银含量对方铅矿浮选的影响及其机理研究进展 |
| 王国彬,蓝卓越,王瑞康,赵清平,杨迪,李博琦 |
|
Effect of Silver Content on Galena Flotation and Research Progress on Its Mechanism |
| Guobin WANG,Zhuoyue LAN,Ruikang WANG,Qingping ZHAO,Di YANG,Boqi LI |
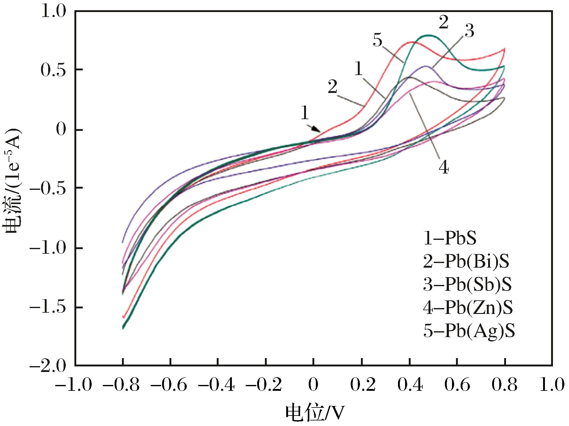
| 图8 pH=9.18时掺杂方铅矿电极在0.001 mol/L黄药中的循环伏安曲线( |
| Fig.8 Cyclic voltammetry curves of doped lead sulfide electrode in 0.001 mol/L xanthate at pH = 9.18 ( |
|