浩泉,梁耀东,罗增武,熊信,周科平,杨根 |
|
Optimization of Proportioning of Waste Rock and Tailings Mixed Filling Materials Based on NSGA-II Algorithm |
| Feng GAO,Haoquan AI,Yaodong LIANG,Zengwu LUO,Xin XIONG,Keping ZHOU,Gen YANG |
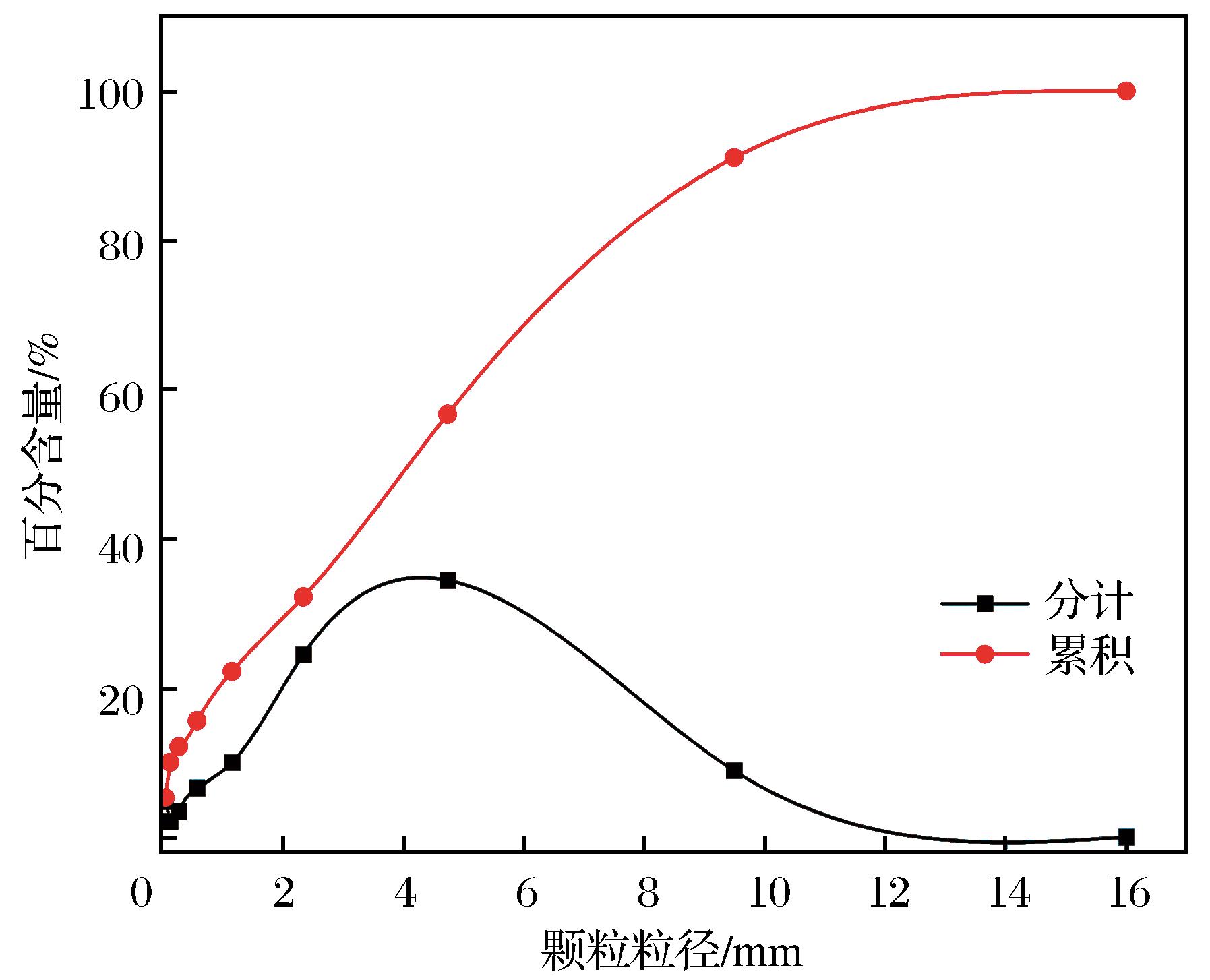
| 图2 废石粒径分布图 |
| Fig.2 Particle size distribution diagram of waste rock |
|