辽宁二道沟金矿床黄铁矿热电性特征及深部找矿预测
温佳伟 , 1 , 2 , 史鹏亮 1 , 刘彦兵 1 , 张静 , 2 , 屈海浪 1 , 李元申 1 , 胡博心 1 , 缪广 1
1.北京金有地质勘查有限责任公司,北京 100011
2.中国地质大学(北京)地球科学与资源学院,北京 100083
Thermoelectric Characteristics of Pyrite and Deep Prospecting Prediction in Erdaogou Gold Deposit, Liaoning Province
WEN Jiawei , 1 , 2 , SHI Pengliang 1 , LIU Yanbing 1 , ZHANG Jing , 2 , QU Hailang 1 , LI Yuanshen 1 , HU Boxin 1 , MIAO Guang 1
1.Beijing Jinyou Geological Exploration Co. ,Ltd. ,Beijing 100011,China
2.School of Earth Sciences and Resources,China University of Geosciences,Beijing 100083,China
通讯作者: 张静(1977-),女,河南焦作人,教授,从事矿床学研究工作。zhangjing@cugb.edu.cn
收稿日期: 2020-05-12
修回日期: 2020-06-09
网络出版日期: 2021-01-29
基金资助:
中国黄金集团有限公司地质科研项目“内蒙古金厂沟梁—辽宁二道沟金矿田成矿系统研究及找矿预测” . WKY201701
Received: 2020-05-12
Revised: 2020-06-09
Online: 2021-01-29
作者简介 About authors
温佳伟(1996-),男,内蒙古乌兰察布人,硕士研究生,从事矿物学、岩石学和矿床学研究工作1938464236@qq.com
, E-mail:1938464236@qq.com
摘要
辽宁二道沟金矿为赋存在中生代陆相火山岩中的岩浆热液型矿床,矿脉严格受构造控制。为了预测1号和3号脉深部的延伸规模、成矿环境和矿化情况,通过系统采集分析450~-305 m大部分中段的黄铁矿样品,对成矿温度、剥蚀率、黄铁矿热电性、热电性参数(X NP )均值以及P型黄铁矿不同标高的出现率和离散度进行了研究。结果表明:1号和3号脉成矿温度集中在130~280 ℃之间,属于中低温热液矿床;1号和3号脉剥蚀率等值线向深部分别为低值区和高值区,且均未封闭,热电导型分别以P型、P-N型和P-N型、N-P型为主,在-305 m中段深部X NP 均值分别为83.33(矿脉上部)和-8(矿脉中部),在-215 m中段深部P型黄铁矿出现率分别增加和减少,综合说明-305 m中段分别处于1号脉的中上部和3号脉的中部偏下位置,1号脉深部延伸较大,3号脉深部仍有部分延伸;在1号脉-215 m中段深部金的成矿环境逐渐稳定且矿化很好,在3号脉-260 m中段深部金的成矿环境由动荡转为稳定且矿化较好。
关键词:
黄铁矿
;
热电性特征
;
剥蚀率
;
离散度
;
成矿温度
;
P型黄铁矿出现率
Abstract
Erdaogou gold deposit is a magmatic-hydrothermal deposit hosted in continental volcanic rocks in Liaoning Province,its orebodies are strictly controlled by structures.Predecessors have done a lot of research on the genesis of Erdaogou gold deposit in Liaoning,and carried out a lot of exploration and prospecting work in the mining area, and found some new veins, but the deep prospecting prediction of some mined veins are relatively weak.After years of mining and production, the mine urgently needs to increase resource reserves to maintain development. At present, the control length of No.1 and No.3 veins are about 680 m, while the control length of No. 5-1 vein on the west has reached 1 600 m,and the deep part of No.1 and No.3 veins may still have a certain scale extension.At present,except for the deep prospecting prediction by using the thermoelectricity of pyrite at the middle section of the 250 m to -215 m depth of the No.3 vein, the systematic research on the No.1 and No.3 veins have not been carried out.In order to predict the extension,metallogenic environment and mineralization of No.1 and No.3 veins,this paper systematically studied the thermoelectric characteristics of pyrite,ore-forming temperature,veins denudation rate,X NP mean and the occurrence rate of different elevations of P-type pyrite of the samples at the 450 m to -305 m depth.The results show that the ore-forming temperatures of No.1 and No.3 veins are 130~280 ℃,which belong to medium-low temperature hydrothermal deposits.The average denudation rates of No.1 vein is 45.89%,the contour of denudation rate becomes a low value area to the deep and is not closed,the thermoelectric conductive types is mainly P type, P-N type and mean value of X NP at the -305 m depth is 83.33(upper part of vein),the occurrence rate of P-type pyrite at the middle section of -215 m increases. The average denudation rates of No.3 vein is 50%.The contour of denudation rate becomes a high value area and is not completely closed,the thermoelectric conductive types is mainly P-N type and N-P type,mean value of X NP at the -305 m depth is -8(middle part of vein),the occurrence rate of P-type pyrite in the middle section of -215 m decreases,which show the middle section of -305 m is the middle and upper part of No.1 vein and the lower part of No.3 vein.The deep part of No.1 vein extends greatly,while the No.3 vein still extends partly to the depth.The metallogenic environment of No.1 vein is gradually stable and greatly mine-ralized at the -215 m depth,but the metallogenic environment of No.3 vein changes from turbulent to stable and mineralization is better at the -260 m depth.
Keywords:
pyrite
;
thermoelectric characteristics
;
denudation rate
;
dispersion
;
ore-forming temperature
;
occurrence rate of P-type pyrite
本文引用格式
温佳伟, 史鹏亮, 刘彦兵, 张静, 屈海浪, 李元申, 胡博心, 缪广. 辽宁二道沟金矿床黄铁矿热电性特征及深部找矿预测 [J]. 黄金科学技术 , 2020, 28(6): 812-824 doi:10.11872/j.issn.1005-2518.2020.06.088
WEN Jiawei, SHI Pengliang, LIU Yanbing, ZHANG Jing, QU Hailang, LI Yuanshen, HU Boxin, MIAO Guang. Thermoelectric Characteristics of Pyrite and Deep Prospecting Prediction in Erdaogou Gold Deposit, Liaoning Province [J]. Gold Science and Technology , 2020, 28(6): 812-824 doi:10.11872/j.issn.1005-2518.2020.06.088
辽宁二道沟金矿位于华北克拉通北缘,北部紧临兴蒙造山带。前人对辽宁二道沟金矿床成因展开了较多研究,基本确定了流体和成矿物质来源于深部壳幔混源岩浆,与对面沟岩体有关[1 -4 ] ,成矿年龄为中生代早白垩世,形成于燕山晚期岩石圈减薄环境[3 ,5 -7 ] ,为受构造裂隙控制的岩浆热液型矿床[2 -3 ] 。内蒙古金厂沟梁—辽宁二道沟矿集区属于燕辽成矿带,估测该成矿带内金资源储量有200~500 t,金厂沟梁金矿为大型金矿,而与其相邻5 km的二道沟金矿却为中型矿床[8 -10 ] 。2个金矿床均形成于中生代,Pb同位素显示矿质来源具有一致性和深源性[9 ] ,成矿均与燕山运动晚期板内岩浆活动及其构造体制转化关系密切[7 ,9 ] ,矿床规模却相差较大,二道沟金矿1号和3号脉目前的开采深度达875 m。
黄铁矿是热液金矿床矿化阶段的主要产物[11 ] 。高振敏等[12 ] 统计了102个金矿床,其中85%的金矿床以黄铁矿为主要载金矿物。自20世纪80年代起,我国学者开始将黄铁矿热电性研究应用于金矿床深部找矿预测中并取得了良好效果[13 -16 ] 。前人对二道沟金矿深部找矿预测方面的研究比较薄弱,已有研究主要有:徐万臣等[17 ] 通过研究二道沟金矿区其他矿脉黄铁矿标型特征,提出了黄铁矿找矿标志;李志国等[18 ] 通过黄铁矿激光拉曼特征,预测得到3号脉深部存在成矿空间;王鹏等[19 ] 利用黄铁矿热电性对3号脉500 m以浅部分进行预测。除上述研究之外,对二道沟金矿1号和3号脉的系统性研究工作比较缺乏,在一定程度上制约了二道沟金矿深部找矿工作。
基于此,本文采集了二道沟金矿床1号和3号脉450~-305 m大部分中段的黄铁矿样品,系统测试了黄铁矿热电性,分析了成矿温度、剥蚀率、热电性参数(X NP )、离散度和P型黄铁矿出现率随标高的变化趋势,在此基础上探讨了矿体的延伸、成矿环境及矿化情况,为该区进一步找矿工作提供理论依据。
1 区域地质背景
二道沟金矿位于华北克拉通北缘的努鲁儿虎隆起带上[20 ] ,被NE向北票—承德断裂和近EW向赤峰—开源深大断裂带所围限(图1 )。矿区内还发育有多条NE向次级断裂,将该区划分为多条拗陷带和构造—岩浆隆起带。区域范围内出露的基底地层主要为太古宇建平群变质岩,呈NEE-SWW向分布在努鲁儿虎隆起带花岗岩的两侧[2 ,7 ,21 ] ,中生界侏罗系陆相火山岩主要分布在隆起带东南部、西部和西北部的拗陷盆地中。区域内金矿床分布具有NE向成串的特征,均位于或紧临老变质岩系,虽然成矿时代不同,但主要形成于中生代且集中在140 Ma前后,与燕山期多次构造岩浆活动有关[6 -7 ,9 ] 。区域内金矿床的产出环境、成矿条件和赋矿围岩等虽存在明显差异,但均属于同成矿构造期的产物,与进入中生代以后华北克拉通经历构造热液活化及岩石圈破坏有关[9 ,22 ] 。
图1
图1
二道沟金矿区域地质简图[图(a)据文献[4 ]修改;图(b)据文献[20 ]修改]
1.华力西期或燕山期花岗岩;2.太古宙变质岩;3.震旦系地层;4.晚古生代地层;5.新生代、中生代地层;6.主要断裂;7.主要金矿点;8.研究区
Fig.1
Regional geological map of the Erdaogou gold deposit[Fig.(a) modified after reference[4 ];Fig.(b) modified after reference[20 ]]
2 矿区及矿床地质
2.1 矿区地质
矿区内地层主要为太古宇角闪岩相变质岩系和中生界侏罗系流纹岩、火山爆破角砾岩、火山熔结角砾岩和火山碎屑岩等陆相火山岩,变质岩系分布在矿区的北西部。矿区主要侵入岩有娄上岩体、西台子岩体和对面沟岩体(图2 )。矿区主要分布有NW、NE和近EW向3组断裂,矿脉整体沿对面沟岩体呈放射状分布,产于岩体侵位时形成的环状、放射状构造裂隙或接触带[3 ,7 ,9 ,23 ] 。二道沟金矿矿脉主要呈NW和近EW向展布,NW向矿脉集中分布在矿区中部,典型矿脉有1号、3号、5号和5-1号脉,位于对面沟岩体的东侧,呈左旋分布特征。
图2
图2
二道沟金矿矿区地质简图(据文献[5 ]修改)
1.太古宙斜长角闪岩;2.中生代火山岩;3.华力西期斑状花岗岩;4.燕山期斑状花岗闪长岩;5.燕山期花岗闪长岩;6.中生代闪长岩;7.主要断裂;8.矿脉;9.辽宁二道沟采矿权范围
Fig.2
Geological map of the Erdaogou gold deposit(modified after reference[5 ])
2.2 矿床地质特征
二道沟金矿NW向矿脉总体为陡倾斜,倾角为70°~80°,矿脉长度多数大于500 m。1号和3号脉在剖面上常表现为平行脉和分支复合,赋矿围岩主要有流纹岩和火山碎屑岩(图3 )。1号脉倾向50°~55°,倾角为78°~80°,矿脉厚度较薄,金品位较好。3号脉倾向55°,倾角为75°~80°,矿脉厚度较薄,往深部金品位变差,矿体厚度变薄。
图3
图3
二道沟金矿4号勘探线剖面简图
1.矿脉;2.流纹岩;3.英安岩;4.凝灰岩;5.火山碎屑岩
Fig.3
Profile of No.4 exploration line in the Erdaogou gold deposit
1号和3号脉为含金石英脉型矿化,矿石矿物主要有黄铁矿、黄铜矿、方铅矿、闪锌矿、黝铜矿和银金矿等;脉石矿物以石英为主,其次为绢云母、方解石和绿泥石等。矿区矿石结构以自形—半自形粒状、碎裂和他形粒状为主,其次为交代残余、交代熔蚀、反应边、固溶体分离和包含结构。矿石构造以块状、角砾状、浸染状、团块状和细脉状为主。
根据矿脉和不同矿化组合的野外穿插关系,将热液成矿期划分为3个阶段,从早到晚依次为石英—黄铁矿阶段(Ⅰ阶段)、金—石英—黄铁矿—多金属硫化物阶段(Ⅱ阶段)和碳酸盐阶段(Ⅲ阶段)。Ⅰ阶段矿石金含量低,形成的黄铁矿颗粒粗大,呈稀疏浸染状分布在矿脉两侧的围岩中,以发育立方体晶型为主[图4 (a)];Ⅱ阶段主要形成半自形黄铁矿或黄铜矿、闪锌矿和方铅矿等多金属硫化物,金的富集与该阶段黄铁矿密切相关,本次所测样品均采自该成矿阶段,黄铁矿晶型以五角十二面体及其聚形为主,占所测样品的90%左右,镜下可见呈五边形的切面[图4 (b)、4 (c)];Ⅲ阶段可见方解石脉切穿含矿石英脉,含金性差[图4 (d)]。
图4
图4
二道沟金矿成矿阶段划分
(a)石英脉中分布黄铁矿颗粒;(b)石英硫化物矿石;(c)他形粒状黄铁矿,少数为半自形结构;(d)方解石脉切穿石英多金属硫化物脉Py-黄铁矿;Au-金;Sp-闪锌矿;Gn-方铅矿;Qz-石英;Cal-方解石
Fig.4
Division of metallogenic stages of Erdaogou gold deposit
3 黄铁矿样品采集及测试结果
1号和3号脉目前已从570 m中段开采至-305 m中段,由于矿脉为薄脉状,在各中段沿矿脉每隔40 m进行取样。根据巷道的实际情况,对450~ -305 m大部分中段进行了采样工作,部分中段由于巷道坍塌无法取样或取样数较少。本次采集1号和3号脉黄铁矿样品分别为48件和44件,碎样后在双目镜下从每件样品中挑选出20粒满足测试条件的黄铁矿颗粒进行热电性测试,每件样品测试2次。本次测试工作在北京航空航天大学生产的BHTE-06型热电系数测量仪上完成,主要参数设置:冷端温度(30.0±1)°C,热端温度(60.0±3)℃,控制活化温度在(30.0±0.5)°C 。测试结果见表1 和表2 。
根据表1 和表2 ,号和3号脉黄铁矿热电系数变化范围分别为-418.90~427.90 μV/℃和-467.46~314.52 μV/℃。通过统计每条矿脉黄铁矿不同导型的出现率,得到1号脉N型和P型黄铁矿所占比例分别为22.34%和77.66%,3号脉N型和P型黄铁矿所占比例分别为30.05%和69.95%。将所有黄铁矿颗粒测得的热电系数进行统计分析,可以直观得出1号脉N型和P型黄铁矿热电系数主要集中在 -200~0 μV/℃和100~350 μV/℃(图5 ),3号脉N型和P型黄铁矿热电系数主要的分布范围为 -400~-300 μV/℃、-100~0 μV/℃和150~350 μV/℃(图6 )。
图5
图5
1号脉黄铁矿热电系数直方图
Fig.5
Histograms of thermoelectric coefficients of pyrites from No.1 vein
图6
图6
3号脉黄铁矿热电系数直方图
Fig.6
Histograms of thermoelectric coefficients of pyrites from No.3 vein
4 讨论
黄铁矿热电性通常包括导型和热电系数,黄铁矿是半导体矿物,由于温差的影响引起载流子的扩散从而形成电场,其导电类型划分为N型和P型,P型热电系数通常大于N型,且N型的热电系数为负值,P型为正值。由于高温环境有利于Co、Ni类质同象替代Fe,形成N型黄铁矿;低温环境有利于As、Sb替代S,形成P型黄铁矿,故黄铁矿形成的温度不同,导电类型也不同[24 ] 。P型黄铁矿的含量通常与金品位成正比[25 ] ,黄铁矿导型在轴向上通常出现规律性变化,从矿脉的上部到尾部,导型由P型→P-N型→N-P型→N型变化。
根据P型黄铁矿出现率随标高的变化以及计算得到的相应的剥蚀率、热电性参数和离散度可以预测矿脉深部延伸情况,指示成矿环境和矿化程度[15 ,24 ,26 -28 ] 。
4.1 成矿温度
戈尔巴乔夫[29 ] 通过大量的数据总结出黄铁矿热电系数与温度之间的关系,其计算方法见式(1)、式(2):
T =(704.51-α )/1.818 (N型) (1)
T =3(122.22+α )/5.0 (P型) (2)
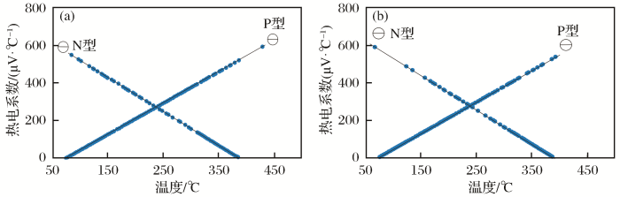
利用上述方程,计算得到1号和3号脉黄铁矿形成的温度范围分别为80~430 ℃和75.07~391.93 ℃。将温度和热电系数数据投点于图7 ,由图7 可知,1号脉N型和P型黄铁矿形成温度主要集中在280~380 ℃和80~330 ℃之间[图7 (a)],3号脉N型和P型黄铁矿形成温度主要集中在260~380 ℃和80~340 ℃之间[图7 (b)]。
图7
图7
1号脉(a)和3号脉(b)黄铁矿热电系数—温度图
Fig.7
Relationship between thermoelectric coefficients and temperature of pyrites from No.1 vein(a) and No.3 vein (b)
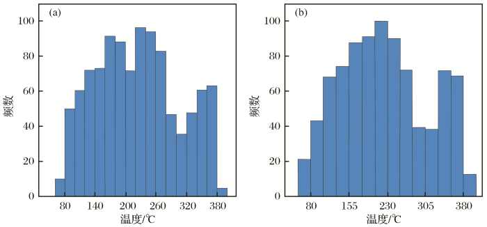
将所有黄铁矿颗粒测试所得的温度进行统计分析,可知1号脉黄铁矿形成温度主要集中在80~300 ℃和320~380 ℃之间[图8 (a)],3号脉黄铁矿形成温度主要集中在130~280 ℃和305~380 ℃之间[图8 (b)],指示该矿床可能存在2个主矿化阶段。综合分析图7 可知,指示1号和3号脉成矿热液早期温度较高,在380 ℃左右,成矿温度主要集中在130~280 ℃之间,属于中低温热液矿床,与王鹏等[19 ] 利用黄铁矿热电性测得的成矿温度(150~300 ℃)接近。
图8
图8
1号脉(a)和3号脉(b)黄铁矿成矿温度直方图
Fig.8
Histograms of ore-forming temperature of pyrites in No.1 vein (a) and No.3 vein (b)
4.2 矿体延伸情况
(1)剥蚀率及热电性参数均值特征
根据热电系数值可求出黄铁矿的热电性参数(X NP ),权志高[30 ] 将计算方法总结为式(3):
XNP =(2ƒⅠ +ƒⅡ )-(ƒⅣ +2ƒⅤ )(3)
式中:ƒi 为样品中相应的补偿热电系数百分比,ƒ Ⅰ ∶α >400 μV/℃,ƒ Ⅱ :α =200~400 μV/℃,ƒ Ⅳ :α =0~ -200 μV/℃,ƒ Ⅴ :α <-200 μV/℃。然后,根据热电性参数定量计算出矿脉的剥蚀率(γ ),其计算方法见式(4):
由式(4)可知,P型黄铁矿热电系数值越大,矿脉剥蚀率越低,深部找矿前景越好。当遇到剥蚀率由小到大转折时,表明该矿脉以下仍有部分延伸,找矿前景较好。通常,矿脉不同部位对应的X NP 值分别为200~100(最上部)、100~50(上部)、50~ -50(中部)、-50~-100(下部)和-100~-200(最下部),由于同一标高不同位置的样品可能由不同成矿阶段形成,所以常用X NP 和γ 的均值来判断矿脉的延伸[16 ,31 ] 。
利用上述方程计算得到1号脉剥蚀率变化范围为22.50%~92.50%,主要集中在20%~55%之间,平均值为45.89%。1号脉剥蚀率在-120 m标高深部由封闭的高值区变为低值区,往深部剥蚀率等值线未封闭且数值呈降低的趋势(图9 )。1号脉黄铁矿的X NP 均值变化范围为-41.00~83.33,330 m、 -125 m和-305 m中段X NP 均值分别为70、55和83.33,指示以上中段处于矿脉的上部,说明1号脉由多期成矿热液叠加形成。由此可知,1号脉深部有很大的延伸。
图9
图9
1号脉剥蚀率等值线图
Fig.9
Contour map of denudation rate from No.1 vein
3号脉剥蚀率变化范围为22.50%~95.00%,主要集中在20%~50%之间,平均值为50%。3号脉剥蚀率在-100 m标高深部由低值区变为高值区,且高值区向深部延伸(图10 )。3号脉黄铁矿的X NP 均值变化范围为-86.67~90.00,在370 m和250 m中段X NP 均值分别为90和72.5,指示以上中段处于矿脉的上部,在-170 m至-305 m中段X NP 均值变化范围为 -90→45→11.43→-8,指示-170 m中段处于矿脉的下部,向下又转换为矿脉的中部,说明3号脉由多期成矿热液叠加形成。由此可知,3号脉深部有较大的延伸。
图10
图10
3号脉剥蚀率等值线图
Fig.10
Contour map of denudation rate from No.3 vein
(2)黄铁矿热电性特征
P型黄铁矿主要集中在矿脉的上部,靠近下部N型黄铁矿逐渐增加[15 -16 ,26 ] 。330 m、-125 m和 -305 m中段处于1号脉的上部,由图11 可知,P型黄铁矿出现率在250 m、-35 m和-215 m中段由降低转为增加,在-215 m中段深部未见明显降低的趋势,且出现率高达80%~90%,以P型黄铁矿占据绝大多数,说明以上中段为矿脉尾部向新叠加矿脉头部转换的部位,-215 m深部还有很大的延伸。在3号脉-170 m中段深部P型黄铁矿出现率开始增加且该中段处于矿脉的下部,说明该中段深部开始出现新叠加矿脉的头部,符合X NP 均值标识结果,在 -215 m中段深部又开始由增加转为降低,N型黄铁矿开始增加,说明深部仍有部分延伸。
图11
图11
不同中段P型黄铁矿出现率
Fig.11
Occurrence rate of P-type pyrite in different middle sections
根据表1 和表2 ,统计得到1号脉黄铁矿的热电导型以P型和P-N型为主,其中P型、P-N型和N-P型黄铁矿分别占22.92%、64.58%和12.50%,3号脉黄铁矿的热电导型以P-N型和N-P型为主,其中P型、P-N型和N-P型黄铁矿分别占13.63%、63.64%和22.73%。3号脉N-P型黄铁矿出现率大于1号脉,说明3号脉现开采的位置比1号脉更接近矿体的下部。
综上所述,-215 m中段为1号和3号脉新叠加矿脉的头部位置,-305 m中段分别处于1号和3号脉的中上部和中部偏下位置,1号脉深部有较大距离的延伸,反映出找矿前景很好;3号脉深部仍有一段距离的延伸,反映出找矿前景较好。
4.3 深部成矿环境的稳定性
黄铁矿热电系数离散度(σα ´)能够准确反映相差较大的不同样品的热电系数值相对集中与分散的情况[13 ,24 ] 。离散度的计算方法见式(5):
σα ´=σα /α ¯ *100%(5)
式中:α ¯ 为黄铁矿样品热电系数的平均值;σα 为热电系数的标准差(μV/°C)。由式(5)可知,离散度数值越大,指示黄铁矿热电系数的分散程度越大,黄铁矿形成时的环境越不稳定,反之则黄铁矿形成时的环境越稳定。离散度也可以指示不同阶段黄铁矿的叠加程度,早期叠加较强时以N型黄铁矿为主,晚期叠加较强时以P型黄铁矿为主,以上2种情况成矿环境均比较稳定,当2期叠加程度相近时,成矿环境会发生剧烈波动[15 -16 ] 。
由离散度与P型黄铁矿出现率关系图可知,图形形态具有类似正态分布的特征[图12 (a)、12 (b)],图形突峰左侧数值区间对应低离散度和低P型黄铁矿出现率,右侧数值区间对应低离散度和高P型黄铁矿出现率,分别指示矿化较差和矿化好,图形突峰处离散度高且P型黄铁矿出现率较高,指示矿化不连续[15 -16 ,27 ,31 ] 。1号脉P型黄铁矿出现率小于30%和大于60%时,以早期和晚期叠加为主,离散度较小,在200%以内,当接近50%左右时,离散度呈指数形态增长[图12 (a)]。1号脉离散度在 -215 m中段深部逐渐减小并小于200%[图12 (c)],且由表1 计算得该标高深部各中段P型黄铁矿出现率均值均大于90%,P型黄铁矿出现率很高且离散度低,说明该中段深部金矿化很好。3号脉P型黄铁矿出现率小于40%和大于60%时离散度较小,在1 000%以内,在两者之间离散度呈指数形态增长[图12 (b)]。3号脉在-35 m中段深部,离散度整体小于1 000%,仅在-260 m中段出现个别离散度较大的点[图12 (d)],由表2 计算得-260 m中段深部P型黄铁矿出现率均值为71%,P型黄铁矿出现率较高且离散度低,说明该中段深部金矿化较好。
图12
图12
成矿环境及矿化标识图
Fig.12
The map of metallogenic environment and mineralization mark
根据离散度在不同标高的变化情况可以反映成矿环境的稳定性,发生离散度急增的中段表明成矿环境稳定性变差,离散度集中分布且数值小指示成矿环境比较稳定[16 ] 。1号脉离散度小于200%的投点比大于200%的投点多,且分布比较集中,只在450 m和10 m中段出现急增,说明1号脉整体上离散度低,除以上中段外成矿环境很稳定[图12 (c)]。3号脉离散度分布比较集中,整体小于1 000%,少部分小于2 000%,说明整体成矿环境稳定,在-260 m中段深部离散度开始由急增转为急降且小于1 000%,说明该中段深部金的成矿环境由动荡转为稳定[图12 (d)]。
5 结论
(1)由热电系数计算得到1号和3号脉成矿温度为130~280 ℃,属于中低温热液矿床。
(2)1号和3号脉黄铁矿热电系数变化范围分别为-418.90~427.90 μV/℃和-467.46~314.52 μV/℃,热电导型分别以P型、P-N型和P-N、N-P型为主。
(3)1号脉深部延伸较大,3号脉深部仍有部分延伸。在-215 m中段深部,1号脉成矿环境稳定且矿化很好,在-260 m中段深部,3号脉成矿环境由动荡转为稳定且矿化较好。
http://www.goldsci.ac.cn/article/2020/1005-2518/1005-2518-2020-28-6-812.shtml
参考文献
View Option
[1]
王有爵 ,王文清 .辽西火山岩型金矿地质特征及成因讨论
[J].辽宁地质 ,1990 (4 ):289 -303 .
[本文引用: 1]
Wang Youjue ,Wang Wenqing .Geological characteristics and genesis of volcanic gold deposits in western Liaoning Province
[J].Liaoning Geology ,1990 (4 ):289 -303 .
[本文引用: 1]
[2]
刘宗秀 ,魏存弟 ,赵春光 ,等 .金厂沟梁—二道沟金矿田地质地球化学特征及成因探讨
[J].世界地质 ,2002 ,21 (1 ):13 -17 .
[本文引用: 2]
Liu Zongxiu ,Wei Cundi ,Zhao Chunguang ,et al .Discussin on genesis and geological-geochemical feature of Jinchanggouliang-Erdaogou gold minerogenetic field
[J].World Geology ,2002 ,21 (1 ):13 -17 .
[本文引用: 2]
[3]
马光 ,刘继顺 ,张洪培 .再论北票二道沟金矿床成矿物质来源
[J].黄金 ,2004 ,25 (10 ):11 -15 .
[本文引用: 3]
Ma Guang ,Liu Jishun ,Zhang Hongpei .New idea on the origin of ore-forming materials of Erdaogou gold deposit in Beipiao,Liaoning Province
[J].Gold ,2004 ,25 (10 ):11 -15 .
[本文引用: 3]
[4]
聂飞 ,刘书生 ,董国臣 ,等 .辽西二道沟金矿成矿物质来源:来自S-Pb同位素的证据
[J].现代地质 ,2018 ,32 (6 ):1283 -1291 .
[本文引用: 3]
Nie Fei ,Liu Shusheng ,Dong Guochen ,et al .The ore-forming material of the Erdaogou gold deposit in west Liaoning Provice:Evidence form S-Pb isotopes
[J].Geoscience ,2018 ,32 (6 ):1283 -1291 .
[本文引用: 3]
[5]
王志 ,徐忠勋 ,杨福和 .辽宁省二道沟金矿地质及成因
[J].长春地质学院学报 ,1989 ,19 (3 ):287 -297 .
[本文引用: 3]
Wang Zhi ,Xu Zhongxun ,Yang Fuhe .Geology and genesis of Erdaogou gold deposit,Liaoning Province
[J].Journal of Changchun University of Earth Science ,1989 ,19 (3 ):287 -297 .
[本文引用: 3]
[6]
苗来成 ,范蔚茗 ,翟明国 ,等 .金厂沟梁—二道沟金矿田内花岗岩类侵入体锆石的离子探针U-Pb年代学及意义
[J].岩石学报 ,2003 ,19 (1 ):71 -80 .
[本文引用: 1]
Miao Laicheng ,Fan Weiming ,Zhai Mingguo ,et al .Zircon SHRIMP U-Pb geochronology of the granitoid intrusions from Jinchanggouliang-Erdaogou gold orefield and its significance
[J].Acta Petrologica Sinica ,2003 ,19 (1 ):71 -80 .
[本文引用: 1]
[7]
段培新 ,李长民 ,刘翠 ,等 .内蒙古赤峰金厂沟梁金矿区花岗岩类年代学、地球化学特征及其地质意义
[J].岩石学报 ,2014 ,30 (11 ):3189 -3202 .
[本文引用: 5]
Duan Peixin ,Li Changmin ,Liu Cui ,et al .Geochronology and geochemistry of the granites from the Jinchanggouliang gold deposit area in the Inner Mongolia and its geological significance
[J].Acta Petrologica Sinica ,2014 ,30 (11 ):3189 -3202 .
[本文引用: 5]
[8]
朱翠祎 ,刘烊 ,张岱 .中国金矿成矿地质特征、预测模型及资源潜力
[J].地学前缘 ,2018 ,25 (3 ):1 -12 .
[本文引用: 1]
Zhu Cuiyi ,Liu Yang ,Zhang Dai .Metallogenic geological features,prediction models and resources potential of gold deposits in China
[J].Earth Science Frontiers ,2018 ,25 (3 ):1 -12 .
[本文引用: 1]
[9]
贾三石 ,王恩德 ,付建飞 ,等 .冀东—辽西主要金矿矿集区地质特征的差异性与成矿作用的统一性探析
[J].地质学报 ,2011 ,85 (9 ):1493 -1506 .
[本文引用: 5]
Jia Sanshi ,Wang Ende ,Fu Jianfei ,et al .Geological differences and mineralization unity of the key gold ore concentrated regions in eastern Hebei and western Liaoning Provinces
[J].Acta Geologica Sinica ,2011 ,85 (9 ):1493 -1506 .
[本文引用: 5]
[10]
王成辉 ,王登红 ,黄凡 ,等 .中国金矿集区及其资源潜力探讨
[J].中国地质 ,2012 ,39 (5 ):1125 -1142 .
[本文引用: 1]
Wang Chenghui ,Wang Denghong ,Huang Fan ,et al .The major gold concentration areas in China and their resource potentials
[J].Geology in China ,2012 ,39 (5 ):1125 -1142 .
[本文引用: 1]
[11]
Reach M ,Deditius A ,Chryssoulis S ,et al .Pyrite as a record of hydrothermal fluid evolution in a porphyry copper system:A SIMS/EMPA trace element study
[J].Geochimica et Cosmochimica Acta ,2013 ,104 (1 ):50 -61 .
[本文引用: 1]
[12]
高振敏 ,杨竹森 ,李红阳 ,等 .黄铁矿载金的原因和特征
[J].高校地质学报 ,2000 ,6 (2 ):156 -162 .
[本文引用: 1]
Gao Zhenmin ,Yang Zhusen ,Li Hongyang ,et al .Genesis and characteristics of gold hosted by pyrite
[J].Geological Journal of China Universities ,2000 ,6 (2 ):156 -162 .
[本文引用: 1]
[13]
邵伟 ,陈光远 ,孙岱生 .黄铁矿热电性研究方法及其在胶东金矿的应用
[J].现代地质 ,1990 ,4 (1 ):46 -57 .
[本文引用: 2]
Shao Wei ,Chen Guangyuan ,Sun Daisheng .Method of investigating thermoelectricity of pyrite and its application to pyrites from gold deposits in Jiaodong region
[J].Geoscience ,1990 ,4 (1 ):46 -57 .
[本文引用: 2]
[14]
李青 ,李胜荣 ,张秀宝 ,等 .河北省灵寿县西石门金矿黄铁矿热电性标型及其找矿意义
[J].地质学报 ,2013 ,87 (4 ):542 -553 .
Li Qing ,Li Shengrong ,Zhang Xiubao ,et al .Thermoelectric coefficient of pyrite from the Xishimen gold deposit in Lingshou County,Hebei Province and its prospecting significance
[J].Acta Geologica Sinica ,2013 ,87 (4 ):542 -553 .
[15]
刘冲昊 ,刘家军 ,王建平 ,等 .陕西省铧厂沟金矿床主矿带黄铁矿热电性特征及其地质意义
[J].地学前缘 ,2013 ,20 (4 ):264 -272 .
[本文引用: 4]
Liu Chonghao ,Liu Jiajun ,Wang Jianping ,et al .Thermoelectric characteristics of pyrite from the main ore zone of the Huachanggou gold deposit,Shaanxi Province and its significance
[J].Earth Science Frontiers ,2013 ,20 (4 ):264 -272 .
[本文引用: 4]
[16]
刘华南 ,刘家军 ,李小伟 ,等 .内蒙古新地沟金矿床黄铁矿热电性特征及深部找矿意义
[J].中国地质 ,2018 ,45 (4 ):819 -838 .
[本文引用: 6]
Liu Huanan ,Liu Jiajun ,Li Xiaowei ,et al .Thermoelectric characteristics of pyrite from the Xindigou gold deposit in Inner Mongolia and its significance on deep prospecting
[J].Geology in China ,2018 ,45 (4 ):819 -838 .
[本文引用: 6]
[17]
徐万臣 ,赵秀英 .辽宁北票二道沟金矿床黄铁矿和石英找矿标型性研究
[J].地质实验室 ,1992 ,8 (5 ):292 -298 .
[本文引用: 1]
Xu Wanchen ,Zhao Xiuying .Study on prospecting typomorphism of pyrite and quartz in Erdaogou gold deposit,Beipiao,Liaoning
[J].Geological Laboratory ,1992 ,8 (5 ):292 -298 .
[本文引用: 1]
[18]
李志国 ,李青云 ,董国臣 .辽宁二道沟金矿床脉状矿体中黄铁矿热电性标型特征
[J].地质论评 ,2013 ,59 (增 ):524 -525 .
[本文引用: 1]
Li Zhiguo ,Li Qingyun ,Dong Guochen .Thermoelectric typomorphic characteristics of pyrite in vein orebody of Erdaogou gold deposit,Liaoning
[J].Geological Review ,2013 ,59 (Supp. ):524 -525 .
[本文引用: 1]
[19]
王鹏 ,董国臣 ,李志国 ,等 .辽西北票二道沟金矿的成矿特点和黄铁矿热电性特征
[J].现代地质 ,2013 ,27 (2 ):314 -323 .
[本文引用: 2]
Wang Peng ,Dong Guochen ,Li Zhiguo ,et al .Ore-forming characteristics and pyroelectricity of pyrite of the Erdaogou gold deposit,Beipiao,western Liaoning
[J].Geoscience ,2013 ,27 (2 ):314 -323 .
[本文引用: 2]
[20]
朴寿成 ,李绪俊 ,师磊 ,等 .赤峰—朝阳金矿化集中区元素分带特征及其应用
[J].地质与勘探 ,2006 ,42 (1 ):17 -20 .
[本文引用: 3]
Shoucheng Piao ,Li Xujun ,Shi Lei ,et al .Element zoning and its application in the Chifeng-Chaoyang auriferous province
[J].Geology and Exploration ,2006 ,42 (1 ):17 -20 .
[本文引用: 3]
[21]
王鹏 ,董国臣 ,许卫东 ,等 .辽西北票二道沟金矿的矿化特点及其意义
[J].地质与勘探 ,2013 ,49 (3 ):429 -436 .
[本文引用: 1]
Wang Peng ,Dong Guochen ,Xu Weidong ,et al .Mineralization characteristics of the Erdaogou gold deposit,western Liaoning and their significance
[J].Geology and Exploration ,2013 ,49 (3 ):429 -436 .
[本文引用: 1]
[22]
张连昌 ,白阳 ,朱明田 ,等 .华北克拉通金矿床区域成矿差异性分析
[J].地球科学与环境学报 ,2018 ,40 (4 ):363 -380 .
[本文引用: 1]
Zhang Lianchang ,Bai Yang ,Zhu Mingtian ,et al .Regional differences of gold deposits on the North China Craton
[J].Journal of Earth Sciences and Environment ,2018 ,40 (4 ):363 -380 .
[本文引用: 1]
[23]
徐万臣 .辽宁北票二道沟金矿床地球化学特征及意义
[J].地质与资源 ,2007 ,16 (4 ):263 -269 .
[本文引用: 1]
Xu Wanchen .Geochemistry and significance of Erdaogou gold deposit in Beipiao,Liaoning Province
[J].Geology and Resources ,2007 ,16 (4 ):263 -269 .
[本文引用: 1]
[24]
杨竹森 ,李红阳 ,高振敏 ,等 .胶东北部超高品位金矿黄铁矿热电性研究
[J].矿床地质 ,2000 ,19 (4 ):307 -314 .
[本文引用: 3]
Yang Zhusen ,Li Hongyang ,Gao Zhenmin ,et al .A study on thermoelectricity of pyrite from superhigh-grade gold deposits,northern Jiaodong
[J].Mineral Deposits ,2000 ,19 (4 ):307 -314 .
[本文引用: 3]
[25]
谢玉玲 ,徐九华 ,钱大益 ,等 .太白金矿黄铁矿热电性及其在找矿中的应用
[J].北京科技大学学报 ,1999 ,21 (1 ):1 -5 .
[本文引用: 1]
Xie Yuling ,Xu Jiuhua ,Qian Dayi ,et al .Pyroelectricity of pyrite and application to prospecting in Taibai gold deposit
[J].Journal of University of Science and Technlogy Beijing ,1999 ,21 (1 ):1 -5 .
[本文引用: 1]
[26]
要梅娟 ,申俊峰 ,李胜荣 ,等 .河南嵩县前河金矿黄铁矿的热电性、热爆特征及其与金矿化的关系
[J].地质通报 ,2008 ,27 (5 ):649 -656 .
[本文引用: 2]
Yao Meijuan ,Shen Junfeng ,Li Shengrong ,et al .Thermoelectric and thermal decrepitation characteristics of pyrite in the Qianhe gold deposit,Songxian County,Henan,China,and their relationships with gold mineralization
[J].Geological Bulletin of China ,2008 ,27 (5 ):649 -656 .
[本文引用: 2]
[27]
刘坤 ,刘家军 ,吴杰 ,等 .甘肃马坞金矿床8号矿体黄铁矿热电性特征及其地质意义
[J].现代地质 ,2014 ,28 (4 ):711 -720 .
[本文引用: 1]
Liu Kun ,Liu Jiajun ,Wu Jie ,et al .Thermoelectric characteristic of pyrites from No.8 orebody of the Mawu gold deposit in Gansu Province and its significance
[J].Geoscience ,2014 ,28 (4 ):711 -720 .
[本文引用: 1]
[28]
张玙 ,袁万明 ,王庆飞 ,等 .吉林夹皮沟金矿带黄铁矿热电性及热爆裂特征
[J].现代地质 ,2010 ,24 (5 ):870 -879 .
[本文引用: 1]
Zhang Yu ,Yuan Wanming ,Wang Qingfei ,et al .Thermoelectric and thermal decrepitation characteristics of pyrites from Jiapigou gold ore belt,Jilin Province
[J].Geoscience ,2010 ,24 (5 ):870 -879 .
[本文引用: 1]
[29]
Андреев Б С .Пирит золоторудных месторождений [M].Москва :Изд.Наука ,1992 :51 -63 .
[本文引用: 1]
[30]
权志高 .庞家河、左家庄金矿床载金矿物黄铁矿热电性的研究
[J].矿产与地质 ,1995 ,9 (6 ):509 -513 .
[本文引用: 1]
Quan Zhigao .Study on the thermoelectricity of gold-bearing pyrite in Pangjiahe and Zuojiazhuang gold deposits
[J].Mineral Resources and Geology ,1995 ,9 (6 ):509 -513 .
[本文引用: 1]
[31]
张方方 ,王建平 ,刘冲昊 ,等 .陕西双王金矿黄铁矿晶体形态和热电性特征对深部含矿性的预测
[J].中国地质 ,2013 ,40 (5 ):1634 -1643 .
[本文引用: 2]
Zhang Fangfang ,Wang Jianping ,Liu Chonghao ,et al .The crystal forms and thermoelectricity of pyrite from the Shuangwang gold deposit,Shaanxi Province and their applications to metallogenic prognosis
[J].Geology in China ,2013 ,40 (5 ):1634 -1643 .
[本文引用: 2]
辽西火山岩型金矿地质特征及成因讨论
1
1990
... 辽宁二道沟金矿位于华北克拉通北缘,北部紧临兴蒙造山带.前人对辽宁二道沟金矿床成因展开了较多研究,基本确定了流体和成矿物质来源于深部壳幔混源岩浆,与对面沟岩体有关[1 -4 ] ,成矿年龄为中生代早白垩世,形成于燕山晚期岩石圈减薄环境[3 ,5 -7 ] ,为受构造裂隙控制的岩浆热液型矿床[2 -3 ] .内蒙古金厂沟梁—辽宁二道沟矿集区属于燕辽成矿带,估测该成矿带内金资源储量有200~500 t,金厂沟梁金矿为大型金矿,而与其相邻5 km的二道沟金矿却为中型矿床[8 -10 ] .2个金矿床均形成于中生代,Pb同位素显示矿质来源具有一致性和深源性[9 ] ,成矿均与燕山运动晚期板内岩浆活动及其构造体制转化关系密切[7 ,9 ] ,矿床规模却相差较大,二道沟金矿1号和3号脉目前的开采深度达875 m. ...
辽西火山岩型金矿地质特征及成因讨论
1
1990
... 辽宁二道沟金矿位于华北克拉通北缘,北部紧临兴蒙造山带.前人对辽宁二道沟金矿床成因展开了较多研究,基本确定了流体和成矿物质来源于深部壳幔混源岩浆,与对面沟岩体有关[1 -4 ] ,成矿年龄为中生代早白垩世,形成于燕山晚期岩石圈减薄环境[3 ,5 -7 ] ,为受构造裂隙控制的岩浆热液型矿床[2 -3 ] .内蒙古金厂沟梁—辽宁二道沟矿集区属于燕辽成矿带,估测该成矿带内金资源储量有200~500 t,金厂沟梁金矿为大型金矿,而与其相邻5 km的二道沟金矿却为中型矿床[8 -10 ] .2个金矿床均形成于中生代,Pb同位素显示矿质来源具有一致性和深源性[9 ] ,成矿均与燕山运动晚期板内岩浆活动及其构造体制转化关系密切[7 ,9 ] ,矿床规模却相差较大,二道沟金矿1号和3号脉目前的开采深度达875 m. ...
金厂沟梁—二道沟金矿田地质地球化学特征及成因探讨
2
2002
... 辽宁二道沟金矿位于华北克拉通北缘,北部紧临兴蒙造山带.前人对辽宁二道沟金矿床成因展开了较多研究,基本确定了流体和成矿物质来源于深部壳幔混源岩浆,与对面沟岩体有关[1 -4 ] ,成矿年龄为中生代早白垩世,形成于燕山晚期岩石圈减薄环境[3 ,5 -7 ] ,为受构造裂隙控制的岩浆热液型矿床[2 -3 ] .内蒙古金厂沟梁—辽宁二道沟矿集区属于燕辽成矿带,估测该成矿带内金资源储量有200~500 t,金厂沟梁金矿为大型金矿,而与其相邻5 km的二道沟金矿却为中型矿床[8 -10 ] .2个金矿床均形成于中生代,Pb同位素显示矿质来源具有一致性和深源性[9 ] ,成矿均与燕山运动晚期板内岩浆活动及其构造体制转化关系密切[7 ,9 ] ,矿床规模却相差较大,二道沟金矿1号和3号脉目前的开采深度达875 m. ...
... 二道沟金矿位于华北克拉通北缘的努鲁儿虎隆起带上[20 ] ,被NE向北票—承德断裂和近EW向赤峰—开源深大断裂带所围限(图1 ).矿区内还发育有多条NE向次级断裂,将该区划分为多条拗陷带和构造—岩浆隆起带.区域范围内出露的基底地层主要为太古宇建平群变质岩,呈NEE-SWW向分布在努鲁儿虎隆起带花岗岩的两侧[2 ,7 ,21 ] ,中生界侏罗系陆相火山岩主要分布在隆起带东南部、西部和西北部的拗陷盆地中.区域内金矿床分布具有NE向成串的特征,均位于或紧临老变质岩系,虽然成矿时代不同,但主要形成于中生代且集中在140 Ma前后,与燕山期多次构造岩浆活动有关[6 -7 ,9 ] .区域内金矿床的产出环境、成矿条件和赋矿围岩等虽存在明显差异,但均属于同成矿构造期的产物,与进入中生代以后华北克拉通经历构造热液活化及岩石圈破坏有关[9 ,22 ] . ...
金厂沟梁—二道沟金矿田地质地球化学特征及成因探讨
2
2002
... 辽宁二道沟金矿位于华北克拉通北缘,北部紧临兴蒙造山带.前人对辽宁二道沟金矿床成因展开了较多研究,基本确定了流体和成矿物质来源于深部壳幔混源岩浆,与对面沟岩体有关[1 -4 ] ,成矿年龄为中生代早白垩世,形成于燕山晚期岩石圈减薄环境[3 ,5 -7 ] ,为受构造裂隙控制的岩浆热液型矿床[2 -3 ] .内蒙古金厂沟梁—辽宁二道沟矿集区属于燕辽成矿带,估测该成矿带内金资源储量有200~500 t,金厂沟梁金矿为大型金矿,而与其相邻5 km的二道沟金矿却为中型矿床[8 -10 ] .2个金矿床均形成于中生代,Pb同位素显示矿质来源具有一致性和深源性[9 ] ,成矿均与燕山运动晚期板内岩浆活动及其构造体制转化关系密切[7 ,9 ] ,矿床规模却相差较大,二道沟金矿1号和3号脉目前的开采深度达875 m. ...
... 二道沟金矿位于华北克拉通北缘的努鲁儿虎隆起带上[20 ] ,被NE向北票—承德断裂和近EW向赤峰—开源深大断裂带所围限(图1 ).矿区内还发育有多条NE向次级断裂,将该区划分为多条拗陷带和构造—岩浆隆起带.区域范围内出露的基底地层主要为太古宇建平群变质岩,呈NEE-SWW向分布在努鲁儿虎隆起带花岗岩的两侧[2 ,7 ,21 ] ,中生界侏罗系陆相火山岩主要分布在隆起带东南部、西部和西北部的拗陷盆地中.区域内金矿床分布具有NE向成串的特征,均位于或紧临老变质岩系,虽然成矿时代不同,但主要形成于中生代且集中在140 Ma前后,与燕山期多次构造岩浆活动有关[6 -7 ,9 ] .区域内金矿床的产出环境、成矿条件和赋矿围岩等虽存在明显差异,但均属于同成矿构造期的产物,与进入中生代以后华北克拉通经历构造热液活化及岩石圈破坏有关[9 ,22 ] . ...
再论北票二道沟金矿床成矿物质来源
3
2004
... 辽宁二道沟金矿位于华北克拉通北缘,北部紧临兴蒙造山带.前人对辽宁二道沟金矿床成因展开了较多研究,基本确定了流体和成矿物质来源于深部壳幔混源岩浆,与对面沟岩体有关[1 -4 ] ,成矿年龄为中生代早白垩世,形成于燕山晚期岩石圈减薄环境[3 ,5 -7 ] ,为受构造裂隙控制的岩浆热液型矿床[2 -3 ] .内蒙古金厂沟梁—辽宁二道沟矿集区属于燕辽成矿带,估测该成矿带内金资源储量有200~500 t,金厂沟梁金矿为大型金矿,而与其相邻5 km的二道沟金矿却为中型矿床[8 -10 ] .2个金矿床均形成于中生代,Pb同位素显示矿质来源具有一致性和深源性[9 ] ,成矿均与燕山运动晚期板内岩浆活动及其构造体制转化关系密切[7 ,9 ] ,矿床规模却相差较大,二道沟金矿1号和3号脉目前的开采深度达875 m. ...
... -3 ].内蒙古金厂沟梁—辽宁二道沟矿集区属于燕辽成矿带,估测该成矿带内金资源储量有200~500 t,金厂沟梁金矿为大型金矿,而与其相邻5 km的二道沟金矿却为中型矿床[8 -10 ] .2个金矿床均形成于中生代,Pb同位素显示矿质来源具有一致性和深源性[9 ] ,成矿均与燕山运动晚期板内岩浆活动及其构造体制转化关系密切[7 ,9 ] ,矿床规模却相差较大,二道沟金矿1号和3号脉目前的开采深度达875 m. ...
... 矿区内地层主要为太古宇角闪岩相变质岩系和中生界侏罗系流纹岩、火山爆破角砾岩、火山熔结角砾岩和火山碎屑岩等陆相火山岩,变质岩系分布在矿区的北西部.矿区主要侵入岩有娄上岩体、西台子岩体和对面沟岩体(图2 ).矿区主要分布有NW、NE和近EW向3组断裂,矿脉整体沿对面沟岩体呈放射状分布,产于岩体侵位时形成的环状、放射状构造裂隙或接触带[3 ,7 ,9 ,23 ] .二道沟金矿矿脉主要呈NW和近EW向展布,NW向矿脉集中分布在矿区中部,典型矿脉有1号、3号、5号和5-1号脉,位于对面沟岩体的东侧,呈左旋分布特征. ...
再论北票二道沟金矿床成矿物质来源
3
2004
... 辽宁二道沟金矿位于华北克拉通北缘,北部紧临兴蒙造山带.前人对辽宁二道沟金矿床成因展开了较多研究,基本确定了流体和成矿物质来源于深部壳幔混源岩浆,与对面沟岩体有关[1 -4 ] ,成矿年龄为中生代早白垩世,形成于燕山晚期岩石圈减薄环境[3 ,5 -7 ] ,为受构造裂隙控制的岩浆热液型矿床[2 -3 ] .内蒙古金厂沟梁—辽宁二道沟矿集区属于燕辽成矿带,估测该成矿带内金资源储量有200~500 t,金厂沟梁金矿为大型金矿,而与其相邻5 km的二道沟金矿却为中型矿床[8 -10 ] .2个金矿床均形成于中生代,Pb同位素显示矿质来源具有一致性和深源性[9 ] ,成矿均与燕山运动晚期板内岩浆活动及其构造体制转化关系密切[7 ,9 ] ,矿床规模却相差较大,二道沟金矿1号和3号脉目前的开采深度达875 m. ...
... -3 ].内蒙古金厂沟梁—辽宁二道沟矿集区属于燕辽成矿带,估测该成矿带内金资源储量有200~500 t,金厂沟梁金矿为大型金矿,而与其相邻5 km的二道沟金矿却为中型矿床[8 -10 ] .2个金矿床均形成于中生代,Pb同位素显示矿质来源具有一致性和深源性[9 ] ,成矿均与燕山运动晚期板内岩浆活动及其构造体制转化关系密切[7 ,9 ] ,矿床规模却相差较大,二道沟金矿1号和3号脉目前的开采深度达875 m. ...
... 矿区内地层主要为太古宇角闪岩相变质岩系和中生界侏罗系流纹岩、火山爆破角砾岩、火山熔结角砾岩和火山碎屑岩等陆相火山岩,变质岩系分布在矿区的北西部.矿区主要侵入岩有娄上岩体、西台子岩体和对面沟岩体(图2 ).矿区主要分布有NW、NE和近EW向3组断裂,矿脉整体沿对面沟岩体呈放射状分布,产于岩体侵位时形成的环状、放射状构造裂隙或接触带[3 ,7 ,9 ,23 ] .二道沟金矿矿脉主要呈NW和近EW向展布,NW向矿脉集中分布在矿区中部,典型矿脉有1号、3号、5号和5-1号脉,位于对面沟岩体的东侧,呈左旋分布特征. ...
辽西二道沟金矿成矿物质来源:来自S-Pb同位素的证据
3
2018
... 辽宁二道沟金矿位于华北克拉通北缘,北部紧临兴蒙造山带.前人对辽宁二道沟金矿床成因展开了较多研究,基本确定了流体和成矿物质来源于深部壳幔混源岩浆,与对面沟岩体有关[1 -4 ] ,成矿年龄为中生代早白垩世,形成于燕山晚期岩石圈减薄环境[3 ,5 -7 ] ,为受构造裂隙控制的岩浆热液型矿床[2 -3 ] .内蒙古金厂沟梁—辽宁二道沟矿集区属于燕辽成矿带,估测该成矿带内金资源储量有200~500 t,金厂沟梁金矿为大型金矿,而与其相邻5 km的二道沟金矿却为中型矿床[8 -10 ] .2个金矿床均形成于中生代,Pb同位素显示矿质来源具有一致性和深源性[9 ] ,成矿均与燕山运动晚期板内岩浆活动及其构造体制转化关系密切[7 ,9 ] ,矿床规模却相差较大,二道沟金矿1号和3号脉目前的开采深度达875 m. ...
... 二道沟金矿位于华北克拉通北缘的努鲁儿虎隆起带上
[20 ] ,被NE向北票—承德断裂和近EW向赤峰—开源深大断裂带所围限(
图1 ).矿区内还发育有多条NE向次级断裂,将该区划分为多条拗陷带和构造—岩浆隆起带.区域范围内出露的基底地层主要为太古宇建平群变质岩,呈NEE-SWW向分布在努鲁儿虎隆起带花岗岩的两侧
[2 ,7 ,21 ] ,中生界侏罗系陆相火山岩主要分布在隆起带东南部、西部和西北部的拗陷盆地中.区域内金矿床分布具有NE向成串的特征,均位于或紧临老变质岩系,虽然成矿时代不同,但主要形成于中生代且集中在140 Ma前后,与燕山期多次构造岩浆活动有关
[6 -7 ,9 ] .区域内金矿床的产出环境、成矿条件和赋矿围岩等虽存在明显差异,但均属于同成矿构造期的产物,与进入中生代以后华北克拉通经历构造热液活化及岩石圈破坏有关
[9 ,22 ] .
图1 二道沟金矿区域地质简图[图(a)据文献[4 ]修改;图(b)据文献[20 ]修改] 1.华力西期或燕山期花岗岩;2.太古宙变质岩;3.震旦系地层;4.晚古生代地层;5.新生代、中生代地层;6.主要断裂;7.主要金矿点;8.研究区 ...
... 1.华力西期或燕山期花岗岩;2.太古宙变质岩;3.震旦系地层;4.晚古生代地层;5.新生代、中生代地层;6.主要断裂;7.主要金矿点;8.研究区
Regional geological map of the Erdaogou gold deposit[Fig.(a) modified after reference[4 ];Fig.(b) modified after reference[20 ]] Fig.1 ![]()
2 矿区及矿床地质 2.1 矿区地质 矿区内地层主要为太古宇角闪岩相变质岩系和中生界侏罗系流纹岩、火山爆破角砾岩、火山熔结角砾岩和火山碎屑岩等陆相火山岩,变质岩系分布在矿区的北西部.矿区主要侵入岩有娄上岩体、西台子岩体和对面沟岩体(图2 ).矿区主要分布有NW、NE和近EW向3组断裂,矿脉整体沿对面沟岩体呈放射状分布,产于岩体侵位时形成的环状、放射状构造裂隙或接触带[3 ,7 ,9 ,23 ] .二道沟金矿矿脉主要呈NW和近EW向展布,NW向矿脉集中分布在矿区中部,典型矿脉有1号、3号、5号和5-1号脉,位于对面沟岩体的东侧,呈左旋分布特征. ...
辽西二道沟金矿成矿物质来源:来自S-Pb同位素的证据
3
2018
... 辽宁二道沟金矿位于华北克拉通北缘,北部紧临兴蒙造山带.前人对辽宁二道沟金矿床成因展开了较多研究,基本确定了流体和成矿物质来源于深部壳幔混源岩浆,与对面沟岩体有关[1 -4 ] ,成矿年龄为中生代早白垩世,形成于燕山晚期岩石圈减薄环境[3 ,5 -7 ] ,为受构造裂隙控制的岩浆热液型矿床[2 -3 ] .内蒙古金厂沟梁—辽宁二道沟矿集区属于燕辽成矿带,估测该成矿带内金资源储量有200~500 t,金厂沟梁金矿为大型金矿,而与其相邻5 km的二道沟金矿却为中型矿床[8 -10 ] .2个金矿床均形成于中生代,Pb同位素显示矿质来源具有一致性和深源性[9 ] ,成矿均与燕山运动晚期板内岩浆活动及其构造体制转化关系密切[7 ,9 ] ,矿床规模却相差较大,二道沟金矿1号和3号脉目前的开采深度达875 m. ...
... 二道沟金矿位于华北克拉通北缘的努鲁儿虎隆起带上
[20 ] ,被NE向北票—承德断裂和近EW向赤峰—开源深大断裂带所围限(
图1 ).矿区内还发育有多条NE向次级断裂,将该区划分为多条拗陷带和构造—岩浆隆起带.区域范围内出露的基底地层主要为太古宇建平群变质岩,呈NEE-SWW向分布在努鲁儿虎隆起带花岗岩的两侧
[2 ,7 ,21 ] ,中生界侏罗系陆相火山岩主要分布在隆起带东南部、西部和西北部的拗陷盆地中.区域内金矿床分布具有NE向成串的特征,均位于或紧临老变质岩系,虽然成矿时代不同,但主要形成于中生代且集中在140 Ma前后,与燕山期多次构造岩浆活动有关
[6 -7 ,9 ] .区域内金矿床的产出环境、成矿条件和赋矿围岩等虽存在明显差异,但均属于同成矿构造期的产物,与进入中生代以后华北克拉通经历构造热液活化及岩石圈破坏有关
[9 ,22 ] .
图1 二道沟金矿区域地质简图[图(a)据文献[4 ]修改;图(b)据文献[20 ]修改] 1.华力西期或燕山期花岗岩;2.太古宙变质岩;3.震旦系地层;4.晚古生代地层;5.新生代、中生代地层;6.主要断裂;7.主要金矿点;8.研究区 ...
... 1.华力西期或燕山期花岗岩;2.太古宙变质岩;3.震旦系地层;4.晚古生代地层;5.新生代、中生代地层;6.主要断裂;7.主要金矿点;8.研究区
Regional geological map of the Erdaogou gold deposit[Fig.(a) modified after reference[4 ];Fig.(b) modified after reference[20 ]] Fig.1 ![]()
2 矿区及矿床地质 2.1 矿区地质 矿区内地层主要为太古宇角闪岩相变质岩系和中生界侏罗系流纹岩、火山爆破角砾岩、火山熔结角砾岩和火山碎屑岩等陆相火山岩,变质岩系分布在矿区的北西部.矿区主要侵入岩有娄上岩体、西台子岩体和对面沟岩体(图2 ).矿区主要分布有NW、NE和近EW向3组断裂,矿脉整体沿对面沟岩体呈放射状分布,产于岩体侵位时形成的环状、放射状构造裂隙或接触带[3 ,7 ,9 ,23 ] .二道沟金矿矿脉主要呈NW和近EW向展布,NW向矿脉集中分布在矿区中部,典型矿脉有1号、3号、5号和5-1号脉,位于对面沟岩体的东侧,呈左旋分布特征. ...
辽宁省二道沟金矿地质及成因
3
1989
... 辽宁二道沟金矿位于华北克拉通北缘,北部紧临兴蒙造山带.前人对辽宁二道沟金矿床成因展开了较多研究,基本确定了流体和成矿物质来源于深部壳幔混源岩浆,与对面沟岩体有关[1 -4 ] ,成矿年龄为中生代早白垩世,形成于燕山晚期岩石圈减薄环境[3 ,5 -7 ] ,为受构造裂隙控制的岩浆热液型矿床[2 -3 ] .内蒙古金厂沟梁—辽宁二道沟矿集区属于燕辽成矿带,估测该成矿带内金资源储量有200~500 t,金厂沟梁金矿为大型金矿,而与其相邻5 km的二道沟金矿却为中型矿床[8 -10 ] .2个金矿床均形成于中生代,Pb同位素显示矿质来源具有一致性和深源性[9 ] ,成矿均与燕山运动晚期板内岩浆活动及其构造体制转化关系密切[7 ,9 ] ,矿床规模却相差较大,二道沟金矿1号和3号脉目前的开采深度达875 m. ...
... 矿区内地层主要为太古宇角闪岩相变质岩系和中生界侏罗系流纹岩、火山爆破角砾岩、火山熔结角砾岩和火山碎屑岩等陆相火山岩,变质岩系分布在矿区的北西部.矿区主要侵入岩有娄上岩体、西台子岩体和对面沟岩体(
图2 ).矿区主要分布有NW、NE和近EW向3组断裂,矿脉整体沿对面沟岩体呈放射状分布,产于岩体侵位时形成的环状、放射状构造裂隙或接触带
[3 ,7 ,9 ,23 ] .二道沟金矿矿脉主要呈NW和近EW向展布,NW向矿脉集中分布在矿区中部,典型矿脉有1号、3号、5号和5-1号脉,位于对面沟岩体的东侧,呈左旋分布特征.
图2 二道沟金矿矿区地质简图(据文献[5 ]修改) 1.太古宙斜长角闪岩;2.中生代火山岩;3.华力西期斑状花岗岩;4.燕山期斑状花岗闪长岩;5.燕山期花岗闪长岩;6.中生代闪长岩;7.主要断裂;8.矿脉;9.辽宁二道沟采矿权范围 ...
... 1.太古宙斜长角闪岩;2.中生代火山岩;3.华力西期斑状花岗岩;4.燕山期斑状花岗闪长岩;5.燕山期花岗闪长岩;6.中生代闪长岩;7.主要断裂;8.矿脉;9.辽宁二道沟采矿权范围
Geological map of the Erdaogou gold deposit(modified after reference[5 ]) Fig.2 ![]()
2.2 矿床地质特征 二道沟金矿NW向矿脉总体为陡倾斜,倾角为70°~80°,矿脉长度多数大于500 m.1号和3号脉在剖面上常表现为平行脉和分支复合,赋矿围岩主要有流纹岩和火山碎屑岩(图3 ).1号脉倾向50°~55°,倾角为78°~80°,矿脉厚度较薄,金品位较好.3号脉倾向55°,倾角为75°~80°,矿脉厚度较薄,往深部金品位变差,矿体厚度变薄. ...
辽宁省二道沟金矿地质及成因
3
1989
... 辽宁二道沟金矿位于华北克拉通北缘,北部紧临兴蒙造山带.前人对辽宁二道沟金矿床成因展开了较多研究,基本确定了流体和成矿物质来源于深部壳幔混源岩浆,与对面沟岩体有关[1 -4 ] ,成矿年龄为中生代早白垩世,形成于燕山晚期岩石圈减薄环境[3 ,5 -7 ] ,为受构造裂隙控制的岩浆热液型矿床[2 -3 ] .内蒙古金厂沟梁—辽宁二道沟矿集区属于燕辽成矿带,估测该成矿带内金资源储量有200~500 t,金厂沟梁金矿为大型金矿,而与其相邻5 km的二道沟金矿却为中型矿床[8 -10 ] .2个金矿床均形成于中生代,Pb同位素显示矿质来源具有一致性和深源性[9 ] ,成矿均与燕山运动晚期板内岩浆活动及其构造体制转化关系密切[7 ,9 ] ,矿床规模却相差较大,二道沟金矿1号和3号脉目前的开采深度达875 m. ...
... 矿区内地层主要为太古宇角闪岩相变质岩系和中生界侏罗系流纹岩、火山爆破角砾岩、火山熔结角砾岩和火山碎屑岩等陆相火山岩,变质岩系分布在矿区的北西部.矿区主要侵入岩有娄上岩体、西台子岩体和对面沟岩体(
图2 ).矿区主要分布有NW、NE和近EW向3组断裂,矿脉整体沿对面沟岩体呈放射状分布,产于岩体侵位时形成的环状、放射状构造裂隙或接触带
[3 ,7 ,9 ,23 ] .二道沟金矿矿脉主要呈NW和近EW向展布,NW向矿脉集中分布在矿区中部,典型矿脉有1号、3号、5号和5-1号脉,位于对面沟岩体的东侧,呈左旋分布特征.
图2 二道沟金矿矿区地质简图(据文献[5 ]修改) 1.太古宙斜长角闪岩;2.中生代火山岩;3.华力西期斑状花岗岩;4.燕山期斑状花岗闪长岩;5.燕山期花岗闪长岩;6.中生代闪长岩;7.主要断裂;8.矿脉;9.辽宁二道沟采矿权范围 ...
... 1.太古宙斜长角闪岩;2.中生代火山岩;3.华力西期斑状花岗岩;4.燕山期斑状花岗闪长岩;5.燕山期花岗闪长岩;6.中生代闪长岩;7.主要断裂;8.矿脉;9.辽宁二道沟采矿权范围
Geological map of the Erdaogou gold deposit(modified after reference[5 ]) Fig.2 ![]()
2.2 矿床地质特征 二道沟金矿NW向矿脉总体为陡倾斜,倾角为70°~80°,矿脉长度多数大于500 m.1号和3号脉在剖面上常表现为平行脉和分支复合,赋矿围岩主要有流纹岩和火山碎屑岩(图3 ).1号脉倾向50°~55°,倾角为78°~80°,矿脉厚度较薄,金品位较好.3号脉倾向55°,倾角为75°~80°,矿脉厚度较薄,往深部金品位变差,矿体厚度变薄. ...
金厂沟梁—二道沟金矿田内花岗岩类侵入体锆石的离子探针U-Pb年代学及意义
1
2003
... 二道沟金矿位于华北克拉通北缘的努鲁儿虎隆起带上[20 ] ,被NE向北票—承德断裂和近EW向赤峰—开源深大断裂带所围限(图1 ).矿区内还发育有多条NE向次级断裂,将该区划分为多条拗陷带和构造—岩浆隆起带.区域范围内出露的基底地层主要为太古宇建平群变质岩,呈NEE-SWW向分布在努鲁儿虎隆起带花岗岩的两侧[2 ,7 ,21 ] ,中生界侏罗系陆相火山岩主要分布在隆起带东南部、西部和西北部的拗陷盆地中.区域内金矿床分布具有NE向成串的特征,均位于或紧临老变质岩系,虽然成矿时代不同,但主要形成于中生代且集中在140 Ma前后,与燕山期多次构造岩浆活动有关[6 -7 ,9 ] .区域内金矿床的产出环境、成矿条件和赋矿围岩等虽存在明显差异,但均属于同成矿构造期的产物,与进入中生代以后华北克拉通经历构造热液活化及岩石圈破坏有关[9 ,22 ] . ...
金厂沟梁—二道沟金矿田内花岗岩类侵入体锆石的离子探针U-Pb年代学及意义
1
2003
... 二道沟金矿位于华北克拉通北缘的努鲁儿虎隆起带上[20 ] ,被NE向北票—承德断裂和近EW向赤峰—开源深大断裂带所围限(图1 ).矿区内还发育有多条NE向次级断裂,将该区划分为多条拗陷带和构造—岩浆隆起带.区域范围内出露的基底地层主要为太古宇建平群变质岩,呈NEE-SWW向分布在努鲁儿虎隆起带花岗岩的两侧[2 ,7 ,21 ] ,中生界侏罗系陆相火山岩主要分布在隆起带东南部、西部和西北部的拗陷盆地中.区域内金矿床分布具有NE向成串的特征,均位于或紧临老变质岩系,虽然成矿时代不同,但主要形成于中生代且集中在140 Ma前后,与燕山期多次构造岩浆活动有关[6 -7 ,9 ] .区域内金矿床的产出环境、成矿条件和赋矿围岩等虽存在明显差异,但均属于同成矿构造期的产物,与进入中生代以后华北克拉通经历构造热液活化及岩石圈破坏有关[9 ,22 ] . ...
内蒙古赤峰金厂沟梁金矿区花岗岩类年代学、地球化学特征及其地质意义
5
2014
... 辽宁二道沟金矿位于华北克拉通北缘,北部紧临兴蒙造山带.前人对辽宁二道沟金矿床成因展开了较多研究,基本确定了流体和成矿物质来源于深部壳幔混源岩浆,与对面沟岩体有关[1 -4 ] ,成矿年龄为中生代早白垩世,形成于燕山晚期岩石圈减薄环境[3 ,5 -7 ] ,为受构造裂隙控制的岩浆热液型矿床[2 -3 ] .内蒙古金厂沟梁—辽宁二道沟矿集区属于燕辽成矿带,估测该成矿带内金资源储量有200~500 t,金厂沟梁金矿为大型金矿,而与其相邻5 km的二道沟金矿却为中型矿床[8 -10 ] .2个金矿床均形成于中生代,Pb同位素显示矿质来源具有一致性和深源性[9 ] ,成矿均与燕山运动晚期板内岩浆活动及其构造体制转化关系密切[7 ,9 ] ,矿床规模却相差较大,二道沟金矿1号和3号脉目前的开采深度达875 m. ...
... [7 ,9 ],矿床规模却相差较大,二道沟金矿1号和3号脉目前的开采深度达875 m. ...
... 二道沟金矿位于华北克拉通北缘的努鲁儿虎隆起带上[20 ] ,被NE向北票—承德断裂和近EW向赤峰—开源深大断裂带所围限(图1 ).矿区内还发育有多条NE向次级断裂,将该区划分为多条拗陷带和构造—岩浆隆起带.区域范围内出露的基底地层主要为太古宇建平群变质岩,呈NEE-SWW向分布在努鲁儿虎隆起带花岗岩的两侧[2 ,7 ,21 ] ,中生界侏罗系陆相火山岩主要分布在隆起带东南部、西部和西北部的拗陷盆地中.区域内金矿床分布具有NE向成串的特征,均位于或紧临老变质岩系,虽然成矿时代不同,但主要形成于中生代且集中在140 Ma前后,与燕山期多次构造岩浆活动有关[6 -7 ,9 ] .区域内金矿床的产出环境、成矿条件和赋矿围岩等虽存在明显差异,但均属于同成矿构造期的产物,与进入中生代以后华北克拉通经历构造热液活化及岩石圈破坏有关[9 ,22 ] . ...
... -7 ,9 ].区域内金矿床的产出环境、成矿条件和赋矿围岩等虽存在明显差异,但均属于同成矿构造期的产物,与进入中生代以后华北克拉通经历构造热液活化及岩石圈破坏有关[9 ,22 ] . ...
... 矿区内地层主要为太古宇角闪岩相变质岩系和中生界侏罗系流纹岩、火山爆破角砾岩、火山熔结角砾岩和火山碎屑岩等陆相火山岩,变质岩系分布在矿区的北西部.矿区主要侵入岩有娄上岩体、西台子岩体和对面沟岩体(图2 ).矿区主要分布有NW、NE和近EW向3组断裂,矿脉整体沿对面沟岩体呈放射状分布,产于岩体侵位时形成的环状、放射状构造裂隙或接触带[3 ,7 ,9 ,23 ] .二道沟金矿矿脉主要呈NW和近EW向展布,NW向矿脉集中分布在矿区中部,典型矿脉有1号、3号、5号和5-1号脉,位于对面沟岩体的东侧,呈左旋分布特征. ...
内蒙古赤峰金厂沟梁金矿区花岗岩类年代学、地球化学特征及其地质意义
5
2014
... 辽宁二道沟金矿位于华北克拉通北缘,北部紧临兴蒙造山带.前人对辽宁二道沟金矿床成因展开了较多研究,基本确定了流体和成矿物质来源于深部壳幔混源岩浆,与对面沟岩体有关[1 -4 ] ,成矿年龄为中生代早白垩世,形成于燕山晚期岩石圈减薄环境[3 ,5 -7 ] ,为受构造裂隙控制的岩浆热液型矿床[2 -3 ] .内蒙古金厂沟梁—辽宁二道沟矿集区属于燕辽成矿带,估测该成矿带内金资源储量有200~500 t,金厂沟梁金矿为大型金矿,而与其相邻5 km的二道沟金矿却为中型矿床[8 -10 ] .2个金矿床均形成于中生代,Pb同位素显示矿质来源具有一致性和深源性[9 ] ,成矿均与燕山运动晚期板内岩浆活动及其构造体制转化关系密切[7 ,9 ] ,矿床规模却相差较大,二道沟金矿1号和3号脉目前的开采深度达875 m. ...
... [7 ,9 ],矿床规模却相差较大,二道沟金矿1号和3号脉目前的开采深度达875 m. ...
... 二道沟金矿位于华北克拉通北缘的努鲁儿虎隆起带上[20 ] ,被NE向北票—承德断裂和近EW向赤峰—开源深大断裂带所围限(图1 ).矿区内还发育有多条NE向次级断裂,将该区划分为多条拗陷带和构造—岩浆隆起带.区域范围内出露的基底地层主要为太古宇建平群变质岩,呈NEE-SWW向分布在努鲁儿虎隆起带花岗岩的两侧[2 ,7 ,21 ] ,中生界侏罗系陆相火山岩主要分布在隆起带东南部、西部和西北部的拗陷盆地中.区域内金矿床分布具有NE向成串的特征,均位于或紧临老变质岩系,虽然成矿时代不同,但主要形成于中生代且集中在140 Ma前后,与燕山期多次构造岩浆活动有关[6 -7 ,9 ] .区域内金矿床的产出环境、成矿条件和赋矿围岩等虽存在明显差异,但均属于同成矿构造期的产物,与进入中生代以后华北克拉通经历构造热液活化及岩石圈破坏有关[9 ,22 ] . ...
... -7 ,9 ].区域内金矿床的产出环境、成矿条件和赋矿围岩等虽存在明显差异,但均属于同成矿构造期的产物,与进入中生代以后华北克拉通经历构造热液活化及岩石圈破坏有关[9 ,22 ] . ...
... 矿区内地层主要为太古宇角闪岩相变质岩系和中生界侏罗系流纹岩、火山爆破角砾岩、火山熔结角砾岩和火山碎屑岩等陆相火山岩,变质岩系分布在矿区的北西部.矿区主要侵入岩有娄上岩体、西台子岩体和对面沟岩体(图2 ).矿区主要分布有NW、NE和近EW向3组断裂,矿脉整体沿对面沟岩体呈放射状分布,产于岩体侵位时形成的环状、放射状构造裂隙或接触带[3 ,7 ,9 ,23 ] .二道沟金矿矿脉主要呈NW和近EW向展布,NW向矿脉集中分布在矿区中部,典型矿脉有1号、3号、5号和5-1号脉,位于对面沟岩体的东侧,呈左旋分布特征. ...
中国金矿成矿地质特征、预测模型及资源潜力
1
2018
... 辽宁二道沟金矿位于华北克拉通北缘,北部紧临兴蒙造山带.前人对辽宁二道沟金矿床成因展开了较多研究,基本确定了流体和成矿物质来源于深部壳幔混源岩浆,与对面沟岩体有关[1 -4 ] ,成矿年龄为中生代早白垩世,形成于燕山晚期岩石圈减薄环境[3 ,5 -7 ] ,为受构造裂隙控制的岩浆热液型矿床[2 -3 ] .内蒙古金厂沟梁—辽宁二道沟矿集区属于燕辽成矿带,估测该成矿带内金资源储量有200~500 t,金厂沟梁金矿为大型金矿,而与其相邻5 km的二道沟金矿却为中型矿床[8 -10 ] .2个金矿床均形成于中生代,Pb同位素显示矿质来源具有一致性和深源性[9 ] ,成矿均与燕山运动晚期板内岩浆活动及其构造体制转化关系密切[7 ,9 ] ,矿床规模却相差较大,二道沟金矿1号和3号脉目前的开采深度达875 m. ...
中国金矿成矿地质特征、预测模型及资源潜力
1
2018
... 辽宁二道沟金矿位于华北克拉通北缘,北部紧临兴蒙造山带.前人对辽宁二道沟金矿床成因展开了较多研究,基本确定了流体和成矿物质来源于深部壳幔混源岩浆,与对面沟岩体有关[1 -4 ] ,成矿年龄为中生代早白垩世,形成于燕山晚期岩石圈减薄环境[3 ,5 -7 ] ,为受构造裂隙控制的岩浆热液型矿床[2 -3 ] .内蒙古金厂沟梁—辽宁二道沟矿集区属于燕辽成矿带,估测该成矿带内金资源储量有200~500 t,金厂沟梁金矿为大型金矿,而与其相邻5 km的二道沟金矿却为中型矿床[8 -10 ] .2个金矿床均形成于中生代,Pb同位素显示矿质来源具有一致性和深源性[9 ] ,成矿均与燕山运动晚期板内岩浆活动及其构造体制转化关系密切[7 ,9 ] ,矿床规模却相差较大,二道沟金矿1号和3号脉目前的开采深度达875 m. ...
冀东—辽西主要金矿矿集区地质特征的差异性与成矿作用的统一性探析
5
2011
... 辽宁二道沟金矿位于华北克拉通北缘,北部紧临兴蒙造山带.前人对辽宁二道沟金矿床成因展开了较多研究,基本确定了流体和成矿物质来源于深部壳幔混源岩浆,与对面沟岩体有关[1 -4 ] ,成矿年龄为中生代早白垩世,形成于燕山晚期岩石圈减薄环境[3 ,5 -7 ] ,为受构造裂隙控制的岩浆热液型矿床[2 -3 ] .内蒙古金厂沟梁—辽宁二道沟矿集区属于燕辽成矿带,估测该成矿带内金资源储量有200~500 t,金厂沟梁金矿为大型金矿,而与其相邻5 km的二道沟金矿却为中型矿床[8 -10 ] .2个金矿床均形成于中生代,Pb同位素显示矿质来源具有一致性和深源性[9 ] ,成矿均与燕山运动晚期板内岩浆活动及其构造体制转化关系密切[7 ,9 ] ,矿床规模却相差较大,二道沟金矿1号和3号脉目前的开采深度达875 m. ...
... ,9 ],矿床规模却相差较大,二道沟金矿1号和3号脉目前的开采深度达875 m. ...
... 二道沟金矿位于华北克拉通北缘的努鲁儿虎隆起带上[20 ] ,被NE向北票—承德断裂和近EW向赤峰—开源深大断裂带所围限(图1 ).矿区内还发育有多条NE向次级断裂,将该区划分为多条拗陷带和构造—岩浆隆起带.区域范围内出露的基底地层主要为太古宇建平群变质岩,呈NEE-SWW向分布在努鲁儿虎隆起带花岗岩的两侧[2 ,7 ,21 ] ,中生界侏罗系陆相火山岩主要分布在隆起带东南部、西部和西北部的拗陷盆地中.区域内金矿床分布具有NE向成串的特征,均位于或紧临老变质岩系,虽然成矿时代不同,但主要形成于中生代且集中在140 Ma前后,与燕山期多次构造岩浆活动有关[6 -7 ,9 ] .区域内金矿床的产出环境、成矿条件和赋矿围岩等虽存在明显差异,但均属于同成矿构造期的产物,与进入中生代以后华北克拉通经历构造热液活化及岩石圈破坏有关[9 ,22 ] . ...
... [9 ,22 ]. ...
... 矿区内地层主要为太古宇角闪岩相变质岩系和中生界侏罗系流纹岩、火山爆破角砾岩、火山熔结角砾岩和火山碎屑岩等陆相火山岩,变质岩系分布在矿区的北西部.矿区主要侵入岩有娄上岩体、西台子岩体和对面沟岩体(图2 ).矿区主要分布有NW、NE和近EW向3组断裂,矿脉整体沿对面沟岩体呈放射状分布,产于岩体侵位时形成的环状、放射状构造裂隙或接触带[3 ,7 ,9 ,23 ] .二道沟金矿矿脉主要呈NW和近EW向展布,NW向矿脉集中分布在矿区中部,典型矿脉有1号、3号、5号和5-1号脉,位于对面沟岩体的东侧,呈左旋分布特征. ...
冀东—辽西主要金矿矿集区地质特征的差异性与成矿作用的统一性探析
5
2011
... 辽宁二道沟金矿位于华北克拉通北缘,北部紧临兴蒙造山带.前人对辽宁二道沟金矿床成因展开了较多研究,基本确定了流体和成矿物质来源于深部壳幔混源岩浆,与对面沟岩体有关[1 -4 ] ,成矿年龄为中生代早白垩世,形成于燕山晚期岩石圈减薄环境[3 ,5 -7 ] ,为受构造裂隙控制的岩浆热液型矿床[2 -3 ] .内蒙古金厂沟梁—辽宁二道沟矿集区属于燕辽成矿带,估测该成矿带内金资源储量有200~500 t,金厂沟梁金矿为大型金矿,而与其相邻5 km的二道沟金矿却为中型矿床[8 -10 ] .2个金矿床均形成于中生代,Pb同位素显示矿质来源具有一致性和深源性[9 ] ,成矿均与燕山运动晚期板内岩浆活动及其构造体制转化关系密切[7 ,9 ] ,矿床规模却相差较大,二道沟金矿1号和3号脉目前的开采深度达875 m. ...
... ,9 ],矿床规模却相差较大,二道沟金矿1号和3号脉目前的开采深度达875 m. ...
... 二道沟金矿位于华北克拉通北缘的努鲁儿虎隆起带上[20 ] ,被NE向北票—承德断裂和近EW向赤峰—开源深大断裂带所围限(图1 ).矿区内还发育有多条NE向次级断裂,将该区划分为多条拗陷带和构造—岩浆隆起带.区域范围内出露的基底地层主要为太古宇建平群变质岩,呈NEE-SWW向分布在努鲁儿虎隆起带花岗岩的两侧[2 ,7 ,21 ] ,中生界侏罗系陆相火山岩主要分布在隆起带东南部、西部和西北部的拗陷盆地中.区域内金矿床分布具有NE向成串的特征,均位于或紧临老变质岩系,虽然成矿时代不同,但主要形成于中生代且集中在140 Ma前后,与燕山期多次构造岩浆活动有关[6 -7 ,9 ] .区域内金矿床的产出环境、成矿条件和赋矿围岩等虽存在明显差异,但均属于同成矿构造期的产物,与进入中生代以后华北克拉通经历构造热液活化及岩石圈破坏有关[9 ,22 ] . ...
... [9 ,22 ]. ...
... 矿区内地层主要为太古宇角闪岩相变质岩系和中生界侏罗系流纹岩、火山爆破角砾岩、火山熔结角砾岩和火山碎屑岩等陆相火山岩,变质岩系分布在矿区的北西部.矿区主要侵入岩有娄上岩体、西台子岩体和对面沟岩体(图2 ).矿区主要分布有NW、NE和近EW向3组断裂,矿脉整体沿对面沟岩体呈放射状分布,产于岩体侵位时形成的环状、放射状构造裂隙或接触带[3 ,7 ,9 ,23 ] .二道沟金矿矿脉主要呈NW和近EW向展布,NW向矿脉集中分布在矿区中部,典型矿脉有1号、3号、5号和5-1号脉,位于对面沟岩体的东侧,呈左旋分布特征. ...
中国金矿集区及其资源潜力探讨
1
2012
... 辽宁二道沟金矿位于华北克拉通北缘,北部紧临兴蒙造山带.前人对辽宁二道沟金矿床成因展开了较多研究,基本确定了流体和成矿物质来源于深部壳幔混源岩浆,与对面沟岩体有关[1 -4 ] ,成矿年龄为中生代早白垩世,形成于燕山晚期岩石圈减薄环境[3 ,5 -7 ] ,为受构造裂隙控制的岩浆热液型矿床[2 -3 ] .内蒙古金厂沟梁—辽宁二道沟矿集区属于燕辽成矿带,估测该成矿带内金资源储量有200~500 t,金厂沟梁金矿为大型金矿,而与其相邻5 km的二道沟金矿却为中型矿床[8 -10 ] .2个金矿床均形成于中生代,Pb同位素显示矿质来源具有一致性和深源性[9 ] ,成矿均与燕山运动晚期板内岩浆活动及其构造体制转化关系密切[7 ,9 ] ,矿床规模却相差较大,二道沟金矿1号和3号脉目前的开采深度达875 m. ...
中国金矿集区及其资源潜力探讨
1
2012
... 辽宁二道沟金矿位于华北克拉通北缘,北部紧临兴蒙造山带.前人对辽宁二道沟金矿床成因展开了较多研究,基本确定了流体和成矿物质来源于深部壳幔混源岩浆,与对面沟岩体有关[1 -4 ] ,成矿年龄为中生代早白垩世,形成于燕山晚期岩石圈减薄环境[3 ,5 -7 ] ,为受构造裂隙控制的岩浆热液型矿床[2 -3 ] .内蒙古金厂沟梁—辽宁二道沟矿集区属于燕辽成矿带,估测该成矿带内金资源储量有200~500 t,金厂沟梁金矿为大型金矿,而与其相邻5 km的二道沟金矿却为中型矿床[8 -10 ] .2个金矿床均形成于中生代,Pb同位素显示矿质来源具有一致性和深源性[9 ] ,成矿均与燕山运动晚期板内岩浆活动及其构造体制转化关系密切[7 ,9 ] ,矿床规模却相差较大,二道沟金矿1号和3号脉目前的开采深度达875 m. ...
Pyrite as a record of hydrothermal fluid evolution in a porphyry copper system:A SIMS/EMPA trace element study
1
2013
... 黄铁矿是热液金矿床矿化阶段的主要产物[11 ] .高振敏等[12 ] 统计了102个金矿床,其中85%的金矿床以黄铁矿为主要载金矿物.自20世纪80年代起,我国学者开始将黄铁矿热电性研究应用于金矿床深部找矿预测中并取得了良好效果[13 -16 ] .前人对二道沟金矿深部找矿预测方面的研究比较薄弱,已有研究主要有:徐万臣等[17 ] 通过研究二道沟金矿区其他矿脉黄铁矿标型特征,提出了黄铁矿找矿标志;李志国等[18 ] 通过黄铁矿激光拉曼特征,预测得到3号脉深部存在成矿空间;王鹏等[19 ] 利用黄铁矿热电性对3号脉500 m以浅部分进行预测.除上述研究之外,对二道沟金矿1号和3号脉的系统性研究工作比较缺乏,在一定程度上制约了二道沟金矿深部找矿工作. ...
黄铁矿载金的原因和特征
1
2000
... 黄铁矿是热液金矿床矿化阶段的主要产物[11 ] .高振敏等[12 ] 统计了102个金矿床,其中85%的金矿床以黄铁矿为主要载金矿物.自20世纪80年代起,我国学者开始将黄铁矿热电性研究应用于金矿床深部找矿预测中并取得了良好效果[13 -16 ] .前人对二道沟金矿深部找矿预测方面的研究比较薄弱,已有研究主要有:徐万臣等[17 ] 通过研究二道沟金矿区其他矿脉黄铁矿标型特征,提出了黄铁矿找矿标志;李志国等[18 ] 通过黄铁矿激光拉曼特征,预测得到3号脉深部存在成矿空间;王鹏等[19 ] 利用黄铁矿热电性对3号脉500 m以浅部分进行预测.除上述研究之外,对二道沟金矿1号和3号脉的系统性研究工作比较缺乏,在一定程度上制约了二道沟金矿深部找矿工作. ...
黄铁矿载金的原因和特征
1
2000
... 黄铁矿是热液金矿床矿化阶段的主要产物[11 ] .高振敏等[12 ] 统计了102个金矿床,其中85%的金矿床以黄铁矿为主要载金矿物.自20世纪80年代起,我国学者开始将黄铁矿热电性研究应用于金矿床深部找矿预测中并取得了良好效果[13 -16 ] .前人对二道沟金矿深部找矿预测方面的研究比较薄弱,已有研究主要有:徐万臣等[17 ] 通过研究二道沟金矿区其他矿脉黄铁矿标型特征,提出了黄铁矿找矿标志;李志国等[18 ] 通过黄铁矿激光拉曼特征,预测得到3号脉深部存在成矿空间;王鹏等[19 ] 利用黄铁矿热电性对3号脉500 m以浅部分进行预测.除上述研究之外,对二道沟金矿1号和3号脉的系统性研究工作比较缺乏,在一定程度上制约了二道沟金矿深部找矿工作. ...
黄铁矿热电性研究方法及其在胶东金矿的应用
2
1990
... 黄铁矿是热液金矿床矿化阶段的主要产物[11 ] .高振敏等[12 ] 统计了102个金矿床,其中85%的金矿床以黄铁矿为主要载金矿物.自20世纪80年代起,我国学者开始将黄铁矿热电性研究应用于金矿床深部找矿预测中并取得了良好效果[13 -16 ] .前人对二道沟金矿深部找矿预测方面的研究比较薄弱,已有研究主要有:徐万臣等[17 ] 通过研究二道沟金矿区其他矿脉黄铁矿标型特征,提出了黄铁矿找矿标志;李志国等[18 ] 通过黄铁矿激光拉曼特征,预测得到3号脉深部存在成矿空间;王鹏等[19 ] 利用黄铁矿热电性对3号脉500 m以浅部分进行预测.除上述研究之外,对二道沟金矿1号和3号脉的系统性研究工作比较缺乏,在一定程度上制约了二道沟金矿深部找矿工作. ...
... 黄铁矿热电系数离散度(σα ´)能够准确反映相差较大的不同样品的热电系数值相对集中与分散的情况[13 ,24 ] .离散度的计算方法见式(5) : ...
黄铁矿热电性研究方法及其在胶东金矿的应用
2
1990
... 黄铁矿是热液金矿床矿化阶段的主要产物[11 ] .高振敏等[12 ] 统计了102个金矿床,其中85%的金矿床以黄铁矿为主要载金矿物.自20世纪80年代起,我国学者开始将黄铁矿热电性研究应用于金矿床深部找矿预测中并取得了良好效果[13 -16 ] .前人对二道沟金矿深部找矿预测方面的研究比较薄弱,已有研究主要有:徐万臣等[17 ] 通过研究二道沟金矿区其他矿脉黄铁矿标型特征,提出了黄铁矿找矿标志;李志国等[18 ] 通过黄铁矿激光拉曼特征,预测得到3号脉深部存在成矿空间;王鹏等[19 ] 利用黄铁矿热电性对3号脉500 m以浅部分进行预测.除上述研究之外,对二道沟金矿1号和3号脉的系统性研究工作比较缺乏,在一定程度上制约了二道沟金矿深部找矿工作. ...
... 黄铁矿热电系数离散度(σα ´)能够准确反映相差较大的不同样品的热电系数值相对集中与分散的情况[13 ,24 ] .离散度的计算方法见式(5) : ...
河北省灵寿县西石门金矿黄铁矿热电性标型及其找矿意义
0
2013
河北省灵寿县西石门金矿黄铁矿热电性标型及其找矿意义
0
2013
陕西省铧厂沟金矿床主矿带黄铁矿热电性特征及其地质意义
4
2013
... 根据P型黄铁矿出现率随标高的变化以及计算得到的相应的剥蚀率、热电性参数和离散度可以预测矿脉深部延伸情况,指示成矿环境和矿化程度[15 ,24 ,26 -28 ] . ...
... P型黄铁矿主要集中在矿脉的上部,靠近下部N型黄铁矿逐渐增加[15 -16 ,26 ] .330 m、-125 m和 -305 m中段处于1号脉的上部,由图11 可知,P型黄铁矿出现率在250 m、-35 m和-215 m中段由降低转为增加,在-215 m中段深部未见明显降低的趋势,且出现率高达80%~90%,以P型黄铁矿占据绝大多数,说明以上中段为矿脉尾部向新叠加矿脉头部转换的部位,-215 m深部还有很大的延伸.在3号脉-170 m中段深部P型黄铁矿出现率开始增加且该中段处于矿脉的下部,说明该中段深部开始出现新叠加矿脉的头部,符合X NP 均值标识结果,在 -215 m中段深部又开始由增加转为降低,N型黄铁矿开始增加,说明深部仍有部分延伸. ...
... 式中:α ¯ 为黄铁矿样品热电系数的平均值;σα 为热电系数的标准差(μV/°C).由式(5) 可知,离散度数值越大,指示黄铁矿热电系数的分散程度越大,黄铁矿形成时的环境越不稳定,反之则黄铁矿形成时的环境越稳定.离散度也可以指示不同阶段黄铁矿的叠加程度,早期叠加较强时以N型黄铁矿为主,晚期叠加较强时以P型黄铁矿为主,以上2种情况成矿环境均比较稳定,当2期叠加程度相近时,成矿环境会发生剧烈波动[15 -16 ] . ...
... 由离散度与P型黄铁矿出现率关系图可知,图形形态具有类似正态分布的特征[图12 (a)、12 (b)],图形突峰左侧数值区间对应低离散度和低P型黄铁矿出现率,右侧数值区间对应低离散度和高P型黄铁矿出现率,分别指示矿化较差和矿化好,图形突峰处离散度高且P型黄铁矿出现率较高,指示矿化不连续[15 -16 ,27 ,31 ] .1号脉P型黄铁矿出现率小于30%和大于60%时,以早期和晚期叠加为主,离散度较小,在200%以内,当接近50%左右时,离散度呈指数形态增长[图12 (a)].1号脉离散度在 -215 m中段深部逐渐减小并小于200%[图12 (c)],且由表1 计算得该标高深部各中段P型黄铁矿出现率均值均大于90%,P型黄铁矿出现率很高且离散度低,说明该中段深部金矿化很好.3号脉P型黄铁矿出现率小于40%和大于60%时离散度较小,在1 000%以内,在两者之间离散度呈指数形态增长[图12 (b)].3号脉在-35 m中段深部,离散度整体小于1 000%,仅在-260 m中段出现个别离散度较大的点[图12 (d)],由表2 计算得-260 m中段深部P型黄铁矿出现率均值为71%,P型黄铁矿出现率较高且离散度低,说明该中段深部金矿化较好. ...
陕西省铧厂沟金矿床主矿带黄铁矿热电性特征及其地质意义
4
2013
... 根据P型黄铁矿出现率随标高的变化以及计算得到的相应的剥蚀率、热电性参数和离散度可以预测矿脉深部延伸情况,指示成矿环境和矿化程度[15 ,24 ,26 -28 ] . ...
... P型黄铁矿主要集中在矿脉的上部,靠近下部N型黄铁矿逐渐增加[15 -16 ,26 ] .330 m、-125 m和 -305 m中段处于1号脉的上部,由图11 可知,P型黄铁矿出现率在250 m、-35 m和-215 m中段由降低转为增加,在-215 m中段深部未见明显降低的趋势,且出现率高达80%~90%,以P型黄铁矿占据绝大多数,说明以上中段为矿脉尾部向新叠加矿脉头部转换的部位,-215 m深部还有很大的延伸.在3号脉-170 m中段深部P型黄铁矿出现率开始增加且该中段处于矿脉的下部,说明该中段深部开始出现新叠加矿脉的头部,符合X NP 均值标识结果,在 -215 m中段深部又开始由增加转为降低,N型黄铁矿开始增加,说明深部仍有部分延伸. ...
... 式中:α ¯ 为黄铁矿样品热电系数的平均值;σα 为热电系数的标准差(μV/°C).由式(5) 可知,离散度数值越大,指示黄铁矿热电系数的分散程度越大,黄铁矿形成时的环境越不稳定,反之则黄铁矿形成时的环境越稳定.离散度也可以指示不同阶段黄铁矿的叠加程度,早期叠加较强时以N型黄铁矿为主,晚期叠加较强时以P型黄铁矿为主,以上2种情况成矿环境均比较稳定,当2期叠加程度相近时,成矿环境会发生剧烈波动[15 -16 ] . ...
... 由离散度与P型黄铁矿出现率关系图可知,图形形态具有类似正态分布的特征[图12 (a)、12 (b)],图形突峰左侧数值区间对应低离散度和低P型黄铁矿出现率,右侧数值区间对应低离散度和高P型黄铁矿出现率,分别指示矿化较差和矿化好,图形突峰处离散度高且P型黄铁矿出现率较高,指示矿化不连续[15 -16 ,27 ,31 ] .1号脉P型黄铁矿出现率小于30%和大于60%时,以早期和晚期叠加为主,离散度较小,在200%以内,当接近50%左右时,离散度呈指数形态增长[图12 (a)].1号脉离散度在 -215 m中段深部逐渐减小并小于200%[图12 (c)],且由表1 计算得该标高深部各中段P型黄铁矿出现率均值均大于90%,P型黄铁矿出现率很高且离散度低,说明该中段深部金矿化很好.3号脉P型黄铁矿出现率小于40%和大于60%时离散度较小,在1 000%以内,在两者之间离散度呈指数形态增长[图12 (b)].3号脉在-35 m中段深部,离散度整体小于1 000%,仅在-260 m中段出现个别离散度较大的点[图12 (d)],由表2 计算得-260 m中段深部P型黄铁矿出现率均值为71%,P型黄铁矿出现率较高且离散度低,说明该中段深部金矿化较好. ...
内蒙古新地沟金矿床黄铁矿热电性特征及深部找矿意义
6
2018
... 黄铁矿是热液金矿床矿化阶段的主要产物[11 ] .高振敏等[12 ] 统计了102个金矿床,其中85%的金矿床以黄铁矿为主要载金矿物.自20世纪80年代起,我国学者开始将黄铁矿热电性研究应用于金矿床深部找矿预测中并取得了良好效果[13 -16 ] .前人对二道沟金矿深部找矿预测方面的研究比较薄弱,已有研究主要有:徐万臣等[17 ] 通过研究二道沟金矿区其他矿脉黄铁矿标型特征,提出了黄铁矿找矿标志;李志国等[18 ] 通过黄铁矿激光拉曼特征,预测得到3号脉深部存在成矿空间;王鹏等[19 ] 利用黄铁矿热电性对3号脉500 m以浅部分进行预测.除上述研究之外,对二道沟金矿1号和3号脉的系统性研究工作比较缺乏,在一定程度上制约了二道沟金矿深部找矿工作. ...
... 由式(4)可知,P型黄铁矿热电系数值越大,矿脉剥蚀率越低,深部找矿前景越好.当遇到剥蚀率由小到大转折时,表明该矿脉以下仍有部分延伸,找矿前景较好.通常,矿脉不同部位对应的X NP 值分别为200~100(最上部)、100~50(上部)、50~ -50(中部)、-50~-100(下部)和-100~-200(最下部),由于同一标高不同位置的样品可能由不同成矿阶段形成,所以常用X NP 和γ 的均值来判断矿脉的延伸[16 ,31 ] . ...
... P型黄铁矿主要集中在矿脉的上部,靠近下部N型黄铁矿逐渐增加[15 -16 ,26 ] .330 m、-125 m和 -305 m中段处于1号脉的上部,由图11 可知,P型黄铁矿出现率在250 m、-35 m和-215 m中段由降低转为增加,在-215 m中段深部未见明显降低的趋势,且出现率高达80%~90%,以P型黄铁矿占据绝大多数,说明以上中段为矿脉尾部向新叠加矿脉头部转换的部位,-215 m深部还有很大的延伸.在3号脉-170 m中段深部P型黄铁矿出现率开始增加且该中段处于矿脉的下部,说明该中段深部开始出现新叠加矿脉的头部,符合X NP 均值标识结果,在 -215 m中段深部又开始由增加转为降低,N型黄铁矿开始增加,说明深部仍有部分延伸. ...
... 式中:α ¯ 为黄铁矿样品热电系数的平均值;σα 为热电系数的标准差(μV/°C).由式(5) 可知,离散度数值越大,指示黄铁矿热电系数的分散程度越大,黄铁矿形成时的环境越不稳定,反之则黄铁矿形成时的环境越稳定.离散度也可以指示不同阶段黄铁矿的叠加程度,早期叠加较强时以N型黄铁矿为主,晚期叠加较强时以P型黄铁矿为主,以上2种情况成矿环境均比较稳定,当2期叠加程度相近时,成矿环境会发生剧烈波动[15 -16 ] . ...
... 由离散度与P型黄铁矿出现率关系图可知,图形形态具有类似正态分布的特征[图12 (a)、12 (b)],图形突峰左侧数值区间对应低离散度和低P型黄铁矿出现率,右侧数值区间对应低离散度和高P型黄铁矿出现率,分别指示矿化较差和矿化好,图形突峰处离散度高且P型黄铁矿出现率较高,指示矿化不连续[15 -16 ,27 ,31 ] .1号脉P型黄铁矿出现率小于30%和大于60%时,以早期和晚期叠加为主,离散度较小,在200%以内,当接近50%左右时,离散度呈指数形态增长[图12 (a)].1号脉离散度在 -215 m中段深部逐渐减小并小于200%[图12 (c)],且由表1 计算得该标高深部各中段P型黄铁矿出现率均值均大于90%,P型黄铁矿出现率很高且离散度低,说明该中段深部金矿化很好.3号脉P型黄铁矿出现率小于40%和大于60%时离散度较小,在1 000%以内,在两者之间离散度呈指数形态增长[图12 (b)].3号脉在-35 m中段深部,离散度整体小于1 000%,仅在-260 m中段出现个别离散度较大的点[图12 (d)],由表2 计算得-260 m中段深部P型黄铁矿出现率均值为71%,P型黄铁矿出现率较高且离散度低,说明该中段深部金矿化较好. ...
... 根据离散度在不同标高的变化情况可以反映成矿环境的稳定性,发生离散度急增的中段表明成矿环境稳定性变差,离散度集中分布且数值小指示成矿环境比较稳定[16 ] .1号脉离散度小于200%的投点比大于200%的投点多,且分布比较集中,只在450 m和10 m中段出现急增,说明1号脉整体上离散度低,除以上中段外成矿环境很稳定[图12 (c)].3号脉离散度分布比较集中,整体小于1 000%,少部分小于2 000%,说明整体成矿环境稳定,在-260 m中段深部离散度开始由急增转为急降且小于1 000%,说明该中段深部金的成矿环境由动荡转为稳定[图12 (d)]. ...
内蒙古新地沟金矿床黄铁矿热电性特征及深部找矿意义
6
2018
... 黄铁矿是热液金矿床矿化阶段的主要产物[11 ] .高振敏等[12 ] 统计了102个金矿床,其中85%的金矿床以黄铁矿为主要载金矿物.自20世纪80年代起,我国学者开始将黄铁矿热电性研究应用于金矿床深部找矿预测中并取得了良好效果[13 -16 ] .前人对二道沟金矿深部找矿预测方面的研究比较薄弱,已有研究主要有:徐万臣等[17 ] 通过研究二道沟金矿区其他矿脉黄铁矿标型特征,提出了黄铁矿找矿标志;李志国等[18 ] 通过黄铁矿激光拉曼特征,预测得到3号脉深部存在成矿空间;王鹏等[19 ] 利用黄铁矿热电性对3号脉500 m以浅部分进行预测.除上述研究之外,对二道沟金矿1号和3号脉的系统性研究工作比较缺乏,在一定程度上制约了二道沟金矿深部找矿工作. ...
... 由式(4)可知,P型黄铁矿热电系数值越大,矿脉剥蚀率越低,深部找矿前景越好.当遇到剥蚀率由小到大转折时,表明该矿脉以下仍有部分延伸,找矿前景较好.通常,矿脉不同部位对应的X NP 值分别为200~100(最上部)、100~50(上部)、50~ -50(中部)、-50~-100(下部)和-100~-200(最下部),由于同一标高不同位置的样品可能由不同成矿阶段形成,所以常用X NP 和γ 的均值来判断矿脉的延伸[16 ,31 ] . ...
... P型黄铁矿主要集中在矿脉的上部,靠近下部N型黄铁矿逐渐增加[15 -16 ,26 ] .330 m、-125 m和 -305 m中段处于1号脉的上部,由图11 可知,P型黄铁矿出现率在250 m、-35 m和-215 m中段由降低转为增加,在-215 m中段深部未见明显降低的趋势,且出现率高达80%~90%,以P型黄铁矿占据绝大多数,说明以上中段为矿脉尾部向新叠加矿脉头部转换的部位,-215 m深部还有很大的延伸.在3号脉-170 m中段深部P型黄铁矿出现率开始增加且该中段处于矿脉的下部,说明该中段深部开始出现新叠加矿脉的头部,符合X NP 均值标识结果,在 -215 m中段深部又开始由增加转为降低,N型黄铁矿开始增加,说明深部仍有部分延伸. ...
... 式中:α ¯ 为黄铁矿样品热电系数的平均值;σα 为热电系数的标准差(μV/°C).由式(5) 可知,离散度数值越大,指示黄铁矿热电系数的分散程度越大,黄铁矿形成时的环境越不稳定,反之则黄铁矿形成时的环境越稳定.离散度也可以指示不同阶段黄铁矿的叠加程度,早期叠加较强时以N型黄铁矿为主,晚期叠加较强时以P型黄铁矿为主,以上2种情况成矿环境均比较稳定,当2期叠加程度相近时,成矿环境会发生剧烈波动[15 -16 ] . ...
... 由离散度与P型黄铁矿出现率关系图可知,图形形态具有类似正态分布的特征[图12 (a)、12 (b)],图形突峰左侧数值区间对应低离散度和低P型黄铁矿出现率,右侧数值区间对应低离散度和高P型黄铁矿出现率,分别指示矿化较差和矿化好,图形突峰处离散度高且P型黄铁矿出现率较高,指示矿化不连续[15 -16 ,27 ,31 ] .1号脉P型黄铁矿出现率小于30%和大于60%时,以早期和晚期叠加为主,离散度较小,在200%以内,当接近50%左右时,离散度呈指数形态增长[图12 (a)].1号脉离散度在 -215 m中段深部逐渐减小并小于200%[图12 (c)],且由表1 计算得该标高深部各中段P型黄铁矿出现率均值均大于90%,P型黄铁矿出现率很高且离散度低,说明该中段深部金矿化很好.3号脉P型黄铁矿出现率小于40%和大于60%时离散度较小,在1 000%以内,在两者之间离散度呈指数形态增长[图12 (b)].3号脉在-35 m中段深部,离散度整体小于1 000%,仅在-260 m中段出现个别离散度较大的点[图12 (d)],由表2 计算得-260 m中段深部P型黄铁矿出现率均值为71%,P型黄铁矿出现率较高且离散度低,说明该中段深部金矿化较好. ...
... 根据离散度在不同标高的变化情况可以反映成矿环境的稳定性,发生离散度急增的中段表明成矿环境稳定性变差,离散度集中分布且数值小指示成矿环境比较稳定[16 ] .1号脉离散度小于200%的投点比大于200%的投点多,且分布比较集中,只在450 m和10 m中段出现急增,说明1号脉整体上离散度低,除以上中段外成矿环境很稳定[图12 (c)].3号脉离散度分布比较集中,整体小于1 000%,少部分小于2 000%,说明整体成矿环境稳定,在-260 m中段深部离散度开始由急增转为急降且小于1 000%,说明该中段深部金的成矿环境由动荡转为稳定[图12 (d)]. ...
辽宁北票二道沟金矿床黄铁矿和石英找矿标型性研究
1
1992
... 黄铁矿是热液金矿床矿化阶段的主要产物[11 ] .高振敏等[12 ] 统计了102个金矿床,其中85%的金矿床以黄铁矿为主要载金矿物.自20世纪80年代起,我国学者开始将黄铁矿热电性研究应用于金矿床深部找矿预测中并取得了良好效果[13 -16 ] .前人对二道沟金矿深部找矿预测方面的研究比较薄弱,已有研究主要有:徐万臣等[17 ] 通过研究二道沟金矿区其他矿脉黄铁矿标型特征,提出了黄铁矿找矿标志;李志国等[18 ] 通过黄铁矿激光拉曼特征,预测得到3号脉深部存在成矿空间;王鹏等[19 ] 利用黄铁矿热电性对3号脉500 m以浅部分进行预测.除上述研究之外,对二道沟金矿1号和3号脉的系统性研究工作比较缺乏,在一定程度上制约了二道沟金矿深部找矿工作. ...
辽宁北票二道沟金矿床黄铁矿和石英找矿标型性研究
1
1992
... 黄铁矿是热液金矿床矿化阶段的主要产物[11 ] .高振敏等[12 ] 统计了102个金矿床,其中85%的金矿床以黄铁矿为主要载金矿物.自20世纪80年代起,我国学者开始将黄铁矿热电性研究应用于金矿床深部找矿预测中并取得了良好效果[13 -16 ] .前人对二道沟金矿深部找矿预测方面的研究比较薄弱,已有研究主要有:徐万臣等[17 ] 通过研究二道沟金矿区其他矿脉黄铁矿标型特征,提出了黄铁矿找矿标志;李志国等[18 ] 通过黄铁矿激光拉曼特征,预测得到3号脉深部存在成矿空间;王鹏等[19 ] 利用黄铁矿热电性对3号脉500 m以浅部分进行预测.除上述研究之外,对二道沟金矿1号和3号脉的系统性研究工作比较缺乏,在一定程度上制约了二道沟金矿深部找矿工作. ...
辽宁二道沟金矿床脉状矿体中黄铁矿热电性标型特征
1
2013
... 黄铁矿是热液金矿床矿化阶段的主要产物[11 ] .高振敏等[12 ] 统计了102个金矿床,其中85%的金矿床以黄铁矿为主要载金矿物.自20世纪80年代起,我国学者开始将黄铁矿热电性研究应用于金矿床深部找矿预测中并取得了良好效果[13 -16 ] .前人对二道沟金矿深部找矿预测方面的研究比较薄弱,已有研究主要有:徐万臣等[17 ] 通过研究二道沟金矿区其他矿脉黄铁矿标型特征,提出了黄铁矿找矿标志;李志国等[18 ] 通过黄铁矿激光拉曼特征,预测得到3号脉深部存在成矿空间;王鹏等[19 ] 利用黄铁矿热电性对3号脉500 m以浅部分进行预测.除上述研究之外,对二道沟金矿1号和3号脉的系统性研究工作比较缺乏,在一定程度上制约了二道沟金矿深部找矿工作. ...
辽宁二道沟金矿床脉状矿体中黄铁矿热电性标型特征
1
2013
... 黄铁矿是热液金矿床矿化阶段的主要产物[11 ] .高振敏等[12 ] 统计了102个金矿床,其中85%的金矿床以黄铁矿为主要载金矿物.自20世纪80年代起,我国学者开始将黄铁矿热电性研究应用于金矿床深部找矿预测中并取得了良好效果[13 -16 ] .前人对二道沟金矿深部找矿预测方面的研究比较薄弱,已有研究主要有:徐万臣等[17 ] 通过研究二道沟金矿区其他矿脉黄铁矿标型特征,提出了黄铁矿找矿标志;李志国等[18 ] 通过黄铁矿激光拉曼特征,预测得到3号脉深部存在成矿空间;王鹏等[19 ] 利用黄铁矿热电性对3号脉500 m以浅部分进行预测.除上述研究之外,对二道沟金矿1号和3号脉的系统性研究工作比较缺乏,在一定程度上制约了二道沟金矿深部找矿工作. ...
辽西北票二道沟金矿的成矿特点和黄铁矿热电性特征
2
2013
... 黄铁矿是热液金矿床矿化阶段的主要产物[11 ] .高振敏等[12 ] 统计了102个金矿床,其中85%的金矿床以黄铁矿为主要载金矿物.自20世纪80年代起,我国学者开始将黄铁矿热电性研究应用于金矿床深部找矿预测中并取得了良好效果[13 -16 ] .前人对二道沟金矿深部找矿预测方面的研究比较薄弱,已有研究主要有:徐万臣等[17 ] 通过研究二道沟金矿区其他矿脉黄铁矿标型特征,提出了黄铁矿找矿标志;李志国等[18 ] 通过黄铁矿激光拉曼特征,预测得到3号脉深部存在成矿空间;王鹏等[19 ] 利用黄铁矿热电性对3号脉500 m以浅部分进行预测.除上述研究之外,对二道沟金矿1号和3号脉的系统性研究工作比较缺乏,在一定程度上制约了二道沟金矿深部找矿工作. ...
... 将所有黄铁矿颗粒测试所得的温度进行统计分析,可知1号脉黄铁矿形成温度主要集中在80~300 ℃和320~380 ℃之间[图8 (a)],3号脉黄铁矿形成温度主要集中在130~280 ℃和305~380 ℃之间[图8 (b)],指示该矿床可能存在2个主矿化阶段.综合分析图7 可知,指示1号和3号脉成矿热液早期温度较高,在380 ℃左右,成矿温度主要集中在130~280 ℃之间,属于中低温热液矿床,与王鹏等[19 ] 利用黄铁矿热电性测得的成矿温度(150~300 ℃)接近. ...
辽西北票二道沟金矿的成矿特点和黄铁矿热电性特征
2
2013
... 黄铁矿是热液金矿床矿化阶段的主要产物[11 ] .高振敏等[12 ] 统计了102个金矿床,其中85%的金矿床以黄铁矿为主要载金矿物.自20世纪80年代起,我国学者开始将黄铁矿热电性研究应用于金矿床深部找矿预测中并取得了良好效果[13 -16 ] .前人对二道沟金矿深部找矿预测方面的研究比较薄弱,已有研究主要有:徐万臣等[17 ] 通过研究二道沟金矿区其他矿脉黄铁矿标型特征,提出了黄铁矿找矿标志;李志国等[18 ] 通过黄铁矿激光拉曼特征,预测得到3号脉深部存在成矿空间;王鹏等[19 ] 利用黄铁矿热电性对3号脉500 m以浅部分进行预测.除上述研究之外,对二道沟金矿1号和3号脉的系统性研究工作比较缺乏,在一定程度上制约了二道沟金矿深部找矿工作. ...
... 将所有黄铁矿颗粒测试所得的温度进行统计分析,可知1号脉黄铁矿形成温度主要集中在80~300 ℃和320~380 ℃之间[图8 (a)],3号脉黄铁矿形成温度主要集中在130~280 ℃和305~380 ℃之间[图8 (b)],指示该矿床可能存在2个主矿化阶段.综合分析图7 可知,指示1号和3号脉成矿热液早期温度较高,在380 ℃左右,成矿温度主要集中在130~280 ℃之间,属于中低温热液矿床,与王鹏等[19 ] 利用黄铁矿热电性测得的成矿温度(150~300 ℃)接近. ...
赤峰—朝阳金矿化集中区元素分带特征及其应用
3
2006
... 二道沟金矿位于华北克拉通北缘的努鲁儿虎隆起带上[20 ] ,被NE向北票—承德断裂和近EW向赤峰—开源深大断裂带所围限(图1 ).矿区内还发育有多条NE向次级断裂,将该区划分为多条拗陷带和构造—岩浆隆起带.区域范围内出露的基底地层主要为太古宇建平群变质岩,呈NEE-SWW向分布在努鲁儿虎隆起带花岗岩的两侧[2 ,7 ,21 ] ,中生界侏罗系陆相火山岩主要分布在隆起带东南部、西部和西北部的拗陷盆地中.区域内金矿床分布具有NE向成串的特征,均位于或紧临老变质岩系,虽然成矿时代不同,但主要形成于中生代且集中在140 Ma前后,与燕山期多次构造岩浆活动有关[6 -7 ,9 ] .区域内金矿床的产出环境、成矿条件和赋矿围岩等虽存在明显差异,但均属于同成矿构造期的产物,与进入中生代以后华北克拉通经历构造热液活化及岩石圈破坏有关[9 ,22 ] . ...
... ]修改;图(b)据文献[
20 ]修改]
1.华力西期或燕山期花岗岩;2.太古宙变质岩;3.震旦系地层;4.晚古生代地层;5.新生代、中生代地层;6.主要断裂;7.主要金矿点;8.研究区 ...
... 1.华力西期或燕山期花岗岩;2.太古宙变质岩;3.震旦系地层;4.晚古生代地层;5.新生代、中生代地层;6.主要断裂;7.主要金矿点;8.研究区
Regional geological map of the Erdaogou gold deposit[Fig.(a) modified after reference[4 ];Fig.(b) modified after reference[20 ]] Fig.1 ![]()
2 矿区及矿床地质 2.1 矿区地质 矿区内地层主要为太古宇角闪岩相变质岩系和中生界侏罗系流纹岩、火山爆破角砾岩、火山熔结角砾岩和火山碎屑岩等陆相火山岩,变质岩系分布在矿区的北西部.矿区主要侵入岩有娄上岩体、西台子岩体和对面沟岩体(图2 ).矿区主要分布有NW、NE和近EW向3组断裂,矿脉整体沿对面沟岩体呈放射状分布,产于岩体侵位时形成的环状、放射状构造裂隙或接触带[3 ,7 ,9 ,23 ] .二道沟金矿矿脉主要呈NW和近EW向展布,NW向矿脉集中分布在矿区中部,典型矿脉有1号、3号、5号和5-1号脉,位于对面沟岩体的东侧,呈左旋分布特征. ...
赤峰—朝阳金矿化集中区元素分带特征及其应用
3
2006
... 二道沟金矿位于华北克拉通北缘的努鲁儿虎隆起带上[20 ] ,被NE向北票—承德断裂和近EW向赤峰—开源深大断裂带所围限(图1 ).矿区内还发育有多条NE向次级断裂,将该区划分为多条拗陷带和构造—岩浆隆起带.区域范围内出露的基底地层主要为太古宇建平群变质岩,呈NEE-SWW向分布在努鲁儿虎隆起带花岗岩的两侧[2 ,7 ,21 ] ,中生界侏罗系陆相火山岩主要分布在隆起带东南部、西部和西北部的拗陷盆地中.区域内金矿床分布具有NE向成串的特征,均位于或紧临老变质岩系,虽然成矿时代不同,但主要形成于中生代且集中在140 Ma前后,与燕山期多次构造岩浆活动有关[6 -7 ,9 ] .区域内金矿床的产出环境、成矿条件和赋矿围岩等虽存在明显差异,但均属于同成矿构造期的产物,与进入中生代以后华北克拉通经历构造热液活化及岩石圈破坏有关[9 ,22 ] . ...
... ]修改;图(b)据文献[
20 ]修改]
1.华力西期或燕山期花岗岩;2.太古宙变质岩;3.震旦系地层;4.晚古生代地层;5.新生代、中生代地层;6.主要断裂;7.主要金矿点;8.研究区 ...
... 1.华力西期或燕山期花岗岩;2.太古宙变质岩;3.震旦系地层;4.晚古生代地层;5.新生代、中生代地层;6.主要断裂;7.主要金矿点;8.研究区
Regional geological map of the Erdaogou gold deposit[Fig.(a) modified after reference[4 ];Fig.(b) modified after reference[20 ]] Fig.1 ![]()
2 矿区及矿床地质 2.1 矿区地质 矿区内地层主要为太古宇角闪岩相变质岩系和中生界侏罗系流纹岩、火山爆破角砾岩、火山熔结角砾岩和火山碎屑岩等陆相火山岩,变质岩系分布在矿区的北西部.矿区主要侵入岩有娄上岩体、西台子岩体和对面沟岩体(图2 ).矿区主要分布有NW、NE和近EW向3组断裂,矿脉整体沿对面沟岩体呈放射状分布,产于岩体侵位时形成的环状、放射状构造裂隙或接触带[3 ,7 ,9 ,23 ] .二道沟金矿矿脉主要呈NW和近EW向展布,NW向矿脉集中分布在矿区中部,典型矿脉有1号、3号、5号和5-1号脉,位于对面沟岩体的东侧,呈左旋分布特征. ...
辽西北票二道沟金矿的矿化特点及其意义
1
2013
... 二道沟金矿位于华北克拉通北缘的努鲁儿虎隆起带上[20 ] ,被NE向北票—承德断裂和近EW向赤峰—开源深大断裂带所围限(图1 ).矿区内还发育有多条NE向次级断裂,将该区划分为多条拗陷带和构造—岩浆隆起带.区域范围内出露的基底地层主要为太古宇建平群变质岩,呈NEE-SWW向分布在努鲁儿虎隆起带花岗岩的两侧[2 ,7 ,21 ] ,中生界侏罗系陆相火山岩主要分布在隆起带东南部、西部和西北部的拗陷盆地中.区域内金矿床分布具有NE向成串的特征,均位于或紧临老变质岩系,虽然成矿时代不同,但主要形成于中生代且集中在140 Ma前后,与燕山期多次构造岩浆活动有关[6 -7 ,9 ] .区域内金矿床的产出环境、成矿条件和赋矿围岩等虽存在明显差异,但均属于同成矿构造期的产物,与进入中生代以后华北克拉通经历构造热液活化及岩石圈破坏有关[9 ,22 ] . ...
辽西北票二道沟金矿的矿化特点及其意义
1
2013
... 二道沟金矿位于华北克拉通北缘的努鲁儿虎隆起带上[20 ] ,被NE向北票—承德断裂和近EW向赤峰—开源深大断裂带所围限(图1 ).矿区内还发育有多条NE向次级断裂,将该区划分为多条拗陷带和构造—岩浆隆起带.区域范围内出露的基底地层主要为太古宇建平群变质岩,呈NEE-SWW向分布在努鲁儿虎隆起带花岗岩的两侧[2 ,7 ,21 ] ,中生界侏罗系陆相火山岩主要分布在隆起带东南部、西部和西北部的拗陷盆地中.区域内金矿床分布具有NE向成串的特征,均位于或紧临老变质岩系,虽然成矿时代不同,但主要形成于中生代且集中在140 Ma前后,与燕山期多次构造岩浆活动有关[6 -7 ,9 ] .区域内金矿床的产出环境、成矿条件和赋矿围岩等虽存在明显差异,但均属于同成矿构造期的产物,与进入中生代以后华北克拉通经历构造热液活化及岩石圈破坏有关[9 ,22 ] . ...
华北克拉通金矿床区域成矿差异性分析
1
2018
... 二道沟金矿位于华北克拉通北缘的努鲁儿虎隆起带上[20 ] ,被NE向北票—承德断裂和近EW向赤峰—开源深大断裂带所围限(图1 ).矿区内还发育有多条NE向次级断裂,将该区划分为多条拗陷带和构造—岩浆隆起带.区域范围内出露的基底地层主要为太古宇建平群变质岩,呈NEE-SWW向分布在努鲁儿虎隆起带花岗岩的两侧[2 ,7 ,21 ] ,中生界侏罗系陆相火山岩主要分布在隆起带东南部、西部和西北部的拗陷盆地中.区域内金矿床分布具有NE向成串的特征,均位于或紧临老变质岩系,虽然成矿时代不同,但主要形成于中生代且集中在140 Ma前后,与燕山期多次构造岩浆活动有关[6 -7 ,9 ] .区域内金矿床的产出环境、成矿条件和赋矿围岩等虽存在明显差异,但均属于同成矿构造期的产物,与进入中生代以后华北克拉通经历构造热液活化及岩石圈破坏有关[9 ,22 ] . ...
华北克拉通金矿床区域成矿差异性分析
1
2018
... 二道沟金矿位于华北克拉通北缘的努鲁儿虎隆起带上[20 ] ,被NE向北票—承德断裂和近EW向赤峰—开源深大断裂带所围限(图1 ).矿区内还发育有多条NE向次级断裂,将该区划分为多条拗陷带和构造—岩浆隆起带.区域范围内出露的基底地层主要为太古宇建平群变质岩,呈NEE-SWW向分布在努鲁儿虎隆起带花岗岩的两侧[2 ,7 ,21 ] ,中生界侏罗系陆相火山岩主要分布在隆起带东南部、西部和西北部的拗陷盆地中.区域内金矿床分布具有NE向成串的特征,均位于或紧临老变质岩系,虽然成矿时代不同,但主要形成于中生代且集中在140 Ma前后,与燕山期多次构造岩浆活动有关[6 -7 ,9 ] .区域内金矿床的产出环境、成矿条件和赋矿围岩等虽存在明显差异,但均属于同成矿构造期的产物,与进入中生代以后华北克拉通经历构造热液活化及岩石圈破坏有关[9 ,22 ] . ...
辽宁北票二道沟金矿床地球化学特征及意义
1
2007
... 矿区内地层主要为太古宇角闪岩相变质岩系和中生界侏罗系流纹岩、火山爆破角砾岩、火山熔结角砾岩和火山碎屑岩等陆相火山岩,变质岩系分布在矿区的北西部.矿区主要侵入岩有娄上岩体、西台子岩体和对面沟岩体(图2 ).矿区主要分布有NW、NE和近EW向3组断裂,矿脉整体沿对面沟岩体呈放射状分布,产于岩体侵位时形成的环状、放射状构造裂隙或接触带[3 ,7 ,9 ,23 ] .二道沟金矿矿脉主要呈NW和近EW向展布,NW向矿脉集中分布在矿区中部,典型矿脉有1号、3号、5号和5-1号脉,位于对面沟岩体的东侧,呈左旋分布特征. ...
辽宁北票二道沟金矿床地球化学特征及意义
1
2007
... 矿区内地层主要为太古宇角闪岩相变质岩系和中生界侏罗系流纹岩、火山爆破角砾岩、火山熔结角砾岩和火山碎屑岩等陆相火山岩,变质岩系分布在矿区的北西部.矿区主要侵入岩有娄上岩体、西台子岩体和对面沟岩体(图2 ).矿区主要分布有NW、NE和近EW向3组断裂,矿脉整体沿对面沟岩体呈放射状分布,产于岩体侵位时形成的环状、放射状构造裂隙或接触带[3 ,7 ,9 ,23 ] .二道沟金矿矿脉主要呈NW和近EW向展布,NW向矿脉集中分布在矿区中部,典型矿脉有1号、3号、5号和5-1号脉,位于对面沟岩体的东侧,呈左旋分布特征. ...
胶东北部超高品位金矿黄铁矿热电性研究
3
2000
... 黄铁矿热电性通常包括导型和热电系数,黄铁矿是半导体矿物,由于温差的影响引起载流子的扩散从而形成电场,其导电类型划分为N型和P型,P型热电系数通常大于N型,且N型的热电系数为负值,P型为正值.由于高温环境有利于Co、Ni类质同象替代Fe,形成N型黄铁矿;低温环境有利于As、Sb替代S,形成P型黄铁矿,故黄铁矿形成的温度不同,导电类型也不同[24 ] .P型黄铁矿的含量通常与金品位成正比[25 ] ,黄铁矿导型在轴向上通常出现规律性变化,从矿脉的上部到尾部,导型由P型→P-N型→N-P型→N型变化. ...
... 根据P型黄铁矿出现率随标高的变化以及计算得到的相应的剥蚀率、热电性参数和离散度可以预测矿脉深部延伸情况,指示成矿环境和矿化程度[15 ,24 ,26 -28 ] . ...
... 黄铁矿热电系数离散度(σα ´)能够准确反映相差较大的不同样品的热电系数值相对集中与分散的情况[13 ,24 ] .离散度的计算方法见式(5) : ...
胶东北部超高品位金矿黄铁矿热电性研究
3
2000
... 黄铁矿热电性通常包括导型和热电系数,黄铁矿是半导体矿物,由于温差的影响引起载流子的扩散从而形成电场,其导电类型划分为N型和P型,P型热电系数通常大于N型,且N型的热电系数为负值,P型为正值.由于高温环境有利于Co、Ni类质同象替代Fe,形成N型黄铁矿;低温环境有利于As、Sb替代S,形成P型黄铁矿,故黄铁矿形成的温度不同,导电类型也不同[24 ] .P型黄铁矿的含量通常与金品位成正比[25 ] ,黄铁矿导型在轴向上通常出现规律性变化,从矿脉的上部到尾部,导型由P型→P-N型→N-P型→N型变化. ...
... 根据P型黄铁矿出现率随标高的变化以及计算得到的相应的剥蚀率、热电性参数和离散度可以预测矿脉深部延伸情况,指示成矿环境和矿化程度[15 ,24 ,26 -28 ] . ...
... 黄铁矿热电系数离散度(σα ´)能够准确反映相差较大的不同样品的热电系数值相对集中与分散的情况[13 ,24 ] .离散度的计算方法见式(5) : ...
太白金矿黄铁矿热电性及其在找矿中的应用
1
1999
... 黄铁矿热电性通常包括导型和热电系数,黄铁矿是半导体矿物,由于温差的影响引起载流子的扩散从而形成电场,其导电类型划分为N型和P型,P型热电系数通常大于N型,且N型的热电系数为负值,P型为正值.由于高温环境有利于Co、Ni类质同象替代Fe,形成N型黄铁矿;低温环境有利于As、Sb替代S,形成P型黄铁矿,故黄铁矿形成的温度不同,导电类型也不同[24 ] .P型黄铁矿的含量通常与金品位成正比[25 ] ,黄铁矿导型在轴向上通常出现规律性变化,从矿脉的上部到尾部,导型由P型→P-N型→N-P型→N型变化. ...
太白金矿黄铁矿热电性及其在找矿中的应用
1
1999
... 黄铁矿热电性通常包括导型和热电系数,黄铁矿是半导体矿物,由于温差的影响引起载流子的扩散从而形成电场,其导电类型划分为N型和P型,P型热电系数通常大于N型,且N型的热电系数为负值,P型为正值.由于高温环境有利于Co、Ni类质同象替代Fe,形成N型黄铁矿;低温环境有利于As、Sb替代S,形成P型黄铁矿,故黄铁矿形成的温度不同,导电类型也不同[24 ] .P型黄铁矿的含量通常与金品位成正比[25 ] ,黄铁矿导型在轴向上通常出现规律性变化,从矿脉的上部到尾部,导型由P型→P-N型→N-P型→N型变化. ...
河南嵩县前河金矿黄铁矿的热电性、热爆特征及其与金矿化的关系
2
2008
... 根据P型黄铁矿出现率随标高的变化以及计算得到的相应的剥蚀率、热电性参数和离散度可以预测矿脉深部延伸情况,指示成矿环境和矿化程度[15 ,24 ,26 -28 ] . ...
... P型黄铁矿主要集中在矿脉的上部,靠近下部N型黄铁矿逐渐增加[15 -16 ,26 ] .330 m、-125 m和 -305 m中段处于1号脉的上部,由图11 可知,P型黄铁矿出现率在250 m、-35 m和-215 m中段由降低转为增加,在-215 m中段深部未见明显降低的趋势,且出现率高达80%~90%,以P型黄铁矿占据绝大多数,说明以上中段为矿脉尾部向新叠加矿脉头部转换的部位,-215 m深部还有很大的延伸.在3号脉-170 m中段深部P型黄铁矿出现率开始增加且该中段处于矿脉的下部,说明该中段深部开始出现新叠加矿脉的头部,符合X NP 均值标识结果,在 -215 m中段深部又开始由增加转为降低,N型黄铁矿开始增加,说明深部仍有部分延伸. ...
河南嵩县前河金矿黄铁矿的热电性、热爆特征及其与金矿化的关系
2
2008
... 根据P型黄铁矿出现率随标高的变化以及计算得到的相应的剥蚀率、热电性参数和离散度可以预测矿脉深部延伸情况,指示成矿环境和矿化程度[15 ,24 ,26 -28 ] . ...
... P型黄铁矿主要集中在矿脉的上部,靠近下部N型黄铁矿逐渐增加[15 -16 ,26 ] .330 m、-125 m和 -305 m中段处于1号脉的上部,由图11 可知,P型黄铁矿出现率在250 m、-35 m和-215 m中段由降低转为增加,在-215 m中段深部未见明显降低的趋势,且出现率高达80%~90%,以P型黄铁矿占据绝大多数,说明以上中段为矿脉尾部向新叠加矿脉头部转换的部位,-215 m深部还有很大的延伸.在3号脉-170 m中段深部P型黄铁矿出现率开始增加且该中段处于矿脉的下部,说明该中段深部开始出现新叠加矿脉的头部,符合X NP 均值标识结果,在 -215 m中段深部又开始由增加转为降低,N型黄铁矿开始增加,说明深部仍有部分延伸. ...
甘肃马坞金矿床8号矿体黄铁矿热电性特征及其地质意义
1
2014
... 由离散度与P型黄铁矿出现率关系图可知,图形形态具有类似正态分布的特征[图12 (a)、12 (b)],图形突峰左侧数值区间对应低离散度和低P型黄铁矿出现率,右侧数值区间对应低离散度和高P型黄铁矿出现率,分别指示矿化较差和矿化好,图形突峰处离散度高且P型黄铁矿出现率较高,指示矿化不连续[15 -16 ,27 ,31 ] .1号脉P型黄铁矿出现率小于30%和大于60%时,以早期和晚期叠加为主,离散度较小,在200%以内,当接近50%左右时,离散度呈指数形态增长[图12 (a)].1号脉离散度在 -215 m中段深部逐渐减小并小于200%[图12 (c)],且由表1 计算得该标高深部各中段P型黄铁矿出现率均值均大于90%,P型黄铁矿出现率很高且离散度低,说明该中段深部金矿化很好.3号脉P型黄铁矿出现率小于40%和大于60%时离散度较小,在1 000%以内,在两者之间离散度呈指数形态增长[图12 (b)].3号脉在-35 m中段深部,离散度整体小于1 000%,仅在-260 m中段出现个别离散度较大的点[图12 (d)],由表2 计算得-260 m中段深部P型黄铁矿出现率均值为71%,P型黄铁矿出现率较高且离散度低,说明该中段深部金矿化较好. ...
甘肃马坞金矿床8号矿体黄铁矿热电性特征及其地质意义
1
2014
... 由离散度与P型黄铁矿出现率关系图可知,图形形态具有类似正态分布的特征[图12 (a)、12 (b)],图形突峰左侧数值区间对应低离散度和低P型黄铁矿出现率,右侧数值区间对应低离散度和高P型黄铁矿出现率,分别指示矿化较差和矿化好,图形突峰处离散度高且P型黄铁矿出现率较高,指示矿化不连续[15 -16 ,27 ,31 ] .1号脉P型黄铁矿出现率小于30%和大于60%时,以早期和晚期叠加为主,离散度较小,在200%以内,当接近50%左右时,离散度呈指数形态增长[图12 (a)].1号脉离散度在 -215 m中段深部逐渐减小并小于200%[图12 (c)],且由表1 计算得该标高深部各中段P型黄铁矿出现率均值均大于90%,P型黄铁矿出现率很高且离散度低,说明该中段深部金矿化很好.3号脉P型黄铁矿出现率小于40%和大于60%时离散度较小,在1 000%以内,在两者之间离散度呈指数形态增长[图12 (b)].3号脉在-35 m中段深部,离散度整体小于1 000%,仅在-260 m中段出现个别离散度较大的点[图12 (d)],由表2 计算得-260 m中段深部P型黄铁矿出现率均值为71%,P型黄铁矿出现率较高且离散度低,说明该中段深部金矿化较好. ...
吉林夹皮沟金矿带黄铁矿热电性及热爆裂特征
1
2010
... 根据P型黄铁矿出现率随标高的变化以及计算得到的相应的剥蚀率、热电性参数和离散度可以预测矿脉深部延伸情况,指示成矿环境和矿化程度[15 ,24 ,26 -28 ] . ...
吉林夹皮沟金矿带黄铁矿热电性及热爆裂特征
1
2010
... 根据P型黄铁矿出现率随标高的变化以及计算得到的相应的剥蚀率、热电性参数和离散度可以预测矿脉深部延伸情况,指示成矿环境和矿化程度[15 ,24 ,26 -28 ] . ...
1
1992
... 戈尔巴乔夫[29 ] 通过大量的数据总结出黄铁矿热电系数与温度之间的关系,其计算方法见式(1)、式(2): ...
庞家河、左家庄金矿床载金矿物黄铁矿热电性的研究
1
1995
... 根据热电系数值可求出黄铁矿的热电性参数(X NP ),权志高[30 ] 将计算方法总结为式(3) : ...
庞家河、左家庄金矿床载金矿物黄铁矿热电性的研究
1
1995
... 根据热电系数值可求出黄铁矿的热电性参数(X NP ),权志高[30 ] 将计算方法总结为式(3) : ...
陕西双王金矿黄铁矿晶体形态和热电性特征对深部含矿性的预测
2
2013
... 由式(4)可知,P型黄铁矿热电系数值越大,矿脉剥蚀率越低,深部找矿前景越好.当遇到剥蚀率由小到大转折时,表明该矿脉以下仍有部分延伸,找矿前景较好.通常,矿脉不同部位对应的X NP 值分别为200~100(最上部)、100~50(上部)、50~ -50(中部)、-50~-100(下部)和-100~-200(最下部),由于同一标高不同位置的样品可能由不同成矿阶段形成,所以常用X NP 和γ 的均值来判断矿脉的延伸[16 ,31 ] . ...
... 由离散度与P型黄铁矿出现率关系图可知,图形形态具有类似正态分布的特征[图12 (a)、12 (b)],图形突峰左侧数值区间对应低离散度和低P型黄铁矿出现率,右侧数值区间对应低离散度和高P型黄铁矿出现率,分别指示矿化较差和矿化好,图形突峰处离散度高且P型黄铁矿出现率较高,指示矿化不连续[15 -16 ,27 ,31 ] .1号脉P型黄铁矿出现率小于30%和大于60%时,以早期和晚期叠加为主,离散度较小,在200%以内,当接近50%左右时,离散度呈指数形态增长[图12 (a)].1号脉离散度在 -215 m中段深部逐渐减小并小于200%[图12 (c)],且由表1 计算得该标高深部各中段P型黄铁矿出现率均值均大于90%,P型黄铁矿出现率很高且离散度低,说明该中段深部金矿化很好.3号脉P型黄铁矿出现率小于40%和大于60%时离散度较小,在1 000%以内,在两者之间离散度呈指数形态增长[图12 (b)].3号脉在-35 m中段深部,离散度整体小于1 000%,仅在-260 m中段出现个别离散度较大的点[图12 (d)],由表2 计算得-260 m中段深部P型黄铁矿出现率均值为71%,P型黄铁矿出现率较高且离散度低,说明该中段深部金矿化较好. ...
陕西双王金矿黄铁矿晶体形态和热电性特征对深部含矿性的预测
2
2013
... 由式(4)可知,P型黄铁矿热电系数值越大,矿脉剥蚀率越低,深部找矿前景越好.当遇到剥蚀率由小到大转折时,表明该矿脉以下仍有部分延伸,找矿前景较好.通常,矿脉不同部位对应的X NP 值分别为200~100(最上部)、100~50(上部)、50~ -50(中部)、-50~-100(下部)和-100~-200(最下部),由于同一标高不同位置的样品可能由不同成矿阶段形成,所以常用X NP 和γ 的均值来判断矿脉的延伸[16 ,31 ] . ...
... 由离散度与P型黄铁矿出现率关系图可知,图形形态具有类似正态分布的特征[图12 (a)、12 (b)],图形突峰左侧数值区间对应低离散度和低P型黄铁矿出现率,右侧数值区间对应低离散度和高P型黄铁矿出现率,分别指示矿化较差和矿化好,图形突峰处离散度高且P型黄铁矿出现率较高,指示矿化不连续[15 -16 ,27 ,31 ] .1号脉P型黄铁矿出现率小于30%和大于60%时,以早期和晚期叠加为主,离散度较小,在200%以内,当接近50%左右时,离散度呈指数形态增长[图12 (a)].1号脉离散度在 -215 m中段深部逐渐减小并小于200%[图12 (c)],且由表1 计算得该标高深部各中段P型黄铁矿出现率均值均大于90%,P型黄铁矿出现率很高且离散度低,说明该中段深部金矿化很好.3号脉P型黄铁矿出现率小于40%和大于60%时离散度较小,在1 000%以内,在两者之间离散度呈指数形态增长[图12 (b)].3号脉在-35 m中段深部,离散度整体小于1 000%,仅在-260 m中段出现个别离散度较大的点[图12 (d)],由表2 计算得-260 m中段深部P型黄铁矿出现率均值为71%,P型黄铁矿出现率较高且离散度低,说明该中段深部金矿化较好. ...