ISSN 1005-2518
CN 62-1112/TF

黄金科学技术, 2021, 29(5): 749-760 doi: 10.11872/j.issn.1005-2518.2021.05.015

采选技术与矿山管理

银含量对方铅矿浮选的影响及其机理研究进展

王国彬,1,2, 蓝卓越,1,2, 王瑞康1,2, 赵清平1,2, 杨迪1, 李博琦1

1.昆明理工大学国土资源工程学院,云南 昆明 650093

2.云南省金属矿尾矿资源二次利用工程研究中心,云南 昆明 650093

Effect of Silver Content on Galena Flotation and Research Progress on Its Mechanism

WANG Guobin,1,2, LAN Zhuoyue,1,2, WANG Ruikang1,2, ZHAO Qingping1,2, YANG Di1, LI Boqi1

1.Faculty of Land Resource Engineering,Kunming University of Science and Technology,Kunming 650093,Yunnan,China

2.Yunnan Province Engineering Research Center for Reutilization of Metal Tailings Resources,Kunming 650093,Yunnan,China

通讯作者: 蓝卓越(1976-),男,广西来宾人,副教授,从事浮选理论与工艺研究工作。xingdakg@126.com

收稿日期: 2021-01-11   修回日期: 2021-07-15  

基金资助: 国家自然科学基金项目“含银方铅矿磨浮一体化的多因素耦合作用研究”.  51960402

Received: 2021-01-11   Revised: 2021-07-15  

作者简介 About authors

王国彬(1990-),男,黑龙江绥化人,助理工程师,从事浮选理论与工艺研究工作523099784@qq.com , E-mail:523099784@qq.com

摘要

为了阐明银含量对方铅矿浮选的影响,提高含银方铅矿中伴生银的综合回收效率,通过全面梳理前人研究成果,对含银方铅矿的资源状况、工艺流程和药剂制度进行了总结。首先,从不同维度和层面(从试验到模拟、从宏观到微观)综述了银含量对方铅矿的影响,其中包括银含量对方铅矿浮选行为及表面接触角的影响。然后,评述了前人利用红外光谱、微热动力学、电化学和量子化学等分析方法开展的有关银含量对方铅矿浮选行为影响机理的研究进展,上述分析方法相互验证,均证实银矿物对方铅矿的浮选有促进作用,且银含量与促进程度呈正相关。最后,针对含银方铅矿今后研究方向和银铅锌矿资源开发,提出科学、合理的建议,如:在现场生产中应尽量避免使用石灰调浆,如必须使用时,应控制好石灰用量,从而减少伴生银的损失。

关键词: 银含量 ; 方铅矿 ; 浮选行为 ; 促进作用 ; 石灰 ; 机理研究

Abstract

The resources of silver-bearing galena in China are large,but the comprehensive recovery of silver is lower. Mostly mining enterprises and scientific research institutes have conducted studies tending to optimization of technological process and reagent regulation. Although they have made a great deal of achievements,they could not dissolve completely the radical issues that the recovery of silver is low. Meanwhile,the effect of silver content on flotation performance of galena is less explored,which leads to be difficult for the concentrator to significantly improve silver recovery index,resulting in incomplete of resources utiliazation and resources waste.For this reason,this paper summarized the work done by predecessors in detail,such as the resource status of silver-bearing galena,the current flotation process of silver-bearing galena and the reagent system. At the same time,the effects of silver content on the flotation behavior of galena were summarized,such as the increase of the surface area of synthetic silver-bearing galena,the change of Zeta potential in the slurry during flotation process,the different adsorption amount of collector on the surface of galena,and the transformation of electrochemical characteristic peak,etc.. The mechanism of the effect of the silver content on the flotation behavior of galena were analyzed in detail from experimental to simulation,macroscopic to microscopic aspects,respectively. At the last,in view of the shortcomings of the current resource characteristics,technological process,reagent system and research mechanism,some reasonable suggestions are also put forward for the development of silver-bearing lead-zinc ore resources,such as exploring the technical scheme or technological process with high efficiency and low cost,developing unifying reagent of cost,efficiency,environmental protection,non-toxic and harmless and so on.

Keywords: silver content ; galena ; flotation behavior ; prompting effect ; lime ; mechanism research

PDF (3513KB) 元数据 多维度评价 相关文章 导出 EndNote| Ris| Bibtex  收藏本文

本文引用格式

王国彬, 蓝卓越, 王瑞康, 赵清平, 杨迪, 李博琦. 银含量对方铅矿浮选的影响及其机理研究进展[J]. 黄金科学技术, 2021, 29(5): 749-760 doi:10.11872/j.issn.1005-2518.2021.05.015

WANG Guobin, LAN Zhuoyue, WANG Ruikang, ZHAO Qingping, YANG Di, LI Boqi. Effect of Silver Content on Galena Flotation and Research Progress on Its Mechanism[J]. Gold Science and Technology, 2021, 29(5): 749-760 doi:10.11872/j.issn.1005-2518.2021.05.015

银矿多数以共伴生矿的形式存在,很少单独成矿。截至目前,全球约1/3的银资源以独立银矿形式存在,2/3的银资源与铜、铅、锌、金等金属共伴生(奚甡,2012),主要是由于银离子半径与铅锌离子半径大小接近,且银矿物和方铅矿的成矿时间较近等造成的(周源,2002)。我国伴生银储量约占银总储量的4/5(兰志强,2017),其中铅锌矿床中伴生银的储量约占全国银总储量的60%。从我国已探明的银储量和不同年份银产量来看,银总产量的70%~80%来自于铅矿山(吴荣庆,2008张长青等,2013)。此外,一般铅锌矿山中,副产品银的产值占主产品总产值的20%以上,因此综合回收银具有投资少、回报多的优点(黎维中,2007);反之,银含量也能在一定的条件下促进目的矿物的回收,这一现象并未被充分重视,导致有用矿物回收不彻底。

目前,大多数矿山企业和科研院所开展的有关铅锌矿浮选研究侧重于工艺流程及药剂制度的优化(程恺,2016田江涛,2018黄和平,2018),虽然取得了一定的成果,但是无法从根本上解决银回收率偏低的问题。同时银含量对方铅矿浮选性能的影响及其机理的探究主要集中在纯矿物(Lan et al.,2016Chen et al.,2011),而在现场的应用案例较少,因此生产实践中难以有效提升银回收指标,导致资源利用效率不高,造成资源浪费。

以往研究发现方铅矿中的银在一定的环境下能够正向促进载体矿物的浮选,但前人尚未对其机理进行系统地梳理和总结。鉴于此,本文通过归纳整理银含量对方铅矿浮选行为的影响机理,如Zeta电位的变化规律、红外光谱特征峰位点的增加、吸附能的降低和晶胞体积的减小等,以充分阐明其作用机理。同时,在现场生产中,利用电位调控、电化学、表面化学和浮选动力学等手段,调控浮选矿浆环境,以提高作为银载体方铅矿的回收率,进而促进伴生银的综合回收。

1 我国含银方铅矿的资源特点及主要选矿流程

1.1 我国含银方铅矿的资源特点

方铅矿的主要成分为PbS,纯方铅矿是直接带隙P型半导体(秦伟,2013),银经常混杂其中,形成含银方铅矿,因此含银方铅矿又称为银母,其中银含量在1×10-6~1%范围变化。

我国含银方铅矿具有以下特点(兰志强,2017王虎,2015):(1)矿石结构复杂、品位较低,主元素Pb平均含量为1%~3%,难以选别富集,导致赋存其中的银金属回收率偏低;(2)含银方铅矿的成因和类型复杂多变,成分不一、嵌布粒度不均,导致其回收流程不同,不能形成共性技术;(3)共伴生金属较多,铅、银常与金、铜、铁、锡、锑等金属资源共伴生,随着经济的发展和技术的进步,这些元素的综合回收成为必然,因此含银方铅矿的潜在价值可观,具有广阔的开发利用空间。

1.2 含银方铅矿的主要选矿流程及药剂

传统的铅锌回收过程大多通过加入大量的石灰以抑制黄铁矿,但高碱条件会导致浮选泡沫黏性过大,降低铅锌分离效果,并严重影响副产品银的回收。因此,选矿工作者对含银方铅矿进行了大量的研究,如采用Na2CO3代替传统的石灰(王成行等,2013)和组合用药(蒋素芳,2011)。目前含银方铅矿的选别工艺主要有优先浮选毛益林等,2011周宏波等,2010)、铅锌混浮(刘家祥等,1995)、铅锌部分混合浮选(谭欣等,2010)、铅锌等可浮(纪军,2011)和绿色微生物浸出工艺(童雄,1996Sand et al.,2001Hansford et al.,2001)等。由于浮铅抑锌工艺较成熟(程凯,2016),因此大多数含银方铅矿依然选择优先浮选工艺(黄和平,2018)(表1)。

表1   常见的方铅矿浮选流程及指标

Table 1  Common flotation process and indicators of galena

文献来源元素品位-0.074 mm占比/%浮选流程浮选指标方案优缺点
曹进成等(2012)αPb 4.67%;αZn 1.33%;αAg 1 221×10-675优先浮选(铅精选 -0.074 mm占92%)

铅精矿:βPb 70.04%、εPb 97.75%、

βAg 1 541×10-6、εAg 79.56%;

锌精矿:βZn 43.73%、εZn 82.55%

铅、锌回收率均较高,铅品位较高,但药剂制度较复杂
张颖新等(2012)αPb 2.02%;αZn 2.04%;αAg 39.51×10-640优先浮选

铅精矿:βPb 60.35%、εPb 85.28%、

βAg 928×10-6、εAg 79.19%;

锌精矿:βZn 50.16%、εZn 70.86%

产品互含较低
罗仙平等(2011)αPb 1.34%;αZn 8.44%;αAg 901×10-680优先浮选

铅精矿:βPb 65.15%、εPb 60.29%、

βAg 3 200×10-6、εAg 44.09%;

锌精矿:βZn 58.25%、εZn 83.65%、

βAg 230×10-6、εAg 30.97%

技术指标有所提升,银在方铅矿精矿中富集较多;但流程较长,优先浮铅需一粗四精二扫作业,浮锌作业需一粗二精二扫作业
黄和平(2018)

αPb 1.03%;

αZn 6.29%;

αAg 35.651×10-6

80优先浮选—分级浮选(-0.048 mm占80%)

铅精矿:βPb 49.77%、εPb 73.85%、

βAg 571×10-6、εAg 24.38%;

锌精矿:βZn 52.07%、εZn 92.13%、

βAg 184.87×10-6、εAg 57.71%

药剂用量大
周菁(2010)αPb 6.95%;αZn 6.01%;αAg 126.1×10-678铅优先浮选—锌硫混合浮选—铅中矿再磨再选

铅精矿:βPb 66.06%、εPb 91.12%、

βAg 1 500.23×10-6、εAg 83.36%

中性pH条件下浮选;中矿再磨有利于矿物间的单体解离,减少过磨;银富集比高
周菁(2010)

αPb 9.43%;

αZn 6.37%;

αAg 193.71×10-6

78铅优先浮选—锌硫混合浮选—铅中矿再磨再选

铅精矿:βPb 65.23%、εPb92.92%、

βAg 1 461.92×10-6、εAg 86%

中性pH条件下浮选;中矿再磨有利于矿物间的单体解离,减少过磨;银富集比高
宋龑(2020)αPb 0.48%;αZn 0.75%;αAg 901×10-680铅银混浮—锌浮选药剂用量较大

新窗口打开| 下载CSV


此外,含银方铅矿的捕收剂以乙硫氮、黑药类、黄药类和Z-200等为主(李彦令等,2020田江涛,2018),且一般以组合药剂复配使用,如乙硫氮+丁铵黑药(陈胜虎,2012罗仙平等,2011)、25#黑药+乙(丁)黄药(肖天祥,2015肖骏等,2014)、乙硫氮+丁基黄药(温凯等,2019敖顺福等,2019)等,由于丁铵黑药对银、铅有较好的选择性,作捕收剂时可以提高铅精矿中铅和银的指标,所以复配药剂中一般含有丁铵黑药。

2 银含量对方铅矿浮选指标的影响

含银方铅矿浮选行为受银的赋存状态、嵌布特征和粒度特性等因素的影响。部分学者考察了不同银含量对方铅矿回收率的影响,结果如图1图2所示(兰志强,2017Chen et al.,2015a)。由图1可知,天然的3种矿物及合成的4种矿物的最佳回收率均随银含量的增大而依次升高。图2也显示出人工合成的含银方铅矿的回收率高于合成纯方铅矿的回收率。Lan et al.(2016)Chen et al.(2011)通过前线轨道理论证明了杂质银能够极大地促进方铅矿的回收,并通过微热动力学证明黄药在含银方铅矿表面的吸附热小于其在纯方铅矿表面的吸附热,同时黄药与含银方铅矿的反应速率系数大于其与纯方铅矿的反应速率系数。

图1

图1   药剂制度对不同含银方铅矿浮选回收率的影响(兰志强,2017

Fig.1   Effects of reagent system on flotation recovery of different silver-bearing galena(Lan,2017


图2

图2   杂质对1 mmol/L黄原酸丁酯下的方铅矿浮选回收的影响(Chen,2015a

galena at butyl xanthate concentration of 1 mmol/L(Chen,2015a

Fig.2   Effects of impurities on flotation recovery of


然而,人工合成的含银方铅矿的回收率远低于天然含银方铅矿的回收率(图1)。Lan et al.(2016)从微观上分析得出,当细度均在45 μm以下时,合成方铅矿的比表面积(9.35 m2/g)约为天然方铅矿比表面积(0.38 m2/g)的25倍。因此,合成方铅矿的浮选需要更多捕收剂才能获得较好指标。类似地,黄和平(2018)伍垂志(2012)也发现合成的磁铁矿比表面积远大于天然磁铁矿比表面积。

此外,当pH>9.0时,虽然含银量高的方铅矿回收率依然大于含银量低的方铅矿,但7种含银方铅矿的回收率均同步下降[图1(a)]。其原因是该试验采用石灰作为pH值调整剂,当石灰用量过大时,部分CaOH+会吸附于银矿物表面形成亲水性薄膜,增加银矿物的亲水性,导致含银方铅矿回收率降低(周贺鹏,2011黎维中,2007)。因此在实际生产中要尽量避免使用石灰调浆,以减少银的损失。

虽然天然含银方铅矿的浮选效果优于合成含银方铅矿,但上述研究并未提及合成含银方铅矿比表面积增大的原因,有待进一步探索研究。

3 银含量对方铅矿浮选行为影响的机理分析

通过开展大量的文献调研,发现诸多学者利用红外光谱、紫外光谱、量子化学和电化学等多种分析手段,从多角度、多维度分析了银含量对方铅矿浮选行为的影响,研究结果表明银对方铅矿的浮选有促进作用,且作用程度与银含量呈正相关。

3.1 银含量促进方铅矿浮选的宏观原因

以乙硫氮为例,对含银方铅矿可浮性进行分析。乙硫氮[分子式:(C2H52NCSSNa]是由二乙胺[(C2H52NH]、氢氧化钠(NaOH)和二硫化碳(CS2)化合而成,结构式为


众所周知,若捕收剂与金属易形成络合物,则产生的络合物越难溶,捕收效果越好(朱一民,2010)。乙硫氮与金属离子络合容易程度排序依次为Hg2+、Ag+、Cu2+、Ni2+、Pb2+、Cd2+、Zn2+、Fe3+、Mn2+(朱玉霜,1996;王强,2005杜显彦,2014),因此乙硫氮与Ag+形成的络合物比乙硫氮与Pb2+形成的络合物的溶解度小,更易于被捕收。同时,优先产生的络合银疏水膜罩盖在微细粒方铅矿及含有杂质的方铅矿表面,增加方铅矿的可浮性能,且银含量越高,正向作用越强。同时,蓝丽红(2012)在自然pH值状态下,比较了黑药、黄药和乙硫氮等药剂对7种合成含杂质方铅矿的捕收效果,结果表明合成含银方铅矿的可浮性均较好。虽然只选取了几种药剂进行对比,但这些药剂均是常规浮选捕收剂,完全可以作为黑药类、黄药类和硫氨酯类等药剂代表,因此该试验有一定说服力。

3.2 银含量对方铅矿表面Zeta电位的影响

不同银含量对方铅矿表面ζ电位的影响见图3兰志强,2017)。由图3可知:3种矿物表面的Zeta电位均随pH值的升高而降低,并呈“Z”字形变化(兰志强,2017);相同体系下,3种矿物表面Zeta电位与银含量呈正相关,即任意相同pH值条件下,银含量高的方铅矿的表面电位显然高于银含量较低的方铅矿,因此银更容易被体系中的阴离子捕收剂吸附,浮选指标也优于银含量较低的方铅矿。由于上述研究只选取了同一产地的3种不同银含量的方铅矿,因此其他产地、成因和构成含银方铅矿表面Zeta电位的变化趋势是否也符合“Z”字形变化还有待进一步的证实。

图3

图3   不同银含量对方铅矿表面ζ电位的影响(兰志强,2017

Fig.3   Effects of different silver contents on surface Zeta potential of galena(Lan,2017


3.3 银含量对方铅矿表面捕收剂吸附量的影响

兰志强(2017)利用紫外光分析法对乙硫氮药剂进行线性拟合并推算出药剂在方铅矿表面的吸附量(图4),该线性拟合与付丹(2010)探索的结果相吻合。由图4可以看出,乙硫氮在3种天然含银方铅矿表面的吸附量具有相同的变化趋势,吸附量均随乙硫氮浓度的增加而增加,二者基本呈线性关系;但是相同药剂浓度下,银含量高的含银方铅矿对乙硫氮的吸附量较大,进一步说明银能促进乙硫氮在含银方铅矿表面的吸附,银含量越高,促进作用越强,指标也越好。然而,上述研究只对3种不同银含量的天然方铅矿进行了试验探究,虽有一定的代表性,但未对人工合成的4种不同含银方铅矿进行进一步的探索,因此缺乏说服力。

图4

图4   不同银含量对方铅矿表面捕收剂吸附量的影响(兰志强,2017

Fig.4   Effects of different silver contents on the adsorption capacity of collector of galena surface(Lan,2017


3.4 银含量对方铅矿表面接触角的影响

银含量不同的方铅矿在不同浓度捕收剂体系下的接触角变化见图5。由图5可见,接触角随乙硫氮浓度的增加而增加,当乙硫氮浓度为80 mg/L时,3种方铅矿的接触角均达最大值。此外,任意相同捕收剂用量条件下,银含量越高,接触角越大,即含银方铅矿可浮性越好,与前述机理一致。该试验在乙硫氮及其他药剂体系下呈现的规律大致相同。

图5

图5   不同银含量对方铅矿表面接触角的影响(兰志强,2017

Fig.5   Effects of different silver content on contact angle of galena surface(Lan,2017


3.5 银含量对方铅矿表面影响的红外光谱分析

Chen et al.(2015b)对与10-3 mol/L丁基黄药(BX)作用后的人工合成的方铅矿[图6(a)]和含银方铅矿[图6(b)]进行红外光谱扫描分析,发现二者均在922,964,1 029 nm处出现了特征峰,即在以上3处生成了PbX2。但含银方铅矿的表面在1 080 nm处额外发现AgX特征峰,且AgX的活度积Ksp(4.2×10-20)小于PbX的活度积Ksp(4.2×10-16),Ksp越小,金属黄原酸盐就越容易生成,越能增加矿物的疏水性,说明晶格银的存在能够提高方铅矿的疏水性。该理论很好地解释了第3.1小节的浮选试验结果。

图6

图6   方铅矿在10-3mol/L丁基黄药溶液中的红外光谱(Chen,2015a

Fig.6   Infrared spectra of galena in a 10-3mol/L butyl xanthate solution(Chen,2015a


3.6 银含量对方铅矿表面影响的微热、动力学分析

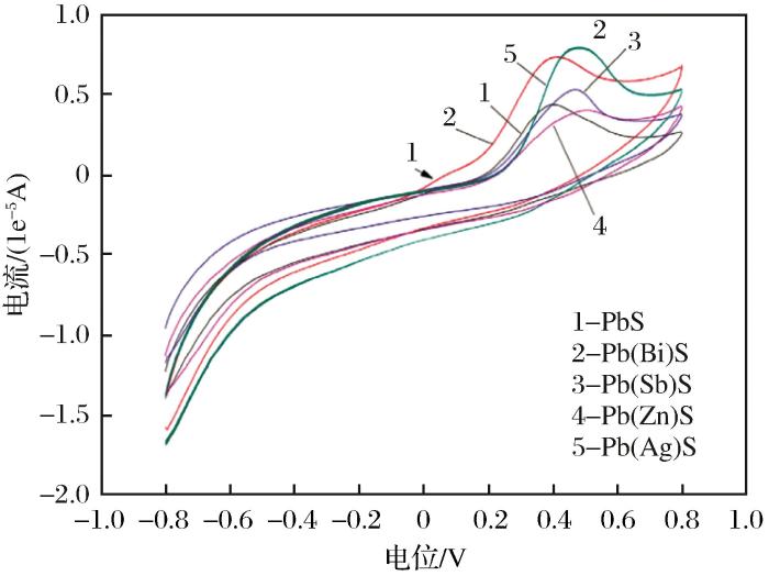
蓝丽红(2012)从微热、动力学的角度探究了黄药在方铅矿表面的吸附行为。结果表明:含银方铅矿表面的黄药反应率系数、吸附热(绝对值)以及对应的回收率均比较高(表2图7),浮选回收率的大小为Pb(Ag)S>Pb(Bi)S>PbS>Pb(Mn)S>Pb(Cu)S>Pb(Sb)S>Pb(Zn)S,该结果与浮选试验及模拟计算结果一致。同时,由微量热动力学曲线可知,丁黄药在Pb(Ag)S和PbS表面的吸附热相比,从-0.28 J/m2降低至-0.82 J/m2,而吸附热是吸附过程的热效应,是吸附过程的表征参数,因此能够证实银对黄药在方铅矿的表面吸附产生正向作用。事实上,合成的含银方铅矿与天然含银方铅矿在表面积、粒度、硬度和结晶等方面有一定的差别,因此微热、动力学效应还应在天然含银方铅矿表面继续探究。

表2   丁基黄药在含不同杂质方铅矿表面吸附的热力学和动力学参数与浮选回收率(蓝丽红,2012) (impurities and flotation recovery(Lan,2012))

Table 2  Thermodynamics and kinetic parameters of buty1 xanthate adsorption on galena surface with different

矿物类型浮选回收率/%热力学和动力学参数
反应速率系数 k/(×10-3·s-1反应级数n
PbS65.35.220.278
Pb(Ag)S1005.870.93
Pb(Bi)S72.45.360.75
Pb(Cu)S55.70.0211.32
Pb(Mn)S64.72.921.11
Pb(Sb)S52.90.5831.24
Pb(Zn)S46.60.0191.30

新窗口打开| 下载CSV


图7

图7   黄药在含杂质方铅矿表面的吸附热与浮选回收率的关系(Lan et al.,2016

Fig.7   Relationship between adsorption heat of xanthate on galena surface and flotation recovery (Lan et al.,2016


3.7 银含量对方铅矿表面影响的电化学分析

Chen et al.(2015b)利用循环伏安曲线法,并结合红外光谱分析了杂质对方铅矿浮选行为的影响,认为黄药与合成方铅矿的反应产物主要是金属黄原酸盐和电化学吸附的黄药。

黄药离子与含杂质方铅矿表面的金属离子发生反应形成金属黄原酸盐反应式为

4X-1+Pb(M)S→PbX2+MX2+S0+2e

黄药离子在含杂质方铅矿表面的电化学吸附反应式为

X-1→X吸附+e

图8可以看出,含银杂质能够降低方铅矿的起始电位,同时从局部放大的循环伏安曲线(图9)也可以看出,含银方铅矿的第一个氧化峰显著增强,强化了黄药在方铅矿表面的电化学吸附,增强了黄药的捕收效果,提高了浮选性能。同时,根据相关公式计算得出含银方铅矿表面对黄药的吸附量最大,为0.446 mol/m2,大于纯方铅矿表面的吸附量(0.297 mol/m2)。与紫外光分析法相比,该吸附量计算方法涉及的理论知识较多,能够与循环伏安法完美结合,因此更具有前瞻性。

图8

图8   pH=9.18时掺杂方铅矿电极在0.001 mol/L黄药中的循环伏安曲线(Chen,2015a

Fig.8   Cyclic voltammetry curves of doped lead sulfide electrode in 0.001 mol/L xanthate at pH = 9.18 (Chen,2015a


图9

图9   杂质对氧化峰1的影响(Chen,2015a

Fig.9   Effect of impurities on oxidation peak 1(Chen,2015a


3.8 银含量对方铅矿表面影响的量子化学分析

根据蓝丽红(2012)的研究成果,矿物晶胞中任意形式的改变都会极大地改变半导体性质,如原子缺失、晶格涨缩和其他原子侵入等。例如,掺入百万分之一的硼元素,会使硅的电阻从214 kΩ/cm降到0.4 Ω/cm,而含有铁杂质的闪锌矿的禁带宽度从3.6 eV降为0.49 eV,使其从绝缘体变为导体。在方铅矿成矿作用的过程中,伴随着固溶体和类质同象的产生,杂质会进入到方铅矿晶格中,改变其性质;与此同时,杂质原子会使矿物晶胞点阵重新平衡,导致矿物晶胞体积发生改变,形成晶胞畸形。由于含银方铅矿中六配位的Ag+晶体(半径1.29 Å)代替Pb2+(半径1.33 Å),因此银的混入导致方铅矿晶胞体积减小,银含量越多,晶胞体积越小(图10)。

图10

图10   方铅矿晶胞参数与银含量的关系(蓝丽红,2012

Fig. 10   Relationship between cell parameters of gelena and silver content(Lan,2012


蓝丽红(2012)通过MDI Jade5.0获取了7种合成方铅矿和天然纯方铅矿的晶胞参数值,通过模拟计算得出的结果与采用第一性原理计算得到的规律相吻合(表3),研究还发现含银和铜杂质的方铅矿表面有Ag的4d轨和Cu的3d轨均穿越了费米能级,在-4~0 eV能量范围内,S的3p态和Ag的4p、4s、5p态发生杂化,含银杂质表面总态密度比理想表面穿过费米能级更明显,且带隙不明显,因此方铅矿表面导电性增强,这使得方铅矿表面的反应活性增强,而Zn的3d轨道远离表面态,对方铅矿影响较小。此外,一些学者(Lee et al.,2009Barkhordari et al.,2009王檑,2010曾小钦,2009Chen et al.,2015b)采用了前线轨道理论方法,探究了药剂分子及方铅矿前线轨道与晶格缺陷的关系,发现方铅矿前线轨道的组成明显受晶格杂质的影响,其中,银晶格杂质改变了方铅矿的活性,促进了方铅矿表面的氧化且改善了其浮游特性。

表3   合成掺杂方铅矿样品的晶胞常数(蓝丽红,2012

Table 3  Lattice constant of synthesized doped galena sample(Lan,2012

矿物类型测量值计算值
PbS (天然)0.5928

0.6018

[文献值0.5924(Wasserstein,1951)]

PbS(合成)0.5926
Pb(Ag)S0.59230.6008
Pb(Zn)S0.59180.5958
Pb(Cu)S0.59200.5858
Pb(Sb)S0.59310.6130
Pb(Bi)S0.59290.6250
Pb(Mn)S0.59230.5760

新窗口打开| 下载CSV


由DFT理论模型分析可知,方铅矿是一种窄禁带半导体结构,在无氧条件下不能被黄药捕收。氧是硫化物浮选过程中必不可少的物质,在浮选过程中氧的还原充当阴极[式(3)],黄药的氧化为阳极[式(4)](Woods,2000冯其明等,2014)。氧的化学吸附有利于黄药阴离子氧化生成疏水性的吸附物质。

O2+2e-→2O-
PbS+2X-→PbX2+S0+2e-

氧具有很强的亲电性,而在含银方铅矿中,银作为电子的受体,使方铅矿呈现p型结构,该p型方铅矿表面有利于氧的吸附。Chen et al.(2015b)通过CASTEP和GGA-PW91 软件对含杂质方铅矿进行了模拟,结果显示含银杂质的方铅矿表面的O-S键长度(0.1586 nm)小于理想方铅矿表面的O-S键长度(0.1644 nm),如图11所示。在4种杂质中,完美方铅矿表面和掺银方铅矿表面的吸附能分别为 -114.82 kJ/mol和-129.29 kJ/mol。同时,相对于纯方铅矿,含银杂质方铅矿中O-S键布居数增加到0.24,表明掺银方铅矿比具有完美晶型的方铅矿表面有更大的负吸附能,更利于氧分子吸附在方铅矿表面,进而促进捕收剂在方铅矿表面吸附,提高其浮游特性。溶液中的溶解氧、水和pH值均会影响方铅矿表面的反应及反应速度,但该模拟计算是基于反应过程中无任何电子转移的假设,因此该计算可能与真实值存在偏差。

图11

图11   O2在方铅矿表面吸附构型(Chen,2015b

Fig.11   Adsorption configuration of oxygen on galena surface(Chen,2015b


4 结语

近年来,研究人员对含银方铅矿浮选机理的研究取得了一定的进展,表明银含量对方铅矿浮选行为具有显著的影响,从更深层次揭示了浮选过程中Zeta电位、药剂吸附量和电化学特征峰的变化等一系列微观现象。为了高效开发利用含银铅锌矿资源,简化现场流程、提高分选效率及降低生产成本,今后还需进一步加强以下工作:

(1)难选低品位含银方铅矿的综合回收需进一步加强。

(2)高效、低耗且适应性强的含银方铅矿工艺流程的探索,以及环保、价格、生态相统一的(组合)药剂的研发势在必行。

(3)目前银含量对含银方铅矿浮选影响的机理研究主要集中在细粒级范围内,而大颗粒或微细粒级含银方铅矿的研究较少;此外,大多数机理研究处于实验室理论探究阶段,实际应用案例相对较少,因此需加快推进理论与实践相结合,促进相关成果的转化和应用。

(4)现场生产过程中应尽量避免使用石灰作为pH值调整剂,如必须使用石灰,建议利用自动化、智能化的调控设备,以保证添加合适的石灰用量,进而保证银回收率不受影响。同时,应引进先进的指标跟踪设备,及时统计、分析现场数据,为浮选动力学、电化学等理论研究提供更多更精准的数据支撑。

http://www.goldsci.ac.cn/article/2021/1005-2518/1005-2518-2021-29-5-749.shtml

参考文献

Chen JunWei Yaru2018.

Research status quo of the pretreatment technology for refractory carbonaceous gold ore

[J].Gold,3912):59-62.

Dong YanhongZeng HuimingYang Jianwenal et2018.

High efficient flotation processing technology for the low-grade refractory graphite ore

[J].Acta Mineralogica Sinica,383):336-342.

[本文引用: 1]

Ao ShunfuWang ChunguangHu Hongxial et2019.

Processing experimental study on a low-grade lead-zinc ore containing silver

[J]. Nonferrous Metals(Mineral Processing Section),(4):32-39.

Huang HuaiguoZhang QingLin Honghan2013.

Research and application status of extraction technology for the refractory gold ore

[J].Gold Science and Technology,211):71-77.

Barkhordari H RJorjani EEslami Aet al. 2009.

Occurrence mechanism of silicate and aluminosilicate minerals in Sarcheshmeh copper flotation concentrate

[J]. International Journal of Minerals,Metallurgy and Materials,165):494-499.

[本文引用: 1]

Huang Runzhi2015.

Research on Mineral Processing Process of Gold Ore Containing Carbon and Arsenic

[D].Nanning:Guangxi University.

[本文引用: 9]

Cao JinchengCao Fei Liangal et2012.

Study on mineral processing of a Pb-Zn-Ag polymetallic ore in Shandong province

[J]. Industrial Minerals & Processing,411):20-2130.

Ibrahim H HBilsborrow P EPhan A N2021.

Intensification of pre-treatment and fractionation of agricultural residues

[J].Chemical Engineering and Processing-Process Intensification,159108231.

[本文引用: 6]

Chen J HKe B LLan L Hal et2015a. Influence of Ag,

Sb,Bi and Zn impurities on electrochemical and flotation behavior of galena

[J]. Minerals Engineering,(72):10-16.

[本文引用: 9]

Jin J PHan Y XLi Hal et2019.

Mineral phase and structure changes during roasting of fine-grained carbonaceous gold ores and their effects on gold leaching efficiency

[J].Chinese Journal of Chemical Engineering,275):1184-1190.

[本文引用: 2]

Chen J HKe B LLan L Hal et2015b.

DFT and experimental studies of oxygen adsorption on galena surface bearing Ag,Mn,Bi and Cu impurities

[J].Minerals Engineering,(71):170-179.

[本文引用: 6]

Konadu K TMendoza D MHuddy R Jal et2020.

Biological pretreatment of carbonaceous matter in double refractory gold ores:A review and some future considerations

[J].Hydrometallurgy,196105434.

Chen JWang LChen Yal et2011.

A DFT study of the effect of natural impurities on the electronic structure of galena

[J]. International Journal of Mineral Processing,983/4):132-136.

[本文引用: 2]

Lan ZhiqiangLan ZhuoyueLi Difeial et2016.

Beneficaition test study on a refractory copper-gold-silver ore in Kangba of Sichuan

[J].Province Mining & Metallurgy,255):5-9.

Chen Shenghu2012.

The Research of Beneficiation Process and Mechanism for a Lead-Zinc Ore in Guangdong

[D]. Ganzhou:Jiangxi University of Science and Technology.

Li Heng2019.

The Effect of Carbonaceous Matter on the Flotation of High Carbon-bearing Gold

[D].Xi’an:Xi’an University of Architecture and Technology.

Cheng Kai2016.

The Efficient and Environment-friendly Age-nts HQ77 and D82:Characterization,Mechanism,and Practical Application in Flotation of Lead-Zinc Separation

[D]. Nanning:Guangxi University.

Li JianminLiu DianwenSong Kaiwei2016.

Mineral processing technology of a refractory gold ore bearing arsenic and organic carbon

[J].Chinese Journal of Rare Metals,4010):1053-1059.

Du Xianyan2014.

Mineral Processing Technology and Mechanism Studies on Lead-Zinc-Silver Polymetallic Sulphide Ore

[D]. Ganzhou:Jiangxi University of Science and Te-chnology.

Liu ZhilouYang Tianzu2014.

Treatment status for refractory gold ores

[J].Precious Metals,351):79-8389.

Feng QimingChen Jianhua2014. Electrochemistry of Sulfide Mineral Flotation[M]. ChangshaCentral South University of Technology Press.

Ma FangtongGao LikunDong Fangal et2016.

Pretreatment of refractory gold ores and current research status and progress of intensified cyanidation process

[J].Gold,374):51-55.

[本文引用: 1]

Fu Dan2010.

The Study of Flotation and Surface Adsorption Mechanism of Copper-Lead-Zinc Sulphide Ore

[D]. Ganzhou:Jiangxi University of Science and Technology.

Niu HuiqunDong LinlinYuan Shuipingal et2019.

Research status on carbonaceous matter characteristic and decarbonization of carlin-type gold ore

[J].Nonferrous Metals(Extractive Metallurgy),(6):33-39.

Hansford G SVargas T2001.

Chemical and electrochemical basis of bioleaching processes

[J].Hydrometallurgy,592/3):135-145.

[本文引用: 1]

Huang Heping2018.

Study on the Flotation Characteristics of Different Particle Size of Lead-Zinc Sulfide Ore

[D]. Ganzhou:Jiangxi University of Science and Technology.

Peng Xiao2016.

Flotaion of One Low Grade Microgranular Disseminated Gold Ore from Gansu and Its Application

[D].Kunming:Kunming University of Science and Technology.

Ji Jun2011.

Research on phased flotation process of carbon-bearing lead-zinc ore with fine grain size

[J].Nonferrous Me-tals(Mineral Processing Section),(3):8-11.

Song XuewenZhu JiaqianLuo Zengxinal et2018.

Study on the gold flotation technology and process mineralogy of a cyanide residue

[J].Gold Science and Technology,261):89-97.

Jiang Sufang2011.

Study on Pb-Zn-Ag of multi-metalliferous ore flotation technology in Tibet

[J].Hunan Nonferrous Me-tals,272):10-1448.

Sun LiugenYuan ChaoxinWang Yunal et2015.

Status and development of gold extraction from refractory gold ore

[J].Nonferrous Metals(Extractive Metallurgy),(4):38-43.

[本文引用: 5]

Tan Baihua2017.

Study on flotation process in a fine gold ore containing carbon

[J].World Nonferrous Metals,(19):88-89.

[本文引用: 3]

Lan L HChen J HLi Y Qal et2016.

Microthermokinetic study of xanthate adsorption on impurity-doped galena

[J]. Transactions of Nonferrous Metals Society of China,261):272-281.

[本文引用: 5]

Tian QinghuaWang HaoXin Yuntaoal et2017.

Research status of pretreatment of refractory gold ore

[J].Nonferrous Metals Science and Engineering,82):83-89.

[本文引用: 4]

Lan Lihong2012.

The Effect of Lattice Defect of Galena on the Surface Property,Molecular Absorption of Flotation Reagents and Electrochemical Behavior

[D].Nanning:Guangxi University.

[本文引用: 3]

Lan Zhiqiang2017.

Study on Flotation Behavior and Mechanism of Silver-bearing Galena

[D].Kunming:Kunming Uni-versity of Science and Technology.

[本文引用: 4]

Wu Bing2020.

Current status and progress of the research on complex refractory gold ore pretreatment technology

[J].Gold,415):65-72.

[本文引用: 1]

Lee KArchibald DMcLean J2009.

Reuter flotation of mixed copper oxide and sulfide minerals with xanthate and hydroxamate collectors

[J].Minerals Engineering,224):395-401.

[本文引用: 1]

Li Weizhong2007.

Research on Flotation Separation of Complex Lead-Zinc-Sliver Sulfide Ore and Its Practice

[D]. Changsha:Central South University.

Wu HFeng Y LLi H RWang H Jal et2020.

Co-recovery of manganese from pyrolusite and gold from carbonaceous gold ore using fluidized roasting coupling technology

[J].Chemical Engineering and Processing-Process Intensification,147107742.

Li YanlingLi RonggaiBai Limei2020.

Study on comprehensive recovery process of complex multi-metals Cu-Pb-Zn-Au-Ag Ore in Henan province

[J]. Metal Mine,(2):82-87.

Xu Xiaoyang2013.

Review of research on leaching process of carbonaceous refractory gold ore

[J].Gold Science and Technology,211):82-88.

Liu JiaxiangWang GuanpuZhang Zhiyuan1995.

On the separation technology of lead-zinc sulfide combined middling

[J]. Journal of Xi’an University of Architecture & Technology(Natural Science Edition),(4):457-460.

Yu Xue2011.

Study on floatation process of a fine-particle gold ore containing carbon

[J].Gold,3211):52-55.

Luo XianpingZhou HepengZhou Yueal et2011.

New technique to improve dressing indexes of associated silver in complex lead-zinc ore

[J]. Mining and Metallurgical Engineering,313):35-39.

Yu HaipingLiu Jing2011.

Research on refractory gold ore leaching process

[J].Chemistry of Guangzhou,3917):25-27.

Mao YilinChen XiaoqingYang Jinzhongal et2011.

Experimental research on mineral processing technology for separating a complex and refractory oxide lead-zinc ore

[J]. Multipurpose Utilization of Mineral Resources,(1):6-10.

Zhang XiaominLi HengLi Yueal et2020.

Experimental study on the effect of high carbon gold ore flotation by carbonaceous matter

[J].Nonferrous Metals Engineering,102):74-81.

Qin Wei2013.

Design Synthesis and Flotation Mechanism Study on Flotation Reagents for Silver Containing Lead-zinc Ore

[D]. Beijing:China University of Mining & TechnologyBeijing.

Zhang ZhaohuiXie WEiweiYu Yantao2016.

Mineral processing investigation of the arsenic and carbon bearing micro-fine particle gold primary grain

[J].Hunan Nonferrous Metals,324):21-24.

Sand WGehrke TJozsa P Gal et2001.

Biochemistry of bacterial leaching—direct vs. indirect bioleaching

[J]. Hydrometallurgy,592/3):159-175.

[本文引用: 1]

Zhang ZuojinWang QianqianDai Shujuan2017.

The development of pretreatment technology of carbonaceous gold ore

[J].Conservation and Utilization of Mineral Resourses,(5):99-104.

[本文引用: 1]

Song Yan2020.

Study on the mineral processing technology of a complicated refractory lead,zinc and silver polymetallic ore

[J]. China Metal Bulletin,(4):20-21.

Zhu ChangliangYang HongyingWang Dawenal et2009.

Current situations of pretreatment method research of the refractory gold ores with As and carbon

[J].China Mining Magazine,184):66-69.

Tan XinHe FayuWu Weiguoal et2010.

Mineral processing technology on sandstone type low grade lead-zinc oxide ore

[J]. Nonferrous Metals Engineering,623):115-122.

陈军卫亚儒2018.

难处理含碳金矿石预处理技术研究现状

[J].黄金,3912):59-62.

Tian Jiangtao2018.

Mineral Processing Experiment Study on a Skarn Pb-Zn Ore from Hebei Province

[D].Tangshan:North China University of Science and Technology.

董艳红曾惠明杨建文2018.

微细粒低品位难选石墨的高效浮选工艺研究

[J].矿物学报,383):336-342.

Tong Xiong1996. Theory and Practice of Microbiological Leaching[M]. BeijingMetallurgical Press.

黄怀国张卿林鸿汉2013.

难选冶金矿提取工艺工业应用现状

[J].黄金科学技术,211):71-77.

Wang ChengxingYe FuxingTong Xiongal et2013.

Comprehensive recovery of associated silver from some silver-rich lead-zinc sulfide ore in Yunnan

[J].Mining and Metallurgical Engineering,334):67-6973.

黄闰芝2015.

高碳含砷难选金矿的选矿工艺研究

[D].南宁:广西大学

Wang Hu2015.

Mineral Processing Technology from Nanjing Lead-Zinc-Silver Ore and Studies on Flotation Kinetics

[D]. Ganzhou:Jiangxi University of Science and Technology.

兰志强蓝卓越李涤非2016.

四川康巴难选铜金银矿综合回收选矿试验研究

[J].矿冶,255):5-9.

Wang Lei2010.

The First Principle Study on the Effect of Lattice Defects on Electronic Structure and Flotation Behavior of Galena

[D].Nanning:Guangxi University.

李恒2019.

碳质物对高含碳金矿浮选影响的试验研究

[D].西安:西安建筑科技大学.

Wang Qiang2005.

Experimental Research of Strengthen Silver Reclaim in Galena and Sphalerite

[D]. Shenyang:Northeastern University.

李健民刘殿文宋凯伟2016.

某含碳含砷难处理金矿石选矿工艺研究

[J].稀有金属,4010):1053-1059.

Wasserstein B1951.

Precision lattice measurements of galena

[J]. American Mineralogist,361/2):102-115.

刘志楼杨天足2014.

难处理金矿的处理现状

[J].贵金属,351):79-8389.

Wen KaiChen Jianhua2019.

Experimental study on flotation of copper,lead and zinc polymetallic sulfide ore containing silver

[J]. Multipurpose Utilization of Mineral Resources,(6):28-32.

马方通高利坤董方2016.

难处理金矿预处理及强化氰化技术研究现状及进展

[J].黄金,374):51-55.

Woods R2000.

Recent advances in electrochemistry of sulfide mineral flotation

[J]. Transactions of Nonferrous Metals Society of China,10Supp.1):26-29.

[本文引用: 1]

牛会群佟琳琳衷水平2019.

卡林型金矿碳质物特征及其去碳方法研究现状

[J].有色金属(冶炼部分),(6):33-39.

[本文引用: 1]

Wu Chuizhi2012.

Research on Flotation Behavior and Mechanism of Artificial Magnetite and Natural Magnetite

[D]. Nanning:Guangxi University.

彭晓2016.某含碳高砷微细粒金矿提金工艺研究[D.

]昆明:昆明理工大学

.

Wu Rongqing2008.

China has made new progress in prospecting and exploitation of lead-zinc mineral resources

[J]. China Metal Bulletin,(25):28-31.

宋学文朱加乾罗增鑫2018.

某氰渣工艺矿物学及金浮选工艺研究

[J].黄金科学技术,261):89-97.

Xi Shen2012.

Analysis of present situation of silver mineral resources in China and Abroad

[J]. World Nonferrous Metals,(6):60-63.

孙留根袁朝新王云2015.

难处理金矿提金的现状及发展趋势

[J].有色金属(冶炼部分),(4):38-43.

Xiao JunChen DaixiongYang Jianwen2014.

Research on beneficiation technology for a polymetallic sulphide ore containing high silver-copper-lead-zinc in Henan

[J]. Multipurpose Utilization of Mineral Resources,(4):30-35.

谭白华2017.

浮选工艺在某含碳微细粒金矿石的研究

[J].世界有色金属,(19):88-89.

Xiao Tianxiang2015.

Experimental study on comprehensive recycling of a lead-zinc and silver polymetallic mineral

[J]. Gansu Metallurgy,375):11-1519.

田庆华王浩辛云涛2017.

难处理金矿预处理方法研究现状

[J].有色金属科学与工程,82):83-89.

Zeng Xiaoqin2009.

The First Principle Study on the Effect of Lattice Defects on the Electronic Structure of Sphalerite

[D]. Nanning:Guangxi University.

吴冰2020.

复杂难处理金矿石预处理工艺研究现状及进展

[J].黄金,415):65-72.

Zhang ChangqingRui ZongyaoChen Yuchuanal et2013.

The main successive strategic bases of resources for Pb-Zn deposits in China

[J]. Geology in China,401):248-272.

许晓阳2013.

碳质难处理金矿浸出工艺研究进展

[J].黄金科学技术,211):82-88.

Zhang YingxinZhang ChengqiangTian Min2012.

Experimental research on flotation technology for a low-grade lead-zinc-silver mineral separation

[J]. Multipurpose Utilization of Mineral Resources,(6:28-3236.

于雪2011.

某含碳微细粒金矿石浮选工艺研究

[J].黄金,3211):52-55.

Zhou Hepeng2011.

Study on Synthesis Recovery Technology and Mechanism of Associated Silver from Huili Zinc Ore in Sichuan Province

[D]. Ganzhou:Jiangxi University of Science and Technology.

俞海平刘菁2011.

难处理金矿石浸出工艺研究现状

[J].广州化工,3917):25-27.

Zhou HongboPang Yunjuan2010.

Experimental study on mineral processing of a lead zinc sulfide minerals

[J]. Modern Mining,267):37-39.

张晓民李恒李越2020.

碳质物对高含碳金矿浮选影响的试验研究

[J].有色金属工程,102):74-81.

Zhou Jing2010.

Higher efficiency and non-toxic mineral separation technology of complex lead-zinc-sulphur

[J].Nonferrous Metals(Mineral Processing Section),(4):43-48.

张朝辉薛伟伟余延涛2016.

某含砷含碳微细粒嵌布难处理金矿石选矿试验

[J].湖南有色金属,324):21-24.

张作金王倩倩代淑娟2017.

碳质金矿预处理技术研究进展

[J].矿产保护与利用,(5):99-104.

Zhou Yuan2002.

The Dressing of Gold and Silver Ore

[M]. Ganzhou:Jiangxi University of Science and Technology Press.

Zhu Yimin2010.

The synthesis of the Ammonium Di-iso-butyl Dithiophosphate and its flotation effect

[J]. Metal Mine,(9):68-70.

朱长亮杨洪英王大文2009.

含砷含碳双重难处理金矿石预处理方法研究现状

[J].中国矿业,184):66-69.

敖顺福王春光胡红喜2019.

某含银低品位铅锌矿石选矿试验研究

[J].有色金属(选矿部分),(4):32-39.

[本文引用: 1]

曹进成曹飞吕良2012.

山东某铅锌银多金属矿选矿试验研究

[J].化工矿物与加工,411):20-2130.

陈胜虎2012.

广东某铅锌矿选矿工艺及机理研究

[D]. 赣州:江西理工大学.

[本文引用: 1]

程恺2016.

铅锌分离浮选高效环保新药剂HQ77和D82性能、作用机理和实际应用研究

[D].南宁:广西大学.

[本文引用: 1]

杜显彦2014.

铅锌银多金属硫化矿选矿工艺及机理研究

[D]. 赣州:江西理工大学.

[本文引用: 1]

冯其明陈建华2014. 硫化矿浮选电化学[M].长沙中南大学出版社.

[本文引用: 1]

付丹2010.

铜铅锌多金属硫化矿浮选行为与表面吸附机理研究

[D]. 赣州:江西理工大学.

[本文引用: 1]

黄和平2018.

不同粒级铅锌硫化矿浮选特性研究

[D].赣州:江西理工大学.

[本文引用: 3]

纪军2011.

微细粒含碳铅锌矿分步浮选工艺研究

[J].有色金属(选矿部分),(3):8-11.

[本文引用: 1]

蒋素芳2011.

西藏某难选铅锌银硫多金属矿选矿工艺研究

[J].湖南有色金属,272):10-1448.

[本文引用: 1]

兰志强2017.

含银方铅矿的浮选行为及机理研究

[D].昆明:昆明理工大学.

[本文引用: 10]

蓝丽红2012.

晶格缺陷对方铅矿表面性质、药剂分子吸附及电化学行为影响的研究

[D].南宁:广西大学.

[本文引用: 7]

黎维中2007.

难处理铅锌银硫化矿物资源综合回收的研究与实践

[D].长沙:中南大学.

[本文引用: 2]

李彦令李荣改白丽梅2020.

河南某复杂铜铅锌金银多金属矿综合回收工艺研究

[J].金属矿山,(2):82-87.

[本文引用: 1]

刘家祥王冠甫张治元1995.

硫化铅锌中矿分离工艺的研究

[J].西安建筑科技大学学报,(4):457-460.

[本文引用: 1]

罗仙平周贺鹏周跃2011.

提高某复杂铅锌矿伴生银选矿指标新工艺研究

[J].矿冶工程,313):35-39.

[本文引用: 2]

毛益林陈晓青杨进忠2011.

某复杂难选氧化铅锌矿选矿试验研究

[J].矿产综合利用,(1):6-10.

[本文引用: 1]

秦伟2013.

伴生银铅锌矿浮选药剂的设计、合成与浮选机理研究

[D].北京:中国矿业大学(北京).

[本文引用: 1]

宋龑2020.

某复杂难选铅锌银多金属矿选矿工艺研究

[J].中国金属通报,(4):20-21.

谭欣何发钰吴卫国2010.

某砂岩型低品位氧化铅锌矿选矿工艺

[J].有色金属工程,623):115-122.

[本文引用: 1]

田江涛2018.

河北省某矽卡型铅锌矿选矿试验研究

[D].唐山:华北理工大学.

[本文引用: 2]

童雄1996. 微生物浸矿的理论与实践[M].北京冶金出版社.

[本文引用: 1]

王成行叶富兴童雄2013.

云南某富银硫化铅锌矿中伴生银的综合回收研究

[J].矿冶工程,334):67-6973.

[本文引用: 1]

王虎2015.

南京栖霞山高硫低铅锌银矿高效回收工艺及浮选动力学研究

[D].赣州:江西理工大学.

[本文引用: 1]

王檑2010.

晶格缺陷对方铅矿电子结构及浮选行为影响的第一性原理研究

[D].南宁:广西大学.

[本文引用: 1]

王强2005.

强化铅锌矿中伴生银回收的试验研究

[D].沈阳:东北大学.

[本文引用: 1]

温凯陈建华2019.

某含银复杂铜铅锌多金属硫化矿浮选试验

[J].矿产综合利用,(6):28-32.

[本文引用: 1]

吴荣庆2008.

我国铅锌矿产资源勘查开发取得新进展

[J].中国金属通报,(25):28-31.

[本文引用: 1]

伍垂志2012.

人工磁铁矿和天然磁铁矿浮选行为及其机理研究

[D].南宁:广西大学.

[本文引用: 1]

奚甡2012.

中外银矿资源现状分析

[J].世界有色金属,(6):60-63.

[本文引用: 1]

肖骏陈代雄杨建文2014.

河南某高含银铜铅锌多金属硫化矿选矿工艺研究

[J].矿产综合利用,(4):30-35.

[本文引用: 1]

肖天祥2015.

某铅锌金银多金属矿综合回收选矿试验研究

[J].甘肃冶金,375):11-1519.

[本文引用: 1]

曾小钦2009.

晶格缺陷对闪锌矿电子结构影响的第一性原理研究

[D].南宁:广西大学.

[本文引用: 1]

张长青芮宗瑶陈毓川2013.

中国铅锌矿资源潜力和主要战略接续区

[J].中国地质,401):248-272.

[本文引用: 1]

张颖新张成强田敏2012.

豫西低品位铅锌银多金属矿浮选试验研究

[J].矿产综合利用,(6:28-3236.

周贺鹏2011.

四川会理锌矿伴生银综合回收工艺及机理研究

[D]. 赣州:江西理工大学.

周宏波庞运娟2010.

某铅锌硫化矿选矿试验研究

[J].现代矿业,267):37-39.

[本文引用: 1]

周菁2010.

难选铅锌硫矿无毒高效选矿药剂试验研究

[J].有色金属(选矿部分),(4):43-48.

周源2002.

金银矿石的选矿

[M].赣州:江西理工大学出版社.

[本文引用: 1]

朱一民2010.

异丁基铵黑药的合成及浮选效果

[J].金属矿山,(9):68-70.

[本文引用: 1]

/