静态—准静态加载下含裂隙类岩材料破断试验及声发射特性分析
郭婧宇 , , 蒲成志 , , 贺桂成 , 李益龙 , 杨少峰 , 曾佳君
南华大学资源环境与安全工程学院,湖南 衡阳 421001
Fracture Test of Rock-like Materials with Cracks and Analysis of Acoustic Emission Characteristics at Static-Quasi-Static Loading Rates
GUO Jingyu , , PU Chengzhi , , HE Guicheng , LI Yilong , YANG Shaofeng , ZENG Jiajun
School of Resource Environment and Safety Engineering,University of South China,Hengyang 421001,Hunan,China
通讯作者: 蒲成志(1986⁃),男,山东阳谷人,副教授、硕士生导师,从事岩石断裂力学方面的研究工作。puchengzhi@foxmail.com
收稿日期: 2020-06-01
修回日期: 2020-07-23
网络出版日期: 2021-01-29
基金资助:
国家自然科学基金项目“水—力耦合作用下卸荷诱导的裂隙体破断实验与灾变机理研究” . 51704168 中国博士后科学基金项目“单轴压缩下渗透压动态传递—稳态作用的裂隙体断裂破坏试验与研究” . 2016M602417 湖南省自然科学基金项目“渗流场长时稳定作用的裂隙体破断实验与机理研究” . 2019JJ50528
Received: 2020-06-01
Revised: 2020-07-23
Online: 2021-01-29
摘要
为了探究加载速率和裂隙倾角复合影响的裂隙体类岩石材料破断规律,对含0.1 mm预制裂隙的类岩材料进行静态到准静态的不同加载速率单轴压缩试验,基于声发射测试技术,分析含预置裂隙类岩材料起裂强度规律。结果表明:相同加载速率下,峰值强度随预制裂隙倾角增大呈现先减小后增大的变化趋势,倾角为45°时最小,裂隙倾角相同时,裂隙体峰值强度随加载速率的增大而增大;准静态加载范围内存在一个临界加载速率即2.0×10-4 s-1 ,使得加载速率强化效应不再显著;低频信号占比逐渐升高,可作为裂隙体失稳前兆信息;裂隙倾角相同时,裂隙体起裂应力水平随加载速率的增大而增大,相同加载速率下,裂隙体起裂应力水平随倾角的增大而增大。
关键词:
声发射
;
加载速率
;
预制裂隙
;
类岩材料
;
裂隙倾角
;
频域特征
;
起裂应力水平
Abstract
In subways,tunnels and other projects,the loading rate effect produced by short-time,high-strength excavation is one of the main factors of engineering disasters. With the widening of demand and the deepening of research,it is of great significance for the safety protection and stability evaluation of rock engineering to carry out studies on the mechanical effects of loading rate and the influence of crack dip angle related to time factors. In order to investigate the fracture law of fractured rock-like materials combined with loading rate and fracture dip angle,RMT-150B rock mechanics testing machine was used to perform static to quasi-static 4-level loading rate uniaxial compression of rock-like materials with 0.1 mm prefabricated cracks.Based on acoustic emission testing technology,the initiation strength law of rock-like materials with preset cracks and the dynamic frequency domain change characteristics of rock mass fractures under the combined action of loading rate and crack dip angle was analyzed. The main research results show that:Under the same loading rate,prefabricated cracks with different dip angles have different degrees of damage to the compressive strength of rock-like specimens,and the peak strength shows a trend of decreasing first and then increasing with the increase of the prefabricated crack dip angle,and the minimum angle is 45°. When the fracture inclination angle is the same,the peak strength of the fracture body increases with the increase of the loading rate. There is a critical loading rate in the quasi-static loading range,so that the loading rate strengthening effect is no longer significant,that is,the growth of the fissure body basically stagnate after reaching a certain value.This critical loading rate is around 2.0×10-4 s-1 .Acoustic emission activity begins to be apparently active after the end of the micro-crack closure phase in the specimen.A large number of micro-cracks initiate and penetrate each other to form macro-cracks.The AE energy rate is most active around the peak.Under the same loading rate,the cracking stress level of the fracture body increases with the increase of the inclination angle.When the crack inclination angle is the same,the cracking stress level of the fracture body increases with the increase of the loading rate.Under the condition of static loading,the cracking stress level of the fracture body with an inclination angle of 0° is roughly between 60 and 70 percent,that is,about two-thirds of the peak stress.With the increase of the inclination angle,the cracking stress level is also increase,the cracking stress level of the fractured body with a tilt angle of 90° under quasi-static loading conditions has exceeded 90%,and the cracking stress levels of the complete specimens within the static-quasi-static loading range have all exceeded 90%.
Keywords:
acoustic emission
;
loading rate
;
prefabricated crack
;
rock-like materials
;
crack dip
;
frequency domain characteristics
;
crack initiation stress level
本文引用格式
郭婧宇, 蒲成志, 贺桂成, 李益龙, 杨少峰, 曾佳君. 静态—准静态加载下含裂隙类岩材料破断试验及声发射特性分析 [J]. 黄金科学技术 , 2020, 28(6): 877-884 doi:10.11872/j.issn.1005-2518.2020.06.096
GUO Jingyu, PU Chengzhi, HE Guicheng, LI Yilong, YANG Shaofeng, ZENG Jiajun. Fracture Test of Rock-like Materials with Cracks and Analysis of Acoustic Emission Characteristics at Static-Quasi-Static Loading Rates [J]. Gold Science and Technology , 2020, 28(6): 877-884 doi:10.11872/j.issn.1005-2518.2020.06.096
岩石在受力变形时,其内部原生或新生微裂纹发生二次破裂时,向四周辐射瞬态弹性波的现象,称为声发射(Acoustic Emission,简称AE)。岩体的破坏都是在一定的加载速率下,在工程实际中,不同的工程需要考虑的加载速率不同。加载速率是一个变化幅度很大的参数,有些地下工程如采矿的巷道和矿柱,变形增量很小,其力学性能却在量和质上都发生了变化[1 ] 。在地铁、隧道等工程中,短时间、高强度开挖下产生的加载速率效应,是工程灾害发生的主要因素之一。随着需求的拓宽和研究的深入,开展与时间因素相关的加载速率力学效应研究,对岩体工程的安全防护与稳定性评价有着极为重要的意义[2 ] 。
国内外学者基于理论分析,结合室内试验与PFC数值模拟技术对岩石断裂的加载速率效应及声发射特性开展了广泛的研究[3 -6 ] 。尹小涛等[7 ] 通过设计不同加载速率数值试验,发现应变率越高,岩石的峰值强度越高,变形参数也越高;张学朋等[8 ] 基于颗粒离散元模型虚拟实现了岩石压缩试验和巴西劈裂试验,分析了加载速率对岩石应变能率及声发射规律的影响;姜耀东等[9 ] 研究了加载速率对能量积聚与耗散的影响;宋义敏等[2 ] 开展了不同加载速率下红砂岩变形场演化试验研究,分析了岩石变形局部化与加载速率的关系;罗可等[10 ] 通过对不同加载速率下含裂隙类岩材料的室内试验与数值模拟,分析了加载速率与预置裂隙倾角对岩体的影响; He等[11 ] 对8种岩石进行了测试,发现大多数岩石都具有Kaiser效应; Li等[12 ] 使用深部岩爆过程模拟系统,研究了真三轴卸载条件下石灰石岩爆的声发射波形和频率特性。刘希灵等[13 ] 基于声发射技术,在MTS322试验机和霍普金森试验系统(SHPB)上对花岗岩试样进行动静加载,结果显示岩石冲击荷载下声发射b值小于静载条件下,且b值随加载速率的增加而减小;王笑然等[14 ] 通过对裂隙砂岩裂纹扩展的声发射响应及速率效应的研究,发现起裂应力随加载速率的增大而增大。
虽然前人对岩石加载速率和声发射进行了大量的试验和理论研究工作[13 -18 ] ,但就不同加载速率和不同裂隙倾角复合作用下的岩石断裂声发射特性的研究还相对较少,目前对岩石加载速率效应的研究多是关于纯静态加载速率下的岩石特性[19 -24 ] ,极少从静态到准静态加载速率来研究岩石特性,而实际工程中的加载类型不仅有静态加载。本文借助于声发射设备,利用伺服控制试验机对含不同倾角的预制裂隙类岩试件进行从静态到准静态不同加载速率室内加载试验,确定了使类岩材料加载速率效应不再明显的临界加载速率,分析了裂纹扩展的声发射频域特征,通过分析声发射特征参数,研究加载速率和裂隙倾角对类岩材料起裂应力水平的影响。
1 试件制作与试验设计
1.1 试件制作
使用标号325的白水泥、细砂、自来水,依次按质量比1∶1∶0.42于室温下制作裂隙体试件,细砂经1.25 mm孔径的筛子筛分并用自来水洗净晾干,以消除夹泥的影响。
采用不锈钢模具制作类岩石试件,试件外形尺寸为200 mm×150 mm×50 mm(图1 ),α 为预制裂隙与水平方向夹角,箭头所示为加载方向,保证试样与上压头可以完全接触;采用预埋厚度为0.1 mm金属插片的方法预制贯通裂隙,裂隙长度为30 mm,在初凝时拔片,成型24 h后拆模,并检查裂隙贯通情况和表面的平整度,剔除破损和不合格试件。放入养护箱标准养护28 d后,用于加载试验。
图1
图1
裂隙试件实验模型
Fig.1
Test model of fractured specimens
裂隙倾角设置为0°,15°,30°,45°,60°,75°,90°以及完整试件共8组,加载速率采用位移控制,加载速率分别为0.005 mm/s,0.01 mm/s,0.02 mm/s,0.05 mm/s,对应应变加载速率分别为2.5×10-5 s-1 、5.0×10-5 s-1 、1.0×10-4 s-1 和2.0×10-4 s-1 共4级,前三级为静态加载,最后一级为准静态加载[7 ] ,每级加载速率下均有6组试件,共24批,试件共计192个。
1.2 试验仪器与加载条件
试验加载装置采用RMT-150B岩石力学试验机,试验过程由电脑控制,自动采集相关数据,使用高清数码相机对试件破坏过程进行记录。声发射信号采集采用DS5系列全信息声发射系统,该声发射仪器有8个通道,采样频率设定为2.5 MHz,其门槛值设为40 dB,前置放大器增益40 dB。传感器型号为RS-2A,频率范围为50~400 kHz,中心频率为150 kHz。在传感器与试件接触部位涂耦合剂,用透明胶带将传感器固定在试样表面,以保证二者的耦合效果。在试样与垫板之间放置橡胶垫片,以消除端部效应及噪声对声发射特征参数的影响。
2 试验结果及分析
2.1 裂隙体强度特征与规律
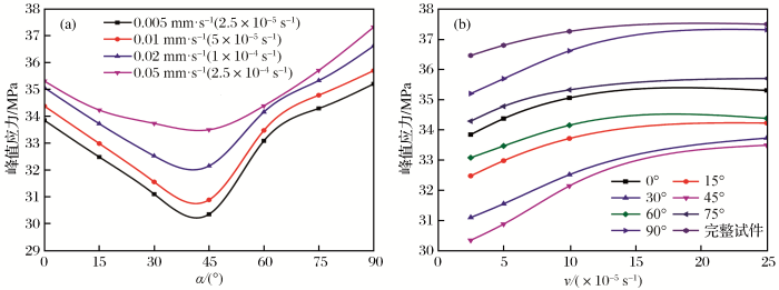
图2 (a)为不同加载速率下,裂隙体峰值应力与裂隙倾角的关系曲线。含裂隙类岩试件的峰值强度受裂隙倾角的影响:同一加载速率下,裂隙倾角为45°时,类岩试件的峰值强度最低。而文献[10 ]发现裂隙体峰值强度与裂隙倾角关系:当裂隙张开度为0.5 mm时,峰值强度在倾角为15°时最低。对比本文与文献[10 ]试验差异,笔者推测:预制裂隙张开度影响倾角对类岩体材料的弱化程度,2种张开度的峰值强度均随裂隙倾角整体呈现先减小后增大的趋势。
图2
图2
裂隙体峰值应力与倾角、加载速率的关系
(a) 裂隙体峰值应力与倾角的关系; (b) 裂隙体峰值应力与加载速率的关系
Fig.2
Relationship between the peak stress of the fractured body and the dip angle and loading rate
图2 (b)为裂隙体峰值强度与加载速率的关系曲线。试验结果显示:同一倾角的类岩石试件峰值强度随加载速率的增大而增大,相比其他倾角的类岩试件,完整试件峰值强度最高,90°次之。罗可等[10 ] 结合试验结果中裂隙体峰值应力与加载速率的曲线,推测可能存在一个临界加载速率,使得加载速率强化效应不再显著,即裂隙体强度达到一定值后增长基本停滞。准静态加载范围内,强度曲线基本趋近于水平,说明这个临界加载速率在准静态加载范围内。加载速率达到2.0×10-4 s-1 之后,峰值应力几乎不再随加载速率增大而发生波动,可推测这个临界加载速率在2.0×10-4 s-1 左右。
将峰值应力、裂隙倾角和加载速率三者关系使用标准查分算法进行拟合,得到如下关系式:
σ m = 33.47 - 0.86 l n ( v ) - α 2 1 - 0.26 l n ( v ) - 8 × α 3 (1)
式中:σ m 为峰值应力;α 为裂隙倾角;v 为加载速率。修正后的R 2 为0.975,方程拟合程度较好。
2.2 裂纹扩展声发射频域特征
本节以应力—应变关系曲线为背景,基于声发射波形提取岩石破裂全过程中声发射的频域特征参数。图3 所示为75°裂隙体在加载速率为0.05 mm/s条件下,声发射峰值频率及质心频率与加载时间的关系图。质心频率是组成信号的所有频率的重心,单位为kHz;峰值频率为组成信号的所有频率的正弦信号中最大峰值的正弦信号对应的频率,单位为kHz。图3 (a)显示:峰值频率主要集中在0~25 kHz,50~75 kHz,150~175 kHz这3个频段,只有少数的峰值频率超过175 kHz。而图3 (b)中质心频率并没有明显的分频段集中,质心频率基本处于50 kHz之上。加载初期,声发射信号未过门限值40 dB,声发射特征参数未采集到,进入裂隙体微裂纹压密阶段(OA段)后,微裂纹破裂开始产生高频声发射信号[23 ] ;应力应变曲线进入线弹性阶段(AB段)后,峰值频率集中在中低频,质心频率集中活跃;从微破裂稳定发展阶段(BC段)到非稳定破裂发展阶段(CD段)的过程中,声发射活动进入一段时间的平静期,信号的频率越来越低,只有质心频率含有极少数的高频信号,峰值频率几乎全部集中在中低频,这是由于此时的破裂多为大尺度破裂,小尺度破裂占比变少,而小尺度破裂会产生高频波;峰值应力过后(DE段),岩体形成宏观主破裂,破裂尺度越来越大,AE峰值频率及质心频率达到峰值。声发射活动急剧增加后突然下降或出现相对平静期,预示着岩体的破坏,可以将低频信号占比逐渐升高作为裂隙类岩试件失稳前兆信息[19 ] 。
图3
图3
裂隙体裂纹扩展声发射频域时变特征规律
(a) 声发射峰值频率与加载时间的关系图; (b) 质心频率与加载时间的关系图
Fig.3
Time-varying characteristics of acoustic emission in the fractured body
2.3 基于声发射的裂隙体起裂应力分析
图4 为加载速率为0.01 mm/s条件下0°裂隙试件应力、累计能量、能量率与到达时间的关系曲线。观察裂纹扩展录像,随着试件裂纹萌生,能量率的第一次明显的突增如图4 中的M 点对应的时间为裂纹起裂时刻,相对应的应力为裂纹起裂应力。因为起裂应力还包含有倾角和加载速率对试件破坏强度的影响,这个影响对不同倾角和加载速率试件影响又不同,所以引入起裂应力水平。单轴抗压强度为峰值应力σ m ,起裂应力水平为试样裂纹起裂应力σ i 与单轴抗压强度σ m 之比,即类岩石试件起裂应力水平W 可表示为
W = σ i σ m (2)
图4
图4
应力、累计能量、能量率与到达时间的关系曲线
Fig.4
Relation curves of stress,cumulative energy,energy rate and arrival time
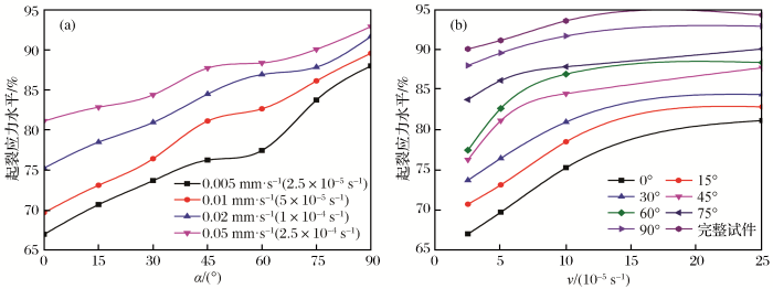
图5 分别为裂隙体起裂应力水平与裂纹倾角和加载速率的关系,由图5 (a)可以得出,裂隙体起裂应力水平随着预制裂隙倾角的增大大致呈现直线上升,裂隙倾角为0°时,类岩试件起裂应力水平最低,90°时起裂应力水平最大。加载速率为0.005 mm/s时,倾角为0°~90°的裂隙体起裂应力水平处于65%~85%之间,相差近20%,说明预制裂隙倾角对裂隙体的起裂应力水平产生了很大影响。倾角为0°的裂隙体在静态加载条件下,起裂应力水平大致处于70%左右,即峰值应力的约2/3处,随着倾角的增加,起裂应力水平也随之增加,在准静态加载条件下的倾角为90°的裂隙体起裂应力水平已超过90%,完整试样在静态—准静态加载范围内起裂应力水平已全部超过90%,即裂纹起裂后不久,试样随之很快便达到峰值破坏,呈现明显的脆性破坏。因而在实际工程中,当岩石起裂后,对裂隙倾斜程度越大的岩体工程要早做防护。
图5
图5
裂隙体起裂应力水平与倾角、加载速率的关系
(a) 裂隙体起裂应力水平与倾角的关系; (b) 裂隙体起裂应力水平与加载速度的关系
Fig.5
Relationship between the initiation stress level of the fractured body and the dip angle and loading rate
由图5 (b)可以看出,裂隙类岩石试件受载过程中的起裂应力水平存在明显的加载速率效应,起裂应力水平随加载速率的增大而增大,裂隙倾角为0°~90°的裂隙体起裂应力水平—加载速率曲线大致趋于平缓。在2.5 × 10 - 5 s - 1 、5.0 × 10 - 5 s - 1 加载速率下,完整砂岩起裂应力水平分别为90.57%和91.03%[12 ] ,完整类岩石试样起裂应力水平分别为90.08%和91.14%,2种试样起裂应力水平相近,说明试验的研究方法及结果具有一定的可靠性。在深埋硬岩条件下,开挖时当岩体的应力超过了围岩的起裂强度,围岩内部裂纹起裂并扩展,便引起隧洞周边频频出现板裂化。
3 结论
通过基于声发射的对含预置微裂隙的类岩试件进行4级(0.005 mm/s,0.01 mm/s,0.02 mm/s,0.05 mm/s)加载速率与7个(0°,15°,30°,45°,60°,75°,90°)裂隙倾角以及完整试件的单轴压缩试验,基于声发射特性分析了裂隙体全应力—应变关系曲线,峰值强度、频域特征和起裂应力水平等力学特征,得到如下结论:
(1)在相同加载速率下,含预置裂隙类岩石试件峰值强度呈现先减小后增大的趋势,裂隙倾角为45°时强度最低,90°岩石试件的峰值强度和破坏模式与完整试件差别不大。
(2)裂隙倾角相同时,类岩石试件的峰值强度随加载速率的增大而增大,峰后应力迅速下降,类岩石试件呈现脆性破坏,倾角不同,呈现出的脆性特征也不同。
(3)在准静态加载范围内存在一个临界加载速率即2.0×10-4
s-1 ,使得加载速率强化效应不再显著,即裂隙体强度达到一定值后增长基本停滞。
(4)岩石不同尺度的破裂对应不同的频域特征,AE峰值频率主要集中在0~25 kHz,50~75kHz,150~175 kHz这3个频段,只有极少数的峰值频率超过175 kHz。质心频率并没有明显的分频段集中,而是基本处于50 kHz之上,岩石破坏前声发射频率出现相对平静期,实现岩石破坏预警。
(5)相同加载条件下,裂隙体起裂应力水平随裂隙倾角的增大而增大;裂隙倾角相同时,裂隙体起裂应力水平随加载速率的增大而增大。在准静态加载条件下,倾角为90°的裂隙体起裂应力水平已超过90%,完整试样在静态—准静态加载范围内起裂应力水平已全部超过90%。
http://www.goldsci.ac.cn/article/2020/1005-2518/1005-2518-2020-28-6-877.shtml
参考文献
View Option
[1]
杨仕教 ,曾晟 ,王和龙 .加载速率对石灰岩力学效应的试验研究
[J].岩土工程学报 ,2005 ,27 (7 ):786 -788 .
[本文引用: 1]
Yang Shijiao ,Zeng Sheng ,Wang Helong ,et al . Experimental analysis on mechanical effects of loading rates on limestone
[J]. Chinese Journal of Geotechnical Engineering ,2005 ,27 (7 ):786 -788 .
[本文引用: 1]
[2]
宋义敏 ,形同振 ,邓琳琳 ,等 .不同加载速率下岩石变形场演化试验研究
[J].岩土力学 ,2017 ,38 (10 ):2773 -2788 .
[本文引用: 2]
Song Yimin ,Xing Tongzhen ,Deng Linlin ,et al . Experimental study of evolution characteristics of rock deformation field at different loading rates
[J]. Rock and Soil Mechanics ,2017 ,38 (10 ):2773 -2788 .
[本文引用: 2]
[3]
周喻 ,吴顺川 ,许学良 ,等 . 岩石破裂过程中声发射特性颗粒流分析
[J].岩石力学与工程学报 ,2013 ,32 (5 ):951 -959 .
[本文引用: 1]
Zhou Yu ,Wu Shunchuan ,Xu Xueliang ,et al .Particle flow analysis of acoustic emission characteristics during rock failure process
[J]. Chinese Journal of Rock Mechanics and Engineering ,2013 ,32 (5 ):951 -959 .
[本文引用: 1]
[4]
郑贵平 ,赵兴东 ,刘建坡 ,等 .岩石加载过程声波波速变化规律实验研究
[J].东北大学学报(自然科学版) ,2009 ,30 (8 ):1197 -1200 .
Zheng Guiping ,Zhao Xingdong ,Liu Jianpo ,et al . Experimental study on change in acoustic wave velocity when rock is loading
[J].Journal of Northeastern University( Natural Science) ,2009 ,30 (8 ):1197 -1200 .
[5]
徐小丽 ,陈琳 ,高峰 ,等 .花岗岩的加载速率效应及能量机制研究
[J].固体力学学报 ,2015 ,36 (2 ):154 -163 .
Xu Xiaoli ,Chen Lin ,Gao Feng ,et al . Studies on loading rate effects and energy mechanism of granite
[J].Chinese Journal of Solid Mechanics ,2015 ,36 (2 ):154 -163 .
[6]
周辉 ,杨艳霜 ,肖海斌 ,等 .硬脆性大理岩单轴抗拉强度特性的加载速率效应研究——试验特征与机制
[J].岩石力学与工程学报 ,2013 ,32 (9 ):1868 -1875 .
[本文引用: 1]
Zhou Hui ,Yang Yanshuang ,Xiao Haibin ,et al . Research on loading rate effect of tensile strength property of hard brittle marble—Test characteristics and mechanism
[J]. Chinese Journal of Rock Mechanics and Engineering ,2013 ,32 (9 ):1868 -1875 .
[本文引用: 1]
[7]
尹小涛 ,葛修润 ,李春光 ,等 .加载速率对岩石材料力学行为的影响
[J].岩石力学与工程学报 ,2010 ,29 (增1 ):2610 -2615 .
[本文引用: 2]
Yin Xiaotao ,Ge Xiurun ,Li Chunguang ,et al . Influences of loading rates on mechanical behaviors of rock materials
[J]. Chinese Journal of Rock Mechanics and Engineering ,2010 ,29 (Supp.1 ):2610 -2615 .
[本文引用: 2]
[8]
张学朋 ,蒋宇静 ,王刚 ,等 .基于颗粒离散元模型的不同加载速率下花岗岩数值试验研究
[J].岩土力学 ,2016 ,37 (9 ):2679 -2686 .
[本文引用: 1]
Zhang Xuepeng ,Jiang Yujing ,Wang Gang ,et al . Numerical experiments on rate-dependent behaviors of granite based on particle discrete element model
[J]. Rock and Soil Mechanics ,2016 ,37 (9 ):2679 -2686 .
[本文引用: 1]
[9]
姜耀东 ,李海涛 ,赵毅鑫 ,等 .加载速率对能量积聚与耗散的影响
[J].中国矿业大学学报 ,2014 ,43 (3 ):369 -373 .
[本文引用: 1]
Jiang Yaodong ,Li Haitao ,Zhao Yixin ,et al . Effect of loading rate on energy accumulation and dissipation in rocks
[J].Journal of China University of Mining and Technology ,2014 ,43 (3 ):369 -373 .
[本文引用: 1]
[10]
罗可 ,招国栋 ,曾佳君 ,等 .加载速率影响的含裂隙类岩石材料破断试验与数值模拟
[J].岩土力学与工程学报 ,2018 ,37 (8 ):1833 -1842 .
[本文引用: 4]
Luo Ke ,Zhao Guodong ,Zeng Jiajun ,et al . Fracture experiments and numerical simulation of cracked body in rock-like materials affected by loading rate
[J]. Chinese Journal of Rock Mechanics and Engineering ,2018 ,37 (8 ):1833 -1842 .
[本文引用: 4]
[11]
He M C ,Miao J L ,Feng J L . Rock burst process of limestone and its acoustic emission characteristics under true-triaxial unloading conditions
[J]. International Journal of Rock Mechanics and Mining Sciences ,2010 ,47 (2 ):286 -298 .
[本文引用: 1]
[12]
Li C ,Nordlund E .Experimental verification of the Kaiser effect in rocks
[J].Rock Mechanics and Rock Engineering ,1993 ,26 (4 ):333 -351 .
[本文引用: 2]
[13]
刘希灵 ,潘梦成 ,李夕兵 ,等 .动静加载条件下花岗岩声发射b值特征的研究
[J].岩石力学与工程学报 ,2017 ,36 (增1 ):3148 -3155 .
[本文引用: 2]
Liu Xiling ,Pan Mengcheng ,Li Xibing ,et al .Acoustic emission b-value characteristics of granite under dynamic loading and static loading
[J]. Chinese Journal of Rock Mechanics and Engineering ,2017 ,36 (Supp.1 ):3148 -3155 .
[本文引用: 2]
[14]
王笑然 ,王恩元 ,刘晓斐 ,等 .裂隙砂岩裂纹扩展声发射响应及速率效应研究
[J].岩石力学与工程学报 ,2018 ,37 (6 ):1146 -1458 .
[本文引用: 1]
Wang Xiaoran ,Wang Enyuan ,Liu Xiaofei ,et al . Macro-crack propagation process and corresponding AE behaviors of fractured sandstone under different loading rates
[J]. Chinese Journal of Rock Mechanics and Engineering ,2018 ,37 (6 ):1146 -1458 .
[本文引用: 1]
[15]
纪文栋 ,杨春和 ,姚院峰 ,等 .应变加载速率对盐岩力学性能的影响
[J].岩石力学与工程学报 ,2011 ,30 (12 ):2507 -2513 .
Ji Wendong ,Yang Chunhe ,Yao Yuanfeng ,et al . Effects of loading strain rate on mechanical performances of salt rock
[J]. Chinese Journal of Rock Mechanics and Engineering ,2011 ,30 (12 ):2507 -2513 .
[16]
彭冠英 ,许明 ,谢强 ,等 .基于岩石声发射信号的指数衰减型小波基构造
[J].岩土力学 ,2016 ,37 (7 ):1868 -1894 .
Peng Guanying ,Xu Ming ,Xie Qiang ,et al . Construction of exponential attenuation wavelet basis by characteristics of rock acoustic emission
[J]. Rock and Soil Mechanics ,2016 ,37 (7 ):1868 -1894 .
[17]
张孟举 ,赵伏军 ,陈珂 ,等 .不同加载速率下花岗岩破裂声发射试验研究
[J].矿业工程研究 ,2016 ,31 (4 ):8 -13 .
Zhang Mengju ,Zhao Fujun ,Chen Ke ,et al . On acoustic emission of granite’s failure under different loading rate
[J]. Mineral Engineering Research ,2016 ,31 (4 ):8 -13 .
[18]
周辉 ,孟凡震 ,卢景景 ,等 .硬岩裂纹起裂强度和损伤强度取值方法探讨
[J].岩土力学 ,2014 ,35 (4 ):913 -918 ,925 .
[本文引用: 1]
Zhou Hui ,Meng Fanzhen ,Lu Jingjing ,et al . Discussion on methods for calculating crack initiation strength and crack damage strength for hard rock
[J].Rock and Soil Mechanics ,2014 ,35 (4 ):913 -918 ,925 .
[本文引用: 1]
[19]
姚旭龙 ,张艳博 ,刘祥鑫 ,等 . 岩石破裂声发射关键特征信号优选方法
[J]. 岩土力学 ,2018 ,39 (1 ):375 - 384 .
[本文引用: 2]
Yao Xulong ,Zhang Yanbo ,Liu Xiangxin ,et al . Optimization method for key characteristic signal of acoustic emission in rock fracture
[J]. Rock and Soil Mechanics ,2018 ,39 (1 ):375 - 384 .
[本文引用: 2]
[20]
张栩栩 ,杨仕教 ,曾佳君 ,等 .含预制缺陷类岩体模型破断试验与分析
[J]. 黄金科学技术 ,2020 ,28 (2 ):255 -263 .
Zhang Xuxu ,Yang Shijiao ,Zeng Jiajun ,et al .Fracture test and analysis of rock-mass model with prefabricated defects
[J]. Gold Science and Technology ,2020 ,28 (2 ):255 -263 .
[21]
Yao X L ,Zhang Y B ,Liu X X ,et al . Optimization method for key characteristic signal of acoustic emission in rock fracture
[J].Rock and Soil Mechanics ,2018 ,39 (1 ):375 -384 .
[22]
Kong B ,Wang E Y ,Li Z H ,et al . Acoustic emission signals frequency-amplitude characteristics of sandstone after thermal treated under uniaxial compression
[J]. Journal of Applied Geophysics ,2017 ,136 :190 -197 .
[23]
冯春迪 ,黄仁东 .红砂岩中矿物颗粒的塑性应变分析
[J].黄金科学技术 ,2019 ,27 (4 ):557 -564 .
[本文引用: 1]
Feng Chundi ,Huang Rendong .Plastic strain analysis of mineral particles in red sandstone
[J].Gold Science and Technology ,2019 ,27 (4 ):557 -564 .
[本文引用: 1]
[24]
王进 ,宫凤强 .红砂岩单轴压缩试验的率效应研究
[J].黄金科学技术 ,2018 ,26 (1 ):56 -63 .
[本文引用: 1]
Wang Jin ,Gong Fengqiang .Study on rate effect of uniaxial compression test for red sandstone
[J].Gold Science and Technology ,2018 ,26 (1 ):56 -63 .
[本文引用: 1]
加载速率对石灰岩力学效应的试验研究
1
2005
... 岩石在受力变形时,其内部原生或新生微裂纹发生二次破裂时,向四周辐射瞬态弹性波的现象,称为声发射(Acoustic Emission,简称AE).岩体的破坏都是在一定的加载速率下,在工程实际中,不同的工程需要考虑的加载速率不同.加载速率是一个变化幅度很大的参数,有些地下工程如采矿的巷道和矿柱,变形增量很小,其力学性能却在量和质上都发生了变化[1 ] .在地铁、隧道等工程中,短时间、高强度开挖下产生的加载速率效应,是工程灾害发生的主要因素之一.随着需求的拓宽和研究的深入,开展与时间因素相关的加载速率力学效应研究,对岩体工程的安全防护与稳定性评价有着极为重要的意义[2 ] . ...
加载速率对石灰岩力学效应的试验研究
1
2005
... 岩石在受力变形时,其内部原生或新生微裂纹发生二次破裂时,向四周辐射瞬态弹性波的现象,称为声发射(Acoustic Emission,简称AE).岩体的破坏都是在一定的加载速率下,在工程实际中,不同的工程需要考虑的加载速率不同.加载速率是一个变化幅度很大的参数,有些地下工程如采矿的巷道和矿柱,变形增量很小,其力学性能却在量和质上都发生了变化[1 ] .在地铁、隧道等工程中,短时间、高强度开挖下产生的加载速率效应,是工程灾害发生的主要因素之一.随着需求的拓宽和研究的深入,开展与时间因素相关的加载速率力学效应研究,对岩体工程的安全防护与稳定性评价有着极为重要的意义[2 ] . ...
不同加载速率下岩石变形场演化试验研究
2
2017
... 岩石在受力变形时,其内部原生或新生微裂纹发生二次破裂时,向四周辐射瞬态弹性波的现象,称为声发射(Acoustic Emission,简称AE).岩体的破坏都是在一定的加载速率下,在工程实际中,不同的工程需要考虑的加载速率不同.加载速率是一个变化幅度很大的参数,有些地下工程如采矿的巷道和矿柱,变形增量很小,其力学性能却在量和质上都发生了变化[1 ] .在地铁、隧道等工程中,短时间、高强度开挖下产生的加载速率效应,是工程灾害发生的主要因素之一.随着需求的拓宽和研究的深入,开展与时间因素相关的加载速率力学效应研究,对岩体工程的安全防护与稳定性评价有着极为重要的意义[2 ] . ...
... 国内外学者基于理论分析,结合室内试验与PFC数值模拟技术对岩石断裂的加载速率效应及声发射特性开展了广泛的研究[3 -6 ] .尹小涛等[7 ] 通过设计不同加载速率数值试验,发现应变率越高,岩石的峰值强度越高,变形参数也越高;张学朋等[8 ] 基于颗粒离散元模型虚拟实现了岩石压缩试验和巴西劈裂试验,分析了加载速率对岩石应变能率及声发射规律的影响;姜耀东等[9 ] 研究了加载速率对能量积聚与耗散的影响;宋义敏等[2 ] 开展了不同加载速率下红砂岩变形场演化试验研究,分析了岩石变形局部化与加载速率的关系;罗可等[10 ] 通过对不同加载速率下含裂隙类岩材料的室内试验与数值模拟,分析了加载速率与预置裂隙倾角对岩体的影响; He等[11 ] 对8种岩石进行了测试,发现大多数岩石都具有Kaiser效应; Li等[12 ] 使用深部岩爆过程模拟系统,研究了真三轴卸载条件下石灰石岩爆的声发射波形和频率特性.刘希灵等[13 ] 基于声发射技术,在MTS322试验机和霍普金森试验系统(SHPB)上对花岗岩试样进行动静加载,结果显示岩石冲击荷载下声发射b值小于静载条件下,且b值随加载速率的增加而减小;王笑然等[14 ] 通过对裂隙砂岩裂纹扩展的声发射响应及速率效应的研究,发现起裂应力随加载速率的增大而增大. ...
不同加载速率下岩石变形场演化试验研究
2
2017
... 岩石在受力变形时,其内部原生或新生微裂纹发生二次破裂时,向四周辐射瞬态弹性波的现象,称为声发射(Acoustic Emission,简称AE).岩体的破坏都是在一定的加载速率下,在工程实际中,不同的工程需要考虑的加载速率不同.加载速率是一个变化幅度很大的参数,有些地下工程如采矿的巷道和矿柱,变形增量很小,其力学性能却在量和质上都发生了变化[1 ] .在地铁、隧道等工程中,短时间、高强度开挖下产生的加载速率效应,是工程灾害发生的主要因素之一.随着需求的拓宽和研究的深入,开展与时间因素相关的加载速率力学效应研究,对岩体工程的安全防护与稳定性评价有着极为重要的意义[2 ] . ...
... 国内外学者基于理论分析,结合室内试验与PFC数值模拟技术对岩石断裂的加载速率效应及声发射特性开展了广泛的研究[3 -6 ] .尹小涛等[7 ] 通过设计不同加载速率数值试验,发现应变率越高,岩石的峰值强度越高,变形参数也越高;张学朋等[8 ] 基于颗粒离散元模型虚拟实现了岩石压缩试验和巴西劈裂试验,分析了加载速率对岩石应变能率及声发射规律的影响;姜耀东等[9 ] 研究了加载速率对能量积聚与耗散的影响;宋义敏等[2 ] 开展了不同加载速率下红砂岩变形场演化试验研究,分析了岩石变形局部化与加载速率的关系;罗可等[10 ] 通过对不同加载速率下含裂隙类岩材料的室内试验与数值模拟,分析了加载速率与预置裂隙倾角对岩体的影响; He等[11 ] 对8种岩石进行了测试,发现大多数岩石都具有Kaiser效应; Li等[12 ] 使用深部岩爆过程模拟系统,研究了真三轴卸载条件下石灰石岩爆的声发射波形和频率特性.刘希灵等[13 ] 基于声发射技术,在MTS322试验机和霍普金森试验系统(SHPB)上对花岗岩试样进行动静加载,结果显示岩石冲击荷载下声发射b值小于静载条件下,且b值随加载速率的增加而减小;王笑然等[14 ] 通过对裂隙砂岩裂纹扩展的声发射响应及速率效应的研究,发现起裂应力随加载速率的增大而增大. ...
岩石破裂过程中声发射特性颗粒流分析
1
2013
... 国内外学者基于理论分析,结合室内试验与PFC数值模拟技术对岩石断裂的加载速率效应及声发射特性开展了广泛的研究[3 -6 ] .尹小涛等[7 ] 通过设计不同加载速率数值试验,发现应变率越高,岩石的峰值强度越高,变形参数也越高;张学朋等[8 ] 基于颗粒离散元模型虚拟实现了岩石压缩试验和巴西劈裂试验,分析了加载速率对岩石应变能率及声发射规律的影响;姜耀东等[9 ] 研究了加载速率对能量积聚与耗散的影响;宋义敏等[2 ] 开展了不同加载速率下红砂岩变形场演化试验研究,分析了岩石变形局部化与加载速率的关系;罗可等[10 ] 通过对不同加载速率下含裂隙类岩材料的室内试验与数值模拟,分析了加载速率与预置裂隙倾角对岩体的影响; He等[11 ] 对8种岩石进行了测试,发现大多数岩石都具有Kaiser效应; Li等[12 ] 使用深部岩爆过程模拟系统,研究了真三轴卸载条件下石灰石岩爆的声发射波形和频率特性.刘希灵等[13 ] 基于声发射技术,在MTS322试验机和霍普金森试验系统(SHPB)上对花岗岩试样进行动静加载,结果显示岩石冲击荷载下声发射b值小于静载条件下,且b值随加载速率的增加而减小;王笑然等[14 ] 通过对裂隙砂岩裂纹扩展的声发射响应及速率效应的研究,发现起裂应力随加载速率的增大而增大. ...
岩石破裂过程中声发射特性颗粒流分析
1
2013
... 国内外学者基于理论分析,结合室内试验与PFC数值模拟技术对岩石断裂的加载速率效应及声发射特性开展了广泛的研究[3 -6 ] .尹小涛等[7 ] 通过设计不同加载速率数值试验,发现应变率越高,岩石的峰值强度越高,变形参数也越高;张学朋等[8 ] 基于颗粒离散元模型虚拟实现了岩石压缩试验和巴西劈裂试验,分析了加载速率对岩石应变能率及声发射规律的影响;姜耀东等[9 ] 研究了加载速率对能量积聚与耗散的影响;宋义敏等[2 ] 开展了不同加载速率下红砂岩变形场演化试验研究,分析了岩石变形局部化与加载速率的关系;罗可等[10 ] 通过对不同加载速率下含裂隙类岩材料的室内试验与数值模拟,分析了加载速率与预置裂隙倾角对岩体的影响; He等[11 ] 对8种岩石进行了测试,发现大多数岩石都具有Kaiser效应; Li等[12 ] 使用深部岩爆过程模拟系统,研究了真三轴卸载条件下石灰石岩爆的声发射波形和频率特性.刘希灵等[13 ] 基于声发射技术,在MTS322试验机和霍普金森试验系统(SHPB)上对花岗岩试样进行动静加载,结果显示岩石冲击荷载下声发射b值小于静载条件下,且b值随加载速率的增加而减小;王笑然等[14 ] 通过对裂隙砂岩裂纹扩展的声发射响应及速率效应的研究,发现起裂应力随加载速率的增大而增大. ...
岩石加载过程声波波速变化规律实验研究
0
2009
岩石加载过程声波波速变化规律实验研究
0
2009
硬脆性大理岩单轴抗拉强度特性的加载速率效应研究——试验特征与机制
1
2013
... 国内外学者基于理论分析,结合室内试验与PFC数值模拟技术对岩石断裂的加载速率效应及声发射特性开展了广泛的研究[3 -6 ] .尹小涛等[7 ] 通过设计不同加载速率数值试验,发现应变率越高,岩石的峰值强度越高,变形参数也越高;张学朋等[8 ] 基于颗粒离散元模型虚拟实现了岩石压缩试验和巴西劈裂试验,分析了加载速率对岩石应变能率及声发射规律的影响;姜耀东等[9 ] 研究了加载速率对能量积聚与耗散的影响;宋义敏等[2 ] 开展了不同加载速率下红砂岩变形场演化试验研究,分析了岩石变形局部化与加载速率的关系;罗可等[10 ] 通过对不同加载速率下含裂隙类岩材料的室内试验与数值模拟,分析了加载速率与预置裂隙倾角对岩体的影响; He等[11 ] 对8种岩石进行了测试,发现大多数岩石都具有Kaiser效应; Li等[12 ] 使用深部岩爆过程模拟系统,研究了真三轴卸载条件下石灰石岩爆的声发射波形和频率特性.刘希灵等[13 ] 基于声发射技术,在MTS322试验机和霍普金森试验系统(SHPB)上对花岗岩试样进行动静加载,结果显示岩石冲击荷载下声发射b值小于静载条件下,且b值随加载速率的增加而减小;王笑然等[14 ] 通过对裂隙砂岩裂纹扩展的声发射响应及速率效应的研究,发现起裂应力随加载速率的增大而增大. ...
硬脆性大理岩单轴抗拉强度特性的加载速率效应研究——试验特征与机制
1
2013
... 国内外学者基于理论分析,结合室内试验与PFC数值模拟技术对岩石断裂的加载速率效应及声发射特性开展了广泛的研究[3 -6 ] .尹小涛等[7 ] 通过设计不同加载速率数值试验,发现应变率越高,岩石的峰值强度越高,变形参数也越高;张学朋等[8 ] 基于颗粒离散元模型虚拟实现了岩石压缩试验和巴西劈裂试验,分析了加载速率对岩石应变能率及声发射规律的影响;姜耀东等[9 ] 研究了加载速率对能量积聚与耗散的影响;宋义敏等[2 ] 开展了不同加载速率下红砂岩变形场演化试验研究,分析了岩石变形局部化与加载速率的关系;罗可等[10 ] 通过对不同加载速率下含裂隙类岩材料的室内试验与数值模拟,分析了加载速率与预置裂隙倾角对岩体的影响; He等[11 ] 对8种岩石进行了测试,发现大多数岩石都具有Kaiser效应; Li等[12 ] 使用深部岩爆过程模拟系统,研究了真三轴卸载条件下石灰石岩爆的声发射波形和频率特性.刘希灵等[13 ] 基于声发射技术,在MTS322试验机和霍普金森试验系统(SHPB)上对花岗岩试样进行动静加载,结果显示岩石冲击荷载下声发射b值小于静载条件下,且b值随加载速率的增加而减小;王笑然等[14 ] 通过对裂隙砂岩裂纹扩展的声发射响应及速率效应的研究,发现起裂应力随加载速率的增大而增大. ...
加载速率对岩石材料力学行为的影响
2
2010
... 国内外学者基于理论分析,结合室内试验与PFC数值模拟技术对岩石断裂的加载速率效应及声发射特性开展了广泛的研究[3 -6 ] .尹小涛等[7 ] 通过设计不同加载速率数值试验,发现应变率越高,岩石的峰值强度越高,变形参数也越高;张学朋等[8 ] 基于颗粒离散元模型虚拟实现了岩石压缩试验和巴西劈裂试验,分析了加载速率对岩石应变能率及声发射规律的影响;姜耀东等[9 ] 研究了加载速率对能量积聚与耗散的影响;宋义敏等[2 ] 开展了不同加载速率下红砂岩变形场演化试验研究,分析了岩石变形局部化与加载速率的关系;罗可等[10 ] 通过对不同加载速率下含裂隙类岩材料的室内试验与数值模拟,分析了加载速率与预置裂隙倾角对岩体的影响; He等[11 ] 对8种岩石进行了测试,发现大多数岩石都具有Kaiser效应; Li等[12 ] 使用深部岩爆过程模拟系统,研究了真三轴卸载条件下石灰石岩爆的声发射波形和频率特性.刘希灵等[13 ] 基于声发射技术,在MTS322试验机和霍普金森试验系统(SHPB)上对花岗岩试样进行动静加载,结果显示岩石冲击荷载下声发射b值小于静载条件下,且b值随加载速率的增加而减小;王笑然等[14 ] 通过对裂隙砂岩裂纹扩展的声发射响应及速率效应的研究,发现起裂应力随加载速率的增大而增大. ...
... 裂隙倾角设置为0°,15°,30°,45°,60°,75°,90°以及完整试件共8组,加载速率采用位移控制,加载速率分别为0.005 mm/s,0.01 mm/s,0.02 mm/s,0.05 mm/s,对应应变加载速率分别为2.5×10-5 s-1 、5.0×10-5 s-1 、1.0×10-4 s-1 和2.0×10-4 s-1 共4级,前三级为静态加载,最后一级为准静态加载[7 ] ,每级加载速率下均有6组试件,共24批,试件共计192个. ...
加载速率对岩石材料力学行为的影响
2
2010
... 国内外学者基于理论分析,结合室内试验与PFC数值模拟技术对岩石断裂的加载速率效应及声发射特性开展了广泛的研究[3 -6 ] .尹小涛等[7 ] 通过设计不同加载速率数值试验,发现应变率越高,岩石的峰值强度越高,变形参数也越高;张学朋等[8 ] 基于颗粒离散元模型虚拟实现了岩石压缩试验和巴西劈裂试验,分析了加载速率对岩石应变能率及声发射规律的影响;姜耀东等[9 ] 研究了加载速率对能量积聚与耗散的影响;宋义敏等[2 ] 开展了不同加载速率下红砂岩变形场演化试验研究,分析了岩石变形局部化与加载速率的关系;罗可等[10 ] 通过对不同加载速率下含裂隙类岩材料的室内试验与数值模拟,分析了加载速率与预置裂隙倾角对岩体的影响; He等[11 ] 对8种岩石进行了测试,发现大多数岩石都具有Kaiser效应; Li等[12 ] 使用深部岩爆过程模拟系统,研究了真三轴卸载条件下石灰石岩爆的声发射波形和频率特性.刘希灵等[13 ] 基于声发射技术,在MTS322试验机和霍普金森试验系统(SHPB)上对花岗岩试样进行动静加载,结果显示岩石冲击荷载下声发射b值小于静载条件下,且b值随加载速率的增加而减小;王笑然等[14 ] 通过对裂隙砂岩裂纹扩展的声发射响应及速率效应的研究,发现起裂应力随加载速率的增大而增大. ...
... 裂隙倾角设置为0°,15°,30°,45°,60°,75°,90°以及完整试件共8组,加载速率采用位移控制,加载速率分别为0.005 mm/s,0.01 mm/s,0.02 mm/s,0.05 mm/s,对应应变加载速率分别为2.5×10-5 s-1 、5.0×10-5 s-1 、1.0×10-4 s-1 和2.0×10-4 s-1 共4级,前三级为静态加载,最后一级为准静态加载[7 ] ,每级加载速率下均有6组试件,共24批,试件共计192个. ...
基于颗粒离散元模型的不同加载速率下花岗岩数值试验研究
1
2016
... 国内外学者基于理论分析,结合室内试验与PFC数值模拟技术对岩石断裂的加载速率效应及声发射特性开展了广泛的研究[3 -6 ] .尹小涛等[7 ] 通过设计不同加载速率数值试验,发现应变率越高,岩石的峰值强度越高,变形参数也越高;张学朋等[8 ] 基于颗粒离散元模型虚拟实现了岩石压缩试验和巴西劈裂试验,分析了加载速率对岩石应变能率及声发射规律的影响;姜耀东等[9 ] 研究了加载速率对能量积聚与耗散的影响;宋义敏等[2 ] 开展了不同加载速率下红砂岩变形场演化试验研究,分析了岩石变形局部化与加载速率的关系;罗可等[10 ] 通过对不同加载速率下含裂隙类岩材料的室内试验与数值模拟,分析了加载速率与预置裂隙倾角对岩体的影响; He等[11 ] 对8种岩石进行了测试,发现大多数岩石都具有Kaiser效应; Li等[12 ] 使用深部岩爆过程模拟系统,研究了真三轴卸载条件下石灰石岩爆的声发射波形和频率特性.刘希灵等[13 ] 基于声发射技术,在MTS322试验机和霍普金森试验系统(SHPB)上对花岗岩试样进行动静加载,结果显示岩石冲击荷载下声发射b值小于静载条件下,且b值随加载速率的增加而减小;王笑然等[14 ] 通过对裂隙砂岩裂纹扩展的声发射响应及速率效应的研究,发现起裂应力随加载速率的增大而增大. ...
基于颗粒离散元模型的不同加载速率下花岗岩数值试验研究
1
2016
... 国内外学者基于理论分析,结合室内试验与PFC数值模拟技术对岩石断裂的加载速率效应及声发射特性开展了广泛的研究[3 -6 ] .尹小涛等[7 ] 通过设计不同加载速率数值试验,发现应变率越高,岩石的峰值强度越高,变形参数也越高;张学朋等[8 ] 基于颗粒离散元模型虚拟实现了岩石压缩试验和巴西劈裂试验,分析了加载速率对岩石应变能率及声发射规律的影响;姜耀东等[9 ] 研究了加载速率对能量积聚与耗散的影响;宋义敏等[2 ] 开展了不同加载速率下红砂岩变形场演化试验研究,分析了岩石变形局部化与加载速率的关系;罗可等[10 ] 通过对不同加载速率下含裂隙类岩材料的室内试验与数值模拟,分析了加载速率与预置裂隙倾角对岩体的影响; He等[11 ] 对8种岩石进行了测试,发现大多数岩石都具有Kaiser效应; Li等[12 ] 使用深部岩爆过程模拟系统,研究了真三轴卸载条件下石灰石岩爆的声发射波形和频率特性.刘希灵等[13 ] 基于声发射技术,在MTS322试验机和霍普金森试验系统(SHPB)上对花岗岩试样进行动静加载,结果显示岩石冲击荷载下声发射b值小于静载条件下,且b值随加载速率的增加而减小;王笑然等[14 ] 通过对裂隙砂岩裂纹扩展的声发射响应及速率效应的研究,发现起裂应力随加载速率的增大而增大. ...
加载速率对能量积聚与耗散的影响
1
2014
... 国内外学者基于理论分析,结合室内试验与PFC数值模拟技术对岩石断裂的加载速率效应及声发射特性开展了广泛的研究[3 -6 ] .尹小涛等[7 ] 通过设计不同加载速率数值试验,发现应变率越高,岩石的峰值强度越高,变形参数也越高;张学朋等[8 ] 基于颗粒离散元模型虚拟实现了岩石压缩试验和巴西劈裂试验,分析了加载速率对岩石应变能率及声发射规律的影响;姜耀东等[9 ] 研究了加载速率对能量积聚与耗散的影响;宋义敏等[2 ] 开展了不同加载速率下红砂岩变形场演化试验研究,分析了岩石变形局部化与加载速率的关系;罗可等[10 ] 通过对不同加载速率下含裂隙类岩材料的室内试验与数值模拟,分析了加载速率与预置裂隙倾角对岩体的影响; He等[11 ] 对8种岩石进行了测试,发现大多数岩石都具有Kaiser效应; Li等[12 ] 使用深部岩爆过程模拟系统,研究了真三轴卸载条件下石灰石岩爆的声发射波形和频率特性.刘希灵等[13 ] 基于声发射技术,在MTS322试验机和霍普金森试验系统(SHPB)上对花岗岩试样进行动静加载,结果显示岩石冲击荷载下声发射b值小于静载条件下,且b值随加载速率的增加而减小;王笑然等[14 ] 通过对裂隙砂岩裂纹扩展的声发射响应及速率效应的研究,发现起裂应力随加载速率的增大而增大. ...
加载速率对能量积聚与耗散的影响
1
2014
... 国内外学者基于理论分析,结合室内试验与PFC数值模拟技术对岩石断裂的加载速率效应及声发射特性开展了广泛的研究[3 -6 ] .尹小涛等[7 ] 通过设计不同加载速率数值试验,发现应变率越高,岩石的峰值强度越高,变形参数也越高;张学朋等[8 ] 基于颗粒离散元模型虚拟实现了岩石压缩试验和巴西劈裂试验,分析了加载速率对岩石应变能率及声发射规律的影响;姜耀东等[9 ] 研究了加载速率对能量积聚与耗散的影响;宋义敏等[2 ] 开展了不同加载速率下红砂岩变形场演化试验研究,分析了岩石变形局部化与加载速率的关系;罗可等[10 ] 通过对不同加载速率下含裂隙类岩材料的室内试验与数值模拟,分析了加载速率与预置裂隙倾角对岩体的影响; He等[11 ] 对8种岩石进行了测试,发现大多数岩石都具有Kaiser效应; Li等[12 ] 使用深部岩爆过程模拟系统,研究了真三轴卸载条件下石灰石岩爆的声发射波形和频率特性.刘希灵等[13 ] 基于声发射技术,在MTS322试验机和霍普金森试验系统(SHPB)上对花岗岩试样进行动静加载,结果显示岩石冲击荷载下声发射b值小于静载条件下,且b值随加载速率的增加而减小;王笑然等[14 ] 通过对裂隙砂岩裂纹扩展的声发射响应及速率效应的研究,发现起裂应力随加载速率的增大而增大. ...
加载速率影响的含裂隙类岩石材料破断试验与数值模拟
4
2018
... 国内外学者基于理论分析,结合室内试验与PFC数值模拟技术对岩石断裂的加载速率效应及声发射特性开展了广泛的研究[3 -6 ] .尹小涛等[7 ] 通过设计不同加载速率数值试验,发现应变率越高,岩石的峰值强度越高,变形参数也越高;张学朋等[8 ] 基于颗粒离散元模型虚拟实现了岩石压缩试验和巴西劈裂试验,分析了加载速率对岩石应变能率及声发射规律的影响;姜耀东等[9 ] 研究了加载速率对能量积聚与耗散的影响;宋义敏等[2 ] 开展了不同加载速率下红砂岩变形场演化试验研究,分析了岩石变形局部化与加载速率的关系;罗可等[10 ] 通过对不同加载速率下含裂隙类岩材料的室内试验与数值模拟,分析了加载速率与预置裂隙倾角对岩体的影响; He等[11 ] 对8种岩石进行了测试,发现大多数岩石都具有Kaiser效应; Li等[12 ] 使用深部岩爆过程模拟系统,研究了真三轴卸载条件下石灰石岩爆的声发射波形和频率特性.刘希灵等[13 ] 基于声发射技术,在MTS322试验机和霍普金森试验系统(SHPB)上对花岗岩试样进行动静加载,结果显示岩石冲击荷载下声发射b值小于静载条件下,且b值随加载速率的增加而减小;王笑然等[14 ] 通过对裂隙砂岩裂纹扩展的声发射响应及速率效应的研究,发现起裂应力随加载速率的增大而增大. ...
... 图2 (a)为不同加载速率下,裂隙体峰值应力与裂隙倾角的关系曲线.含裂隙类岩试件的峰值强度受裂隙倾角的影响:同一加载速率下,裂隙倾角为45°时,类岩试件的峰值强度最低.而文献[10 ]发现裂隙体峰值强度与裂隙倾角关系:当裂隙张开度为0.5 mm时,峰值强度在倾角为15°时最低.对比本文与文献[10 ]试验差异,笔者推测:预制裂隙张开度影响倾角对类岩体材料的弱化程度,2种张开度的峰值强度均随裂隙倾角整体呈现先减小后增大的趋势. ...
... ]发现裂隙体峰值强度与裂隙倾角关系:当裂隙张开度为0.5 mm时,峰值强度在倾角为15°时最低.对比本文与文献[10 ]试验差异,笔者推测:预制裂隙张开度影响倾角对类岩体材料的弱化程度,2种张开度的峰值强度均随裂隙倾角整体呈现先减小后增大的趋势. ...
... 图2 (b)为裂隙体峰值强度与加载速率的关系曲线.试验结果显示:同一倾角的类岩石试件峰值强度随加载速率的增大而增大,相比其他倾角的类岩试件,完整试件峰值强度最高,90°次之.罗可等[10 ] 结合试验结果中裂隙体峰值应力与加载速率的曲线,推测可能存在一个临界加载速率,使得加载速率强化效应不再显著,即裂隙体强度达到一定值后增长基本停滞.准静态加载范围内,强度曲线基本趋近于水平,说明这个临界加载速率在准静态加载范围内.加载速率达到2.0×10-4 s-1 之后,峰值应力几乎不再随加载速率增大而发生波动,可推测这个临界加载速率在2.0×10-4 s-1 左右. ...
加载速率影响的含裂隙类岩石材料破断试验与数值模拟
4
2018
... 国内外学者基于理论分析,结合室内试验与PFC数值模拟技术对岩石断裂的加载速率效应及声发射特性开展了广泛的研究[3 -6 ] .尹小涛等[7 ] 通过设计不同加载速率数值试验,发现应变率越高,岩石的峰值强度越高,变形参数也越高;张学朋等[8 ] 基于颗粒离散元模型虚拟实现了岩石压缩试验和巴西劈裂试验,分析了加载速率对岩石应变能率及声发射规律的影响;姜耀东等[9 ] 研究了加载速率对能量积聚与耗散的影响;宋义敏等[2 ] 开展了不同加载速率下红砂岩变形场演化试验研究,分析了岩石变形局部化与加载速率的关系;罗可等[10 ] 通过对不同加载速率下含裂隙类岩材料的室内试验与数值模拟,分析了加载速率与预置裂隙倾角对岩体的影响; He等[11 ] 对8种岩石进行了测试,发现大多数岩石都具有Kaiser效应; Li等[12 ] 使用深部岩爆过程模拟系统,研究了真三轴卸载条件下石灰石岩爆的声发射波形和频率特性.刘希灵等[13 ] 基于声发射技术,在MTS322试验机和霍普金森试验系统(SHPB)上对花岗岩试样进行动静加载,结果显示岩石冲击荷载下声发射b值小于静载条件下,且b值随加载速率的增加而减小;王笑然等[14 ] 通过对裂隙砂岩裂纹扩展的声发射响应及速率效应的研究,发现起裂应力随加载速率的增大而增大. ...
... 图2 (a)为不同加载速率下,裂隙体峰值应力与裂隙倾角的关系曲线.含裂隙类岩试件的峰值强度受裂隙倾角的影响:同一加载速率下,裂隙倾角为45°时,类岩试件的峰值强度最低.而文献[10 ]发现裂隙体峰值强度与裂隙倾角关系:当裂隙张开度为0.5 mm时,峰值强度在倾角为15°时最低.对比本文与文献[10 ]试验差异,笔者推测:预制裂隙张开度影响倾角对类岩体材料的弱化程度,2种张开度的峰值强度均随裂隙倾角整体呈现先减小后增大的趋势. ...
... ]发现裂隙体峰值强度与裂隙倾角关系:当裂隙张开度为0.5 mm时,峰值强度在倾角为15°时最低.对比本文与文献[10 ]试验差异,笔者推测:预制裂隙张开度影响倾角对类岩体材料的弱化程度,2种张开度的峰值强度均随裂隙倾角整体呈现先减小后增大的趋势. ...
... 图2 (b)为裂隙体峰值强度与加载速率的关系曲线.试验结果显示:同一倾角的类岩石试件峰值强度随加载速率的增大而增大,相比其他倾角的类岩试件,完整试件峰值强度最高,90°次之.罗可等[10 ] 结合试验结果中裂隙体峰值应力与加载速率的曲线,推测可能存在一个临界加载速率,使得加载速率强化效应不再显著,即裂隙体强度达到一定值后增长基本停滞.准静态加载范围内,强度曲线基本趋近于水平,说明这个临界加载速率在准静态加载范围内.加载速率达到2.0×10-4 s-1 之后,峰值应力几乎不再随加载速率增大而发生波动,可推测这个临界加载速率在2.0×10-4 s-1 左右. ...
Rock burst process of limestone and its acoustic emission characteristics under true-triaxial unloading conditions
1
2010
... 国内外学者基于理论分析,结合室内试验与PFC数值模拟技术对岩石断裂的加载速率效应及声发射特性开展了广泛的研究[3 -6 ] .尹小涛等[7 ] 通过设计不同加载速率数值试验,发现应变率越高,岩石的峰值强度越高,变形参数也越高;张学朋等[8 ] 基于颗粒离散元模型虚拟实现了岩石压缩试验和巴西劈裂试验,分析了加载速率对岩石应变能率及声发射规律的影响;姜耀东等[9 ] 研究了加载速率对能量积聚与耗散的影响;宋义敏等[2 ] 开展了不同加载速率下红砂岩变形场演化试验研究,分析了岩石变形局部化与加载速率的关系;罗可等[10 ] 通过对不同加载速率下含裂隙类岩材料的室内试验与数值模拟,分析了加载速率与预置裂隙倾角对岩体的影响; He等[11 ] 对8种岩石进行了测试,发现大多数岩石都具有Kaiser效应; Li等[12 ] 使用深部岩爆过程模拟系统,研究了真三轴卸载条件下石灰石岩爆的声发射波形和频率特性.刘希灵等[13 ] 基于声发射技术,在MTS322试验机和霍普金森试验系统(SHPB)上对花岗岩试样进行动静加载,结果显示岩石冲击荷载下声发射b值小于静载条件下,且b值随加载速率的增加而减小;王笑然等[14 ] 通过对裂隙砂岩裂纹扩展的声发射响应及速率效应的研究,发现起裂应力随加载速率的增大而增大. ...
Experimental verification of the Kaiser effect in rocks
2
1993
... 国内外学者基于理论分析,结合室内试验与PFC数值模拟技术对岩石断裂的加载速率效应及声发射特性开展了广泛的研究[3 -6 ] .尹小涛等[7 ] 通过设计不同加载速率数值试验,发现应变率越高,岩石的峰值强度越高,变形参数也越高;张学朋等[8 ] 基于颗粒离散元模型虚拟实现了岩石压缩试验和巴西劈裂试验,分析了加载速率对岩石应变能率及声发射规律的影响;姜耀东等[9 ] 研究了加载速率对能量积聚与耗散的影响;宋义敏等[2 ] 开展了不同加载速率下红砂岩变形场演化试验研究,分析了岩石变形局部化与加载速率的关系;罗可等[10 ] 通过对不同加载速率下含裂隙类岩材料的室内试验与数值模拟,分析了加载速率与预置裂隙倾角对岩体的影响; He等[11 ] 对8种岩石进行了测试,发现大多数岩石都具有Kaiser效应; Li等[12 ] 使用深部岩爆过程模拟系统,研究了真三轴卸载条件下石灰石岩爆的声发射波形和频率特性.刘希灵等[13 ] 基于声发射技术,在MTS322试验机和霍普金森试验系统(SHPB)上对花岗岩试样进行动静加载,结果显示岩石冲击荷载下声发射b值小于静载条件下,且b值随加载速率的增加而减小;王笑然等[14 ] 通过对裂隙砂岩裂纹扩展的声发射响应及速率效应的研究,发现起裂应力随加载速率的增大而增大. ...
... 由图5 (b)可以看出,裂隙类岩石试件受载过程中的起裂应力水平存在明显的加载速率效应,起裂应力水平随加载速率的增大而增大,裂隙倾角为0°~90°的裂隙体起裂应力水平—加载速率曲线大致趋于平缓.在2.5 × 10 - 5 s - 1 、5.0 × 10 - 5 s - 1 加载速率下,完整砂岩起裂应力水平分别为90.57%和91.03%[12 ] ,完整类岩石试样起裂应力水平分别为90.08%和91.14%,2种试样起裂应力水平相近,说明试验的研究方法及结果具有一定的可靠性.在深埋硬岩条件下,开挖时当岩体的应力超过了围岩的起裂强度,围岩内部裂纹起裂并扩展,便引起隧洞周边频频出现板裂化. ...
动静加载条件下花岗岩声发射b值特征的研究
2
2017
... 国内外学者基于理论分析,结合室内试验与PFC数值模拟技术对岩石断裂的加载速率效应及声发射特性开展了广泛的研究[3 -6 ] .尹小涛等[7 ] 通过设计不同加载速率数值试验,发现应变率越高,岩石的峰值强度越高,变形参数也越高;张学朋等[8 ] 基于颗粒离散元模型虚拟实现了岩石压缩试验和巴西劈裂试验,分析了加载速率对岩石应变能率及声发射规律的影响;姜耀东等[9 ] 研究了加载速率对能量积聚与耗散的影响;宋义敏等[2 ] 开展了不同加载速率下红砂岩变形场演化试验研究,分析了岩石变形局部化与加载速率的关系;罗可等[10 ] 通过对不同加载速率下含裂隙类岩材料的室内试验与数值模拟,分析了加载速率与预置裂隙倾角对岩体的影响; He等[11 ] 对8种岩石进行了测试,发现大多数岩石都具有Kaiser效应; Li等[12 ] 使用深部岩爆过程模拟系统,研究了真三轴卸载条件下石灰石岩爆的声发射波形和频率特性.刘希灵等[13 ] 基于声发射技术,在MTS322试验机和霍普金森试验系统(SHPB)上对花岗岩试样进行动静加载,结果显示岩石冲击荷载下声发射b值小于静载条件下,且b值随加载速率的增加而减小;王笑然等[14 ] 通过对裂隙砂岩裂纹扩展的声发射响应及速率效应的研究,发现起裂应力随加载速率的增大而增大. ...
... 虽然前人对岩石加载速率和声发射进行了大量的试验和理论研究工作[13 -18 ] ,但就不同加载速率和不同裂隙倾角复合作用下的岩石断裂声发射特性的研究还相对较少,目前对岩石加载速率效应的研究多是关于纯静态加载速率下的岩石特性[19 -24 ] ,极少从静态到准静态加载速率来研究岩石特性,而实际工程中的加载类型不仅有静态加载.本文借助于声发射设备,利用伺服控制试验机对含不同倾角的预制裂隙类岩试件进行从静态到准静态不同加载速率室内加载试验,确定了使类岩材料加载速率效应不再明显的临界加载速率,分析了裂纹扩展的声发射频域特征,通过分析声发射特征参数,研究加载速率和裂隙倾角对类岩材料起裂应力水平的影响. ...
动静加载条件下花岗岩声发射b值特征的研究
2
2017
... 国内外学者基于理论分析,结合室内试验与PFC数值模拟技术对岩石断裂的加载速率效应及声发射特性开展了广泛的研究[3 -6 ] .尹小涛等[7 ] 通过设计不同加载速率数值试验,发现应变率越高,岩石的峰值强度越高,变形参数也越高;张学朋等[8 ] 基于颗粒离散元模型虚拟实现了岩石压缩试验和巴西劈裂试验,分析了加载速率对岩石应变能率及声发射规律的影响;姜耀东等[9 ] 研究了加载速率对能量积聚与耗散的影响;宋义敏等[2 ] 开展了不同加载速率下红砂岩变形场演化试验研究,分析了岩石变形局部化与加载速率的关系;罗可等[10 ] 通过对不同加载速率下含裂隙类岩材料的室内试验与数值模拟,分析了加载速率与预置裂隙倾角对岩体的影响; He等[11 ] 对8种岩石进行了测试,发现大多数岩石都具有Kaiser效应; Li等[12 ] 使用深部岩爆过程模拟系统,研究了真三轴卸载条件下石灰石岩爆的声发射波形和频率特性.刘希灵等[13 ] 基于声发射技术,在MTS322试验机和霍普金森试验系统(SHPB)上对花岗岩试样进行动静加载,结果显示岩石冲击荷载下声发射b值小于静载条件下,且b值随加载速率的增加而减小;王笑然等[14 ] 通过对裂隙砂岩裂纹扩展的声发射响应及速率效应的研究,发现起裂应力随加载速率的增大而增大. ...
... 虽然前人对岩石加载速率和声发射进行了大量的试验和理论研究工作[13 -18 ] ,但就不同加载速率和不同裂隙倾角复合作用下的岩石断裂声发射特性的研究还相对较少,目前对岩石加载速率效应的研究多是关于纯静态加载速率下的岩石特性[19 -24 ] ,极少从静态到准静态加载速率来研究岩石特性,而实际工程中的加载类型不仅有静态加载.本文借助于声发射设备,利用伺服控制试验机对含不同倾角的预制裂隙类岩试件进行从静态到准静态不同加载速率室内加载试验,确定了使类岩材料加载速率效应不再明显的临界加载速率,分析了裂纹扩展的声发射频域特征,通过分析声发射特征参数,研究加载速率和裂隙倾角对类岩材料起裂应力水平的影响. ...
裂隙砂岩裂纹扩展声发射响应及速率效应研究
1
2018
... 国内外学者基于理论分析,结合室内试验与PFC数值模拟技术对岩石断裂的加载速率效应及声发射特性开展了广泛的研究[3 -6 ] .尹小涛等[7 ] 通过设计不同加载速率数值试验,发现应变率越高,岩石的峰值强度越高,变形参数也越高;张学朋等[8 ] 基于颗粒离散元模型虚拟实现了岩石压缩试验和巴西劈裂试验,分析了加载速率对岩石应变能率及声发射规律的影响;姜耀东等[9 ] 研究了加载速率对能量积聚与耗散的影响;宋义敏等[2 ] 开展了不同加载速率下红砂岩变形场演化试验研究,分析了岩石变形局部化与加载速率的关系;罗可等[10 ] 通过对不同加载速率下含裂隙类岩材料的室内试验与数值模拟,分析了加载速率与预置裂隙倾角对岩体的影响; He等[11 ] 对8种岩石进行了测试,发现大多数岩石都具有Kaiser效应; Li等[12 ] 使用深部岩爆过程模拟系统,研究了真三轴卸载条件下石灰石岩爆的声发射波形和频率特性.刘希灵等[13 ] 基于声发射技术,在MTS322试验机和霍普金森试验系统(SHPB)上对花岗岩试样进行动静加载,结果显示岩石冲击荷载下声发射b值小于静载条件下,且b值随加载速率的增加而减小;王笑然等[14 ] 通过对裂隙砂岩裂纹扩展的声发射响应及速率效应的研究,发现起裂应力随加载速率的增大而增大. ...
裂隙砂岩裂纹扩展声发射响应及速率效应研究
1
2018
... 国内外学者基于理论分析,结合室内试验与PFC数值模拟技术对岩石断裂的加载速率效应及声发射特性开展了广泛的研究[3 -6 ] .尹小涛等[7 ] 通过设计不同加载速率数值试验,发现应变率越高,岩石的峰值强度越高,变形参数也越高;张学朋等[8 ] 基于颗粒离散元模型虚拟实现了岩石压缩试验和巴西劈裂试验,分析了加载速率对岩石应变能率及声发射规律的影响;姜耀东等[9 ] 研究了加载速率对能量积聚与耗散的影响;宋义敏等[2 ] 开展了不同加载速率下红砂岩变形场演化试验研究,分析了岩石变形局部化与加载速率的关系;罗可等[10 ] 通过对不同加载速率下含裂隙类岩材料的室内试验与数值模拟,分析了加载速率与预置裂隙倾角对岩体的影响; He等[11 ] 对8种岩石进行了测试,发现大多数岩石都具有Kaiser效应; Li等[12 ] 使用深部岩爆过程模拟系统,研究了真三轴卸载条件下石灰石岩爆的声发射波形和频率特性.刘希灵等[13 ] 基于声发射技术,在MTS322试验机和霍普金森试验系统(SHPB)上对花岗岩试样进行动静加载,结果显示岩石冲击荷载下声发射b值小于静载条件下,且b值随加载速率的增加而减小;王笑然等[14 ] 通过对裂隙砂岩裂纹扩展的声发射响应及速率效应的研究,发现起裂应力随加载速率的增大而增大. ...
基于岩石声发射信号的指数衰减型小波基构造
0
2016
基于岩石声发射信号的指数衰减型小波基构造
0
2016
不同加载速率下花岗岩破裂声发射试验研究
0
2016
不同加载速率下花岗岩破裂声发射试验研究
0
2016
硬岩裂纹起裂强度和损伤强度取值方法探讨
1
2014
... 虽然前人对岩石加载速率和声发射进行了大量的试验和理论研究工作[13 -18 ] ,但就不同加载速率和不同裂隙倾角复合作用下的岩石断裂声发射特性的研究还相对较少,目前对岩石加载速率效应的研究多是关于纯静态加载速率下的岩石特性[19 -24 ] ,极少从静态到准静态加载速率来研究岩石特性,而实际工程中的加载类型不仅有静态加载.本文借助于声发射设备,利用伺服控制试验机对含不同倾角的预制裂隙类岩试件进行从静态到准静态不同加载速率室内加载试验,确定了使类岩材料加载速率效应不再明显的临界加载速率,分析了裂纹扩展的声发射频域特征,通过分析声发射特征参数,研究加载速率和裂隙倾角对类岩材料起裂应力水平的影响. ...
硬岩裂纹起裂强度和损伤强度取值方法探讨
1
2014
... 虽然前人对岩石加载速率和声发射进行了大量的试验和理论研究工作[13 -18 ] ,但就不同加载速率和不同裂隙倾角复合作用下的岩石断裂声发射特性的研究还相对较少,目前对岩石加载速率效应的研究多是关于纯静态加载速率下的岩石特性[19 -24 ] ,极少从静态到准静态加载速率来研究岩石特性,而实际工程中的加载类型不仅有静态加载.本文借助于声发射设备,利用伺服控制试验机对含不同倾角的预制裂隙类岩试件进行从静态到准静态不同加载速率室内加载试验,确定了使类岩材料加载速率效应不再明显的临界加载速率,分析了裂纹扩展的声发射频域特征,通过分析声发射特征参数,研究加载速率和裂隙倾角对类岩材料起裂应力水平的影响. ...
岩石破裂声发射关键特征信号优选方法
2
2018
... 虽然前人对岩石加载速率和声发射进行了大量的试验和理论研究工作[13 -18 ] ,但就不同加载速率和不同裂隙倾角复合作用下的岩石断裂声发射特性的研究还相对较少,目前对岩石加载速率效应的研究多是关于纯静态加载速率下的岩石特性[19 -24 ] ,极少从静态到准静态加载速率来研究岩石特性,而实际工程中的加载类型不仅有静态加载.本文借助于声发射设备,利用伺服控制试验机对含不同倾角的预制裂隙类岩试件进行从静态到准静态不同加载速率室内加载试验,确定了使类岩材料加载速率效应不再明显的临界加载速率,分析了裂纹扩展的声发射频域特征,通过分析声发射特征参数,研究加载速率和裂隙倾角对类岩材料起裂应力水平的影响. ...
... 本节以应力—应变关系曲线为背景,基于声发射波形提取岩石破裂全过程中声发射的频域特征参数.图3 所示为75°裂隙体在加载速率为0.05 mm/s条件下,声发射峰值频率及质心频率与加载时间的关系图.质心频率是组成信号的所有频率的重心,单位为kHz;峰值频率为组成信号的所有频率的正弦信号中最大峰值的正弦信号对应的频率,单位为kHz.图3 (a)显示:峰值频率主要集中在0~25 kHz,50~75 kHz,150~175 kHz这3个频段,只有少数的峰值频率超过175 kHz.而图3 (b)中质心频率并没有明显的分频段集中,质心频率基本处于50 kHz之上.加载初期,声发射信号未过门限值40 dB,声发射特征参数未采集到,进入裂隙体微裂纹压密阶段(OA段)后,微裂纹破裂开始产生高频声发射信号[23 ] ;应力应变曲线进入线弹性阶段(AB段)后,峰值频率集中在中低频,质心频率集中活跃;从微破裂稳定发展阶段(BC段)到非稳定破裂发展阶段(CD段)的过程中,声发射活动进入一段时间的平静期,信号的频率越来越低,只有质心频率含有极少数的高频信号,峰值频率几乎全部集中在中低频,这是由于此时的破裂多为大尺度破裂,小尺度破裂占比变少,而小尺度破裂会产生高频波;峰值应力过后(DE段),岩体形成宏观主破裂,破裂尺度越来越大,AE峰值频率及质心频率达到峰值.声发射活动急剧增加后突然下降或出现相对平静期,预示着岩体的破坏,可以将低频信号占比逐渐升高作为裂隙类岩试件失稳前兆信息[19 ] . ...
岩石破裂声发射关键特征信号优选方法
2
2018
... 虽然前人对岩石加载速率和声发射进行了大量的试验和理论研究工作[13 -18 ] ,但就不同加载速率和不同裂隙倾角复合作用下的岩石断裂声发射特性的研究还相对较少,目前对岩石加载速率效应的研究多是关于纯静态加载速率下的岩石特性[19 -24 ] ,极少从静态到准静态加载速率来研究岩石特性,而实际工程中的加载类型不仅有静态加载.本文借助于声发射设备,利用伺服控制试验机对含不同倾角的预制裂隙类岩试件进行从静态到准静态不同加载速率室内加载试验,确定了使类岩材料加载速率效应不再明显的临界加载速率,分析了裂纹扩展的声发射频域特征,通过分析声发射特征参数,研究加载速率和裂隙倾角对类岩材料起裂应力水平的影响. ...
... 本节以应力—应变关系曲线为背景,基于声发射波形提取岩石破裂全过程中声发射的频域特征参数.图3 所示为75°裂隙体在加载速率为0.05 mm/s条件下,声发射峰值频率及质心频率与加载时间的关系图.质心频率是组成信号的所有频率的重心,单位为kHz;峰值频率为组成信号的所有频率的正弦信号中最大峰值的正弦信号对应的频率,单位为kHz.图3 (a)显示:峰值频率主要集中在0~25 kHz,50~75 kHz,150~175 kHz这3个频段,只有少数的峰值频率超过175 kHz.而图3 (b)中质心频率并没有明显的分频段集中,质心频率基本处于50 kHz之上.加载初期,声发射信号未过门限值40 dB,声发射特征参数未采集到,进入裂隙体微裂纹压密阶段(OA段)后,微裂纹破裂开始产生高频声发射信号[23 ] ;应力应变曲线进入线弹性阶段(AB段)后,峰值频率集中在中低频,质心频率集中活跃;从微破裂稳定发展阶段(BC段)到非稳定破裂发展阶段(CD段)的过程中,声发射活动进入一段时间的平静期,信号的频率越来越低,只有质心频率含有极少数的高频信号,峰值频率几乎全部集中在中低频,这是由于此时的破裂多为大尺度破裂,小尺度破裂占比变少,而小尺度破裂会产生高频波;峰值应力过后(DE段),岩体形成宏观主破裂,破裂尺度越来越大,AE峰值频率及质心频率达到峰值.声发射活动急剧增加后突然下降或出现相对平静期,预示着岩体的破坏,可以将低频信号占比逐渐升高作为裂隙类岩试件失稳前兆信息[19 ] . ...
Optimization method for key characteristic signal of acoustic emission in rock fracture
0
2018
Acoustic emission signals frequency-amplitude characteristics of sandstone after thermal treated under uniaxial compression
0
2017
红砂岩中矿物颗粒的塑性应变分析
1
2019
... 本节以应力—应变关系曲线为背景,基于声发射波形提取岩石破裂全过程中声发射的频域特征参数.图3 所示为75°裂隙体在加载速率为0.05 mm/s条件下,声发射峰值频率及质心频率与加载时间的关系图.质心频率是组成信号的所有频率的重心,单位为kHz;峰值频率为组成信号的所有频率的正弦信号中最大峰值的正弦信号对应的频率,单位为kHz.图3 (a)显示:峰值频率主要集中在0~25 kHz,50~75 kHz,150~175 kHz这3个频段,只有少数的峰值频率超过175 kHz.而图3 (b)中质心频率并没有明显的分频段集中,质心频率基本处于50 kHz之上.加载初期,声发射信号未过门限值40 dB,声发射特征参数未采集到,进入裂隙体微裂纹压密阶段(OA段)后,微裂纹破裂开始产生高频声发射信号[23 ] ;应力应变曲线进入线弹性阶段(AB段)后,峰值频率集中在中低频,质心频率集中活跃;从微破裂稳定发展阶段(BC段)到非稳定破裂发展阶段(CD段)的过程中,声发射活动进入一段时间的平静期,信号的频率越来越低,只有质心频率含有极少数的高频信号,峰值频率几乎全部集中在中低频,这是由于此时的破裂多为大尺度破裂,小尺度破裂占比变少,而小尺度破裂会产生高频波;峰值应力过后(DE段),岩体形成宏观主破裂,破裂尺度越来越大,AE峰值频率及质心频率达到峰值.声发射活动急剧增加后突然下降或出现相对平静期,预示着岩体的破坏,可以将低频信号占比逐渐升高作为裂隙类岩试件失稳前兆信息[19 ] . ...
红砂岩中矿物颗粒的塑性应变分析
1
2019
... 本节以应力—应变关系曲线为背景,基于声发射波形提取岩石破裂全过程中声发射的频域特征参数.图3 所示为75°裂隙体在加载速率为0.05 mm/s条件下,声发射峰值频率及质心频率与加载时间的关系图.质心频率是组成信号的所有频率的重心,单位为kHz;峰值频率为组成信号的所有频率的正弦信号中最大峰值的正弦信号对应的频率,单位为kHz.图3 (a)显示:峰值频率主要集中在0~25 kHz,50~75 kHz,150~175 kHz这3个频段,只有少数的峰值频率超过175 kHz.而图3 (b)中质心频率并没有明显的分频段集中,质心频率基本处于50 kHz之上.加载初期,声发射信号未过门限值40 dB,声发射特征参数未采集到,进入裂隙体微裂纹压密阶段(OA段)后,微裂纹破裂开始产生高频声发射信号[23 ] ;应力应变曲线进入线弹性阶段(AB段)后,峰值频率集中在中低频,质心频率集中活跃;从微破裂稳定发展阶段(BC段)到非稳定破裂发展阶段(CD段)的过程中,声发射活动进入一段时间的平静期,信号的频率越来越低,只有质心频率含有极少数的高频信号,峰值频率几乎全部集中在中低频,这是由于此时的破裂多为大尺度破裂,小尺度破裂占比变少,而小尺度破裂会产生高频波;峰值应力过后(DE段),岩体形成宏观主破裂,破裂尺度越来越大,AE峰值频率及质心频率达到峰值.声发射活动急剧增加后突然下降或出现相对平静期,预示着岩体的破坏,可以将低频信号占比逐渐升高作为裂隙类岩试件失稳前兆信息[19 ] . ...
红砂岩单轴压缩试验的率效应研究
1
2018
... 虽然前人对岩石加载速率和声发射进行了大量的试验和理论研究工作[13 -18 ] ,但就不同加载速率和不同裂隙倾角复合作用下的岩石断裂声发射特性的研究还相对较少,目前对岩石加载速率效应的研究多是关于纯静态加载速率下的岩石特性[19 -24 ] ,极少从静态到准静态加载速率来研究岩石特性,而实际工程中的加载类型不仅有静态加载.本文借助于声发射设备,利用伺服控制试验机对含不同倾角的预制裂隙类岩试件进行从静态到准静态不同加载速率室内加载试验,确定了使类岩材料加载速率效应不再明显的临界加载速率,分析了裂纹扩展的声发射频域特征,通过分析声发射特征参数,研究加载速率和裂隙倾角对类岩材料起裂应力水平的影响. ...
红砂岩单轴压缩试验的率效应研究
1
2018
... 虽然前人对岩石加载速率和声发射进行了大量的试验和理论研究工作[13 -18 ] ,但就不同加载速率和不同裂隙倾角复合作用下的岩石断裂声发射特性的研究还相对较少,目前对岩石加载速率效应的研究多是关于纯静态加载速率下的岩石特性[19 -24 ] ,极少从静态到准静态加载速率来研究岩石特性,而实际工程中的加载类型不仅有静态加载.本文借助于声发射设备,利用伺服控制试验机对含不同倾角的预制裂隙类岩试件进行从静态到准静态不同加载速率室内加载试验,确定了使类岩材料加载速率效应不再明显的临界加载速率,分析了裂纹扩展的声发射频域特征,通过分析声发射特征参数,研究加载速率和裂隙倾角对类岩材料起裂应力水平的影响. ...