辽宁二道沟金矿床黄铁矿热电性特征及深部找矿预测 |
| 温佳伟,史鹏亮,刘彦兵,张静,屈海浪,李元申,胡博心,缪广 |
|
Thermoelectric Characteristics of Pyrite and Deep Prospecting Prediction in Erdaogou Gold Deposit, Liaoning Province |
| Jiawei WEN,Pengliang SHI,Yanbing LIU,Jing ZHANG,Hailang QU,Yuanshen LI,Boxin HU,Guang MIAO |
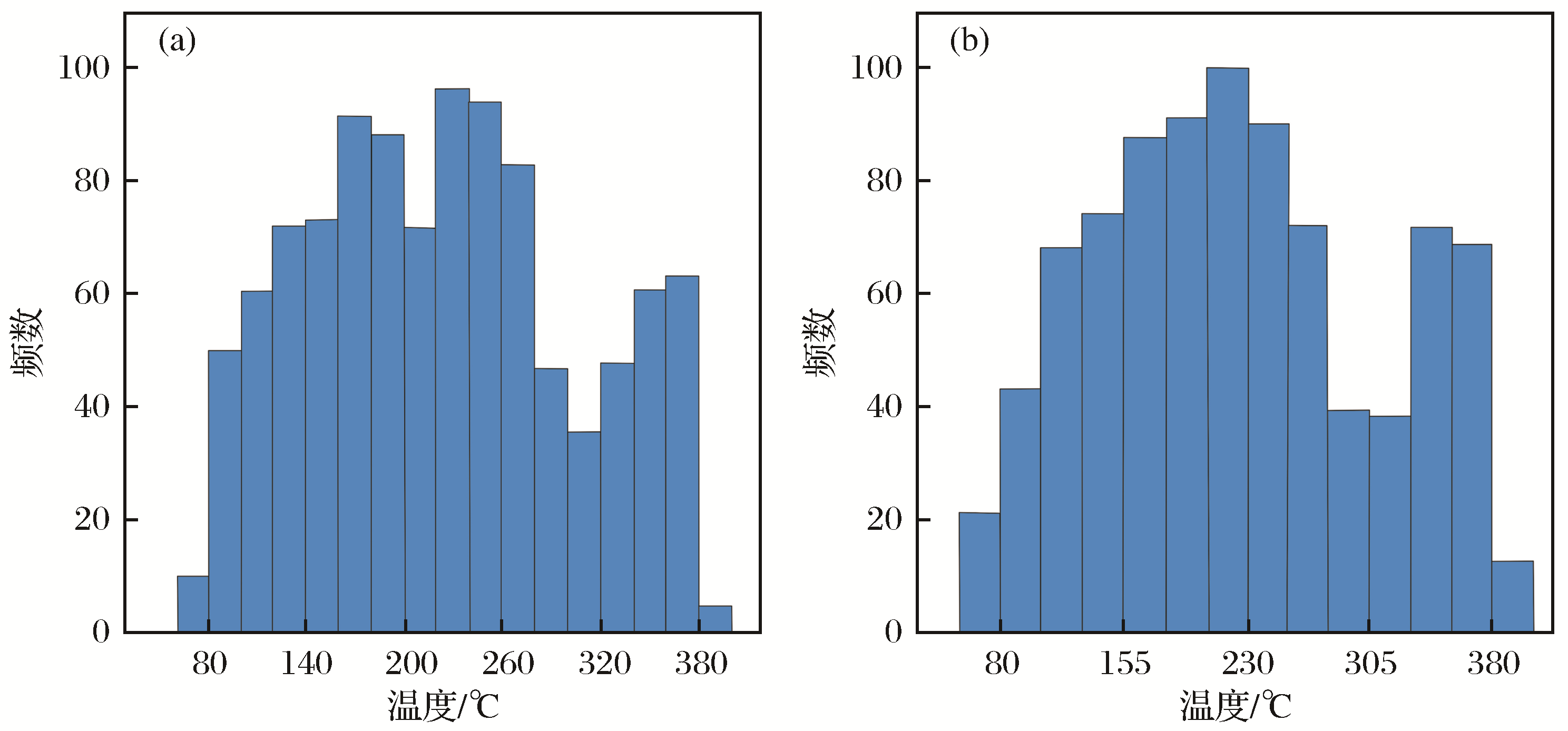
| 图8 1号脉(a)和3号脉(b)黄铁矿成矿温度直方图 |
| Fig.8 Histograms of ore-forming temperature of pyrites in No.1 vein (a) and No.3 vein (b) |
|