江西某铜矿大型球磨机介质制度优化试验研究
李付博 , 1 , 肖庆飞 , 2 , 3 , 黄胤淇 2 , 3 , 张谦 2 , 3 , 王旭东 2 , 3
1.栾川县大东坡钨钼矿业有限公司,河南 洛阳 471500
2.矿物加工科学与技术国家重点实验室,北京 100070
3.昆明理工大学国土资源工程学院,云南 昆明 650093
Experimental Study on Optimizing the Media System of Large-scale Ball Mill in a Copper Mine in Jiangxi Province
LI Fubo , 1 , XIAO Qingfei , 2 , 3 , HUANG Yinqi 2 , 3 , ZHANG Qian 2 , 3 , WANG Xudong 2 , 3
1.Luanchuan County Dadongpo Tungsten and Molybdenum Mining Co. , Ltd. ,Luoyang 471500,Henan,China
2.State Key Laboratory of Mineral Processing Science and Technology,Beijing 100070
3.Faculty of Land Resource Engineering,Kunming University of Science and Technology,Kunming 650093,Yunnan,China
通讯作者: 肖庆飞(1980-),男,安徽安庆人,教授,从事选择性磨矿理论及工艺研究工作。13515877@ qq.com
收稿日期: 2019-11-13
修回日期: 2020-03-03
网络出版日期: 2020-08-27
基金资助:
国家自然科学基金面上项目“多级配球介质磨矿的能量匹配及机理研究” . 51774157 矿物加工科学与技术国家重点实验室开放研究基金“磨矿介质在磨机中的运动规律研究” . 201707
Received: 2019-11-13
Revised: 2020-03-03
Online: 2020-08-27
摘要
针对江西某铜矿选厂大型球磨机磨矿产品质量差、处理量低、运转率低和能耗高等问题,在测定矿石力学性质的基础上,采用控制变量法,通过对比多组实验室试验方案的磨矿效果,最终确定球磨机的最佳介质制度为φ 60∶φ 50∶φ 40∶φ 30=30∶25∶30∶15。试验结果表明:推荐钢球方案较现场方案过粗粒级级别产率降低了1.21个百分点,中间易选粒级级别产率提高了2.53个百分点,过粉碎粒级级别产率减少了0.32个百分点;较钢段方案过粗粒级、磨矿细度-0.074 mm占比和中间易选级别产率分别提高了4.58个百分点、1.48个百分点和3.25个百分点,对比工业试验前后矿石月处理量提高了13 242 t,运转率提高了2.18个百分点,月功率降低了173 kW。研究表明:优化磨矿介质制度不仅可以提高磨矿产品质量,而且对节能降耗具有重要的促进意义,有助于提升公司核心技术水平,对同类型矿山具有借鉴意义。
关键词:
铜矿
;
大型球磨机
;
粒度组成
;
介质制度
;
磨矿产品
;
粒度均匀性
;
运转率
Abstract
In order to improve the problems of unreasonable particle size composition,low processing capacity,low transfer rate and high energy consumption of large-scale ball mill grinding products,achieving the purpose of improving the quality of grinding products and optimizing the beneficiation index of the beneficiation plant in a copper mine in Jiangxi,in this paper,the test is performed according to the following steps.Firstly,the main mechanical properties of the ore were determined,including bulk density,elastic modulus,and Poisson’s ratio.Secondly,a laboratory grinding comparison test was carried out in a D ×L =240 mm×300 mm)mill,by comparing the grinding effects of the five grinding schemes of the recommended scheme,the plant scheme,the larger scheme,the smaller scheme,and the steel section scheme,the working media system of the mill media with the best ore matching of the concentrator was finally determined as φ 60∶φ 50∶φ 40∶φ 30=30∶25∶30∶15.Summarizing the ore mechanical property test results and laboratory grinding test results,we can conclude that:The ore mechanical property test results show that the average ore bulk density is 2.78 g/cm3 ,the average hardness is 7.9,the average elastic modulus is 3.11×104 MPa,and Poisson’s ratio with average value of 0.25.The overall properties of the ore are media hardness but high toughness.During the ore grinding process,the number of grinding times per unit time should be strengthened.The results of laboratory grinding show that the recommended scheme has a reduction of 1.21 percentage points in the coarse grade (+0.200 mm) and 0.32 percentage points in the over-comminuted grade(-0.010 mm) and the intermedia easily selectable grade(-0.200+0.010 mm) grain content increased by 2.53 percentage points compared with the current plant scheme;Recommended scheme has a better grinding effect compared with steel section scheme,although the over-comminuted grade(-0.010 mm) grain of recommended scheme is 2.75 percentage points higher,the coarse grade(+0.200 mm) grain grade content,grinding fineness(-0.074 mm) grain grade content and intermediate easily selectable grade(-0.200+0.010 mm) grain grade content have increased respectively,they increased by 4.58 percentage points,1.48 percentage points and 3.25 percentage points.Compared with data before and afterthe industrial test,the monthly processing capacity was increased by 13 242 t,the transfer rate of the mill was increased by 2.18 percentage points and the monthly power consumption was reduced by 173 kW.It shows that optimizing the grinding media system can not only improve the quality of the grinding products to a certain extent,but also have an important promotion significance for energy saving and consumption reduction,significantly improve the company’s core technical level and have reference significance for the same type of mine.
Keywords:
copper ore
;
large-scale ball mill
;
granular composition
;
media system
;
grinding products
;
particle size uniformity
;
transfer rate
本文引用格式
李付博, 肖庆飞, 黄胤淇, 张谦, 王旭东. 江西某铜矿大型球磨机介质制度优化试验研究 [J]. 黄金科学技术 , 2020, 28(4): 603-609 doi:10.11872/j.issn.1005-2518.2020.03.185
LI Fubo, XIAO Qingfei, HUANG Yinqi, ZHANG Qian, WANG Xudong. Experimental Study on Optimizing the Media System of Large-scale Ball Mill in a Copper Mine in Jiangxi Province [J]. Gold Science and Technology , 2020, 28(4): 603-609 doi:10.11872/j.issn.1005-2518.2020.03.185
随着磨矿设备研发技术不断进步,球磨机规格呈现由小型、中型朝着大型化发展的趋势[1 -2 ] 。目前,大型球磨机已逐渐应用于选矿厂,然而设备大型化改造后,磨矿介质制度与球磨机规格匹配性差等一系列问题成为影响大型球磨机工业应用效果的主要因素。为强化大型球磨机磨矿效果,国内外学者提出了许多解决方案,相比而言,优化磨机介质制度不需要改变选厂工艺流程,仅通过改变磨机内部环境就可以改善磨矿产品粒度参数[3 -6 ] ,具有设备操作简便,经济投入小,易实现工业化等优点,被认为是矿山企业节能降耗、增加经济效益的有效方式之一。
江西某选矿厂主要从事铜矿选别工艺,该选厂磨矿工段采用半自磨+球磨+顽石破碎的SABC流程,采用Φ 10.37 m×5.19 m的半自磨机与Φ 7.32 m×10.68 m的球磨机进行一对一配对,协同磨矿作业。近年来,由于采矿点的更换,进入选厂的矿石性质发生了不同程度的改变,其中包括矿石硬度、弹性模量和泊松比等一系列参数的变化,使得矿石越来越难磨,且原有的介质制度与现在的矿石性质、磨机规格参数匹配性差,无法使磨矿介质与待磨物料之间的能量转化最大化,进而导致磨矿效果差[7 -11 ] ,继续采用原有的磨矿介质制度则无法满足当前选厂的选别指标要求。
本文基于选矿厂目前的矿石性质,结合选择性磨矿理论,采用对比试验的方法,以优化磨矿介质工作制度为技术改造重点,提高矿石单体解离度,从而改善磨矿产品粒度组成,提高磨矿产品质量,进而提高后续选别作业相关指标[12 -14 ] 。
1 试验部分
1.1 试验材料
选取3个长、宽、高均为20 mm的铜矿块,经切割磨削后在恒温干燥烘箱内烘干,作为标准试样。在磨矿分级系统的大批物料中取出500 kg代表性试样烘干后不作处理,作为产品粒度特性测定和磨矿对比试验原料,置于样袋内保存备用。
1.2 试验方法
在实验室中进行对比试验,磨机给矿为1#沉砂和2#沉砂,质量比为1∶1,以介质配比作为单一变量,磨矿浓度和磨机转速保持与现场磨矿条件一致,具体试验条件与试验方案见表1 和表2 ,评价指标见表3 。
2 结果与分析
2.1 矿石力学性质测定结果
对矿块进行矿石力学性质测定,结果见表4 。由表4 可知:矿石平均容重为2.78 g/cm3 ,平均硬度为7.58,平均泊松比为0.25,整体矿石韧性较大。在实验室确定球径和球比时,选择合理的介质制度才能有效改善磨矿产品粒度特性。
2.2 磨矿分级循环产品粒度组成特性
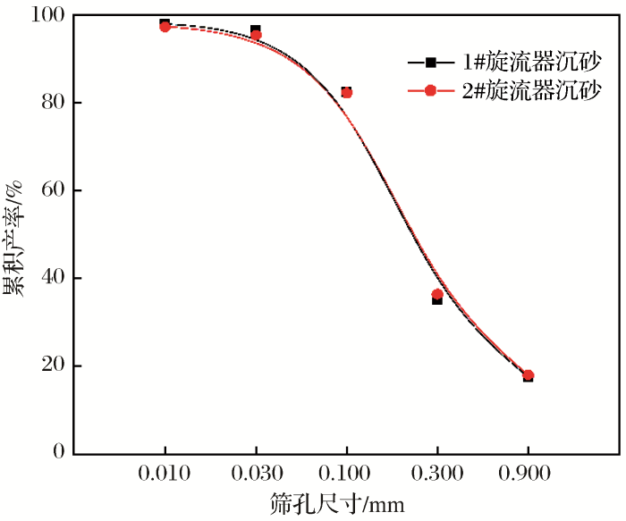
对磨矿分级循环产品进行粒度组成分析,得到正累积粒度特性曲线,分别见图1 和图2 。
图1
图1
1#和2#旋流器沉砂正累积粒度特性曲线
Fig.1
Positive cumulative particle size characteristic curves of sand settling in 1# and 2# cyclone
图2
图2
排矿正累积粒度特性曲线
Fig.2
Positive cumulative particle size characteristic curve of ore discharge
由图1 可知:(1)沉砂粒度偏粗,2个旋流器 +5 mm的级别产率分别为5.78%和6.12%,95%过筛最大粒度分别为5.46 mm和5.80 mm;(2)沉砂中-0.200 mm的级别产率高达59.13%,表现为粗中夹细。因此,提高旋流器分级效率,强化粗矿粒的磨碎,可以达到改善磨矿产品粒度均匀性的目的。
由图2 可知:磨矿细度要求-0.074 mm占65%左右,对应粒度为0.200 mm,因此将+0.200 mm粒级称为粗级别,球磨给矿中+0.200 mm级别产率为41.27%,而排矿中+0.200 mm以上级别产率为24.16%,经一次磨矿级别产率减少了17.11个百分点,则磨碎粗颗粒的效率为41.46%,磨矿效率较低。
2.3 不同钢球介质方案磨矿效果对比
磨矿是改变矿石粒度的作业,磨矿产品粒度组成是评价磨矿效果和磨矿方案优劣性的重要依据。不同钢球介质配比方案磨矿产品正累积粒度特性曲线见图3 。本文对不同方案的磨矿产品粒度评价指标进行分析,以更为直观的手段确保对比结果可靠、准确(图4 )。
图3
图3
不同钢球介质方案磨矿产品正累积粒度特性曲线
Fig.3
Positive cumulative particle size characteristic curves of grinding products with different steel ball media schemes
图4
图4
不同钢球介质方案磨矿效果
Fig.4
Grinding effects of different steel ball media schemes
由图4 可知:(1)推荐方案磨矿作用优于其他方案,在磨矿破碎作用下推荐方案磨矿产品被磨至粒度细而均匀,过粗级别(+0.200 mm)产率为1.18%,低于其他方案,而中间易选级别(-0.20+0.010 mm)产率为81.74%,高于其他方案;(2)现场方案无法将矿石磨碎,较推荐方案磨矿细度、中间易选级别(-0.200+0.010 mm)产率呈现下降趋势,分别降低了3.67个百分点和2.53个百分点;(3)偏大方案球径大、钢球个数少,球荷研磨面积减少,矿石受到打击和磨剥的作用减少,磨矿产品中磨不细的现象增多。推荐方案比偏大方案磨矿细度(-0.074 mm占比)提高了4.45个百分点、中间易选级别(-0.200+0.010 mm)产率提高了1.74个百分点;(4)与偏小方案相比,推荐方案过粉碎级别(-0.010 mm)产率降低了3.62个百分点,中间易选级别(-0.200+0.010 mm)产率提高了4.84个百分点。综上所述,推荐方案φ 60∶φ 50∶φ 40∶φ 30=30∶25∶30∶15抑制过粗级别和过粉碎级别的能力较好,磨矿效果优于其他方案。
2.4 钢球介质与钢段介质配比方案磨矿效果对比
针对选厂目前-0.038 mm粒级含量偏高的问题,采用钢段进行磨矿试验,与钢球介质相比,钢段介质具有选择性破碎粗粒和选择性保护细粒的特点[15 -18 ] ,因此,在保证钢球介质试验条件不变的前提下以钢段作为磨矿介质进行试验,以排除试验过程中不可控因素对试验结果产生的影响,并对比分析了钢段试验结果与推荐方案的磨矿效果[19 -25 ] 。图5 为2个方案磨矿产品正累积粒度特性曲线。对2个方案的磨矿产品粒度评价指标进行对比分析,结果见图6 。
图5
图5
不同介质方案的磨矿产品正累积粒度特性曲线
Fig.5
Positive cumulative particle size characteristic curves of grinding products with different media schemes
图6
图6
不同介质配比方案的磨矿效果对比
Fig.6
Comparison of grinding effects of different media proportioning schemes
由图6 可知:(1)虽然钢段方案中的过粉碎级别(-0.010 mm)产率减少了2.75个百分点,但是过粗级别产率、磨矿细度(-0.074 mm占比)和中间易选级别产率这3个指标较推荐方案分别降低了4.58个百分点、1.48个百分点和3.25个百分点,钢段方案的磨矿效果明显不如推荐方案。综上,一段球磨机的推荐配比方案确定为φ 60∶φ 50∶φ 40∶φ 30=30∶25∶30∶15。
2.5 工业试验效果
该选厂于2019年4月开始采用推荐方案介质制度进行工业试验。通过收集2019年9月至2019年11月期间的各项生产指标,与工业试验之前(2019年1月至2019年3月)的各项生产指标进行对比,结果见表5 。
由表5 可知:(1)工业试验前3个月内总矿石处理量为670 385 t,平均月处理矿石量为223 462 t,工业试验后3个月内总矿石处理量为710 112 t,平均月处理矿石量为236 704 t,对比工业试验前后矿石月处理量可知,优化后月处理矿石量增加了13 242 t;(2)运转率定义为球磨机每天实际运转的时间占24 h的比率,对比工业试验前后,运转率提高了2.18个百分点;(3)对比工业试验前后,选厂月功率降低了173 kW。
3 结论
(1)该选厂的矿石平均容重为2.78 g/cm3 ,平均硬度为7.58,平均泊松比为0.25,矿石总体表现为硬度中等,韧性较大,属于较难磨矿石。因此,磨矿过程中需要同时考虑矿石整体力学性质与不同矿物力学性质的差异性。
(2)结合矿石力学性质测定和磨矿产品粒度特性分析结果,确定江西某铜矿选厂Φ 7.32 m×10.68 m大型球磨机的最佳介质制度为φ 60∶φ 50∶φ 40∶φ 30=30∶25∶30∶15。
(3)试验结果表明:与现场方案相比,推荐钢球方案磨矿产品粒度细且均匀,做到了两头小、中间大,后者较前者过粗级别(+0.200 mm)产率降低了1.21个百分点,中间易选级别(-0.200+0.010 mm)产率提高了2.53个百分点,过粉碎级别(-0.010 mm)产率减少了0.32个百分点;工业试验前后,选厂月处理矿石量提高了13 242 t,运转率提高了2.18个百分点,月功率降低了173 kW。综合以上各项指标,改善磨矿介质制度,不仅可以提高选矿技术经济指标,而且对节能降耗有一定的促进意义,提升了公司核心技术水平,对同类型矿山具有借鉴意义。
http://www.goldsci.ac.cn/article/2020/1005-2518/1005-2518-2020-28-4-603.shtml
参考文献
View Option
[1]
任文礼 .提高大型球磨机处理能力的关键技术研究
[D].沈阳 :东北大学 ,2015 .
[本文引用: 1]
Ren Wenli .Key Technologies Research on Improving Processing Capacity of Large-scale Ball Mill
[D].Shenyang :Northeastern University ,2015 .
[本文引用: 1]
[2]
罗文舜 .大型球磨机控制系统的设计
[D].鞍山 :辽宁科技大学 ,2016 .
[本文引用: 1]
Luo Wenshun .The Design of Large Ball Mill Control System
[D].Anshan :University of Science and Technology Liaoning ,2016 .
[本文引用: 1]
[3]
王越 ,杨世亮 ,邵爽 ,等 .大型球磨机钢球配比试验研究与工业应用
[J].有色金属(选矿部分) ,2016 (3 ):63 -65 .
[本文引用: 1]
Wang Yue ,Yang Shiliang ,Shao Shuang ,et al .Industrial test research and application on the steel ball grading of the large-scale ball mill
[J].Nonferrous Metals (Mineral Processing Section) ,2016 (3 ):63 -65 .
[本文引用: 1]
[4]
马斌 ,刘建远 .磨矿产品粒度组成对铅浮选的影响研究
[J].有色金属(选矿部分) ,2016 (2 ):29 -33 .
Ma Bin ,Liu Jianyuan .Research of effect of the particle size composition of grinding product on the flotation of lead
[J].Nonferrous Metals (Mineral Processing Section) ,2016 (2 ):29 -33 .
[5]
严刘学 ,史广全 ,刘安平 ,等 .梅山铁矿提高磨矿产品均匀性试验
[J].现代矿业 ,2014 ,30 (4 ):130 -132 .
Yan Liuxue ,Shi Guangquan ,Liu Anping ,et al .Study on mineral processing technology of refractory copper lead zincpoly metal licores
[J].Modern Mining ,2014 ,30 (4 ):130 -132 .
[6]
刘青 ,彭良振 ,王宝 ,等 .介质的尺寸和配比对球磨机磨矿粒度影响的研究
[J].有色金属(选矿部分) ,2015 (6 ):68 -73 .
[本文引用: 1]
Liu Qing ,Peng Liangzhen ,Wang Bao ,et al .Effects of different size and proportion of steel balls on grinding size in ball mill
[J].Nonferrous Metals (Mineral Processing Section) ,2015 (6 ):68 -73 .
[本文引用: 1]
[7]
李冬莲 ,汪桥 ,曹先敏 ,等 .胶磷矿磨矿特性对浮选效果影响研究
[J].非金属矿 ,2014 (6 ):49 -51 .
[本文引用: 1]
Li Donglian ,Wang Qiao ,Cao Xianmin ,et al .The research of grinding characteristics of phosphate on flotation
[J].Non-Metallic Mines ,2014 (6 ):49 -51 .
[本文引用: 1]
[8]
戈保梁 ,张晋禄 ,王显强 ,等 .云南某铜选厂尾矿再选试验
[J].金属矿山 ,2016 ,45 (2 ):176 -180 .
Ge Baoliang ,Zhang Jinlu ,Wang Xianqiang ,et al .Experiment on reconcentration of tailings from a copper plant in Yunnan
[J].Metal Mine ,2016 ,45 (2 ):176 -180 .
[9]
刘瑜 ,杨昊 ,邹春林 ,等 .精确化磨矿对产品粒度分布及能耗的影响
[J].矿业研究与开发 ,2015 (7 ):53 -57 .
Liu Yu ,Yang Hao ,Zou Chunlin ,et al .Influence of accurate grinding on product size distribution and energy consumption
[J].Mining Research and Development ,2015 (7 ):53 -57 .
[10]
雷小莉 ,李金泉 ,徐忠敏 ,等 .精确化装补球技术在金翅岭金矿选矿厂的应用
[J].黄金科学技术 ,2015 ,23 (6 ):87 -91 .
Lei Xiaoli ,Li Jinquan ,Xu Zhongmin ,et al .Application of the technology of accurate ball loading and addition in concentrating mill of Jinchiling gold mine
[J].Gold Science and Technology ,2015 ,23 (6 ):87 -91 .
[11]
程旭 ,武豪杰 ,王泽红 .介质制度对磨矿过程影响的研究进展
[J].金属矿山 ,2013 ,42 (9 ):104 -107 .
[本文引用: 1]
Cheng Xu ,Wu Haojie ,Wang Zehong .The research progress of effect on grinding media system on grinding process
[J].Metal Mine ,2013 ,42 (9 ):104 -107 .
[本文引用: 1]
[12]
Li G P ,Chen W ,Sun L H ,et al .The influence of cylindrical grinding medium on particle size and mechanical properties of TiC steel bonded carbide
[J].Materials Science Forum ,2016 ,849 :781 -787 .
[本文引用: 1]
[13]
吴琼 ,柏杨 ,张加官 ,等 .球磨机磨球冲击物料过程特性分析
[J].矿山机械 ,2014 ,42 (1 ):68 -72 .
Wu Qiong ,Bai Yang ,Zhang Jiaguan ,et al .Characteristic analysis on process of grinding ball impacting charge in ball mill
[J].Mining & Processing Equipment ,2014 ,42 (1 ):68 -72 .
[14]
金弢 ,李若兰 ,郭永杰 .钢锻在磷矿磨矿中的应用研究
[J].化工矿物与加工 ,2014 (10 ):18 -22 .
[本文引用: 1]
Jin Tao ,Li Ruolan ,Guo Yongjie .Application of forged steel in phosphate grinding
.[J].Industrial Minerals and Processing ,2014 (10 ):18 -22 .
[本文引用: 1]
[15]
王文军 ,肖庆飞 ,康怀斌 ,等 .短圆柱型磨矿介质用于新疆星塔金矿二锻磨矿的试验研究
[J].黄金 ,2016 ,37 (5 ):55 -58 .
[本文引用: 1]
Wang Wenjun ,Xiao Qingfei ,Kang Huaibin ,et al .Experimental study on short cylindrical grinding media being applied in the second-stage grinding at Xingta gold mine,Xinjiang
[J].Gold ,2016 ,37 (5 ):55 -58 .
[本文引用: 1]
[16]
Xiao Q F ,Li B ,Kang H B .The effect of fine grinding medium feature on grinding results
[J].Aasri Procedia ,2014 ,7 :120 -125 .
[17]
崔瑞 ,刘昕 ,张义闹 ,等 .球磨机钢球球径制度对磨碎速率的影响研究
[J].矿冶工程 ,2019 ,39 (1 ):39 -43 , 48 .
Cui Rui ,Liu Xin ,Zhang Yinao ,et al .Effect of diameter regime of ball charge on grinding rate in ball mill
[J].Mining and Metallurgical Engineering ,2019 ,39 (1 ):39 -43 ,48 .
[18]
王泽红 ,高伟 ,刘高峰 .太钢尖山铁矿一段磨机介质优化研究
[J].金属矿山 ,2019 ,48 (9 ):102 -106 .
[本文引用: 1]
Wang Zehong ,Gao Wei ,Liu Gaofeng .Research on grinding medium optimization for the primary mill in Jianshan iron mine of TISCO
[J].Metal Mine ,2019 ,48 (9 ):102 -106 .
[本文引用: 1]
[19]
廖银英 ,杨远坤 ,曾继敏 ,等 .某选矿厂MQY5064球磨机磨矿产能优化研究
[J].有色金属(选矿部分) ,2016 (6 ):69 -71 .
[本文引用: 1]
Liao Yinying ,Yang Yuankun ,Zeng Jimin ,et al .Study on promoting capacity of the MQY5064 ball mill used in a ore-dressing plant
[J].Nonferrous Metals (Mineral Processing Section) ,2016 (6 ):69 -71 .
[本文引用: 1]
[20]
范保建 ,佐太东 ,庞玉明 ,等 .溢流型球磨机产能优化改造及应用
[J].黄金 ,2017 ,38 (9 ):52 -57 .
Fan Baojian ,Zuo Taidong ,Pang Yuming ,et al .Productivity optimization of overflow ball mill and its application
[J].Gold ,2017 ,38 (9 ):52 -57 .
[21]
朱月锋 ,朱潇 .优化钢球级配改善适宜浮选粒级组成的研究
[J].矿山机械 ,2019 ,47 (6 ):33 -36 .
Zhu Yuefeng ,Zhu Xiao .Research on optimization of size proportion of grinding balls for improvement of particle size suitable for flotation
[J].Mining & Processing Equipment ,2019 ,47 (6 ):33 -36 .
[22]
路和 ,戴丽莉 ,姚荣斌 ,等 .球磨机研磨介质冲击特性和碰撞能量分布特性研究
[J].有色金属(选矿部分) ,2018 (6 ):77 -81 .
Lu He ,Dai Lili ,Yao Rongbin ,et al .Analysis of impact characteristic and collision energy distribution of grinding media
[J].Nonferrous Metals (Mineral Processing Section) ,2018 (6 ):77 -81 .
[23]
钟旭群 .介质配比对磨矿效果影响的试验研究
[J].矿冶 ,2014 ,23 (5 ):24 -26 ,43 .
Zhong Xuqun .Experimental study on influence of medium size distribution on the grinding performances
[J].Mining and Metallurgy ,2014 ,23 (5 ):24 -26 ,43 .
[24]
严刘学 .提高梅山铁矿磨矿产品粒度均匀性的试验研究
[J].金属矿山 ,2014 ,43 (8 ):61 -64 .
Yan Liuxue .Increasing granular uniformity of grinding product from Meishan iron mine
[J].Metal Mine ,2014 ,43 (8 ):61 -64 .
[25]
Cleary P W .A multiscale method for including fine particle effects in DEM models of grinding mills
[J].Minerals Engineering ,2015 ,84 :88 -99 .
[本文引用: 1]
提高大型球磨机处理能力的关键技术研究
1
2015
... 随着磨矿设备研发技术不断进步,球磨机规格呈现由小型、中型朝着大型化发展的趋势[1 -2 ] .目前,大型球磨机已逐渐应用于选矿厂,然而设备大型化改造后,磨矿介质制度与球磨机规格匹配性差等一系列问题成为影响大型球磨机工业应用效果的主要因素.为强化大型球磨机磨矿效果,国内外学者提出了许多解决方案,相比而言,优化磨机介质制度不需要改变选厂工艺流程,仅通过改变磨机内部环境就可以改善磨矿产品粒度参数[3 -6 ] ,具有设备操作简便,经济投入小,易实现工业化等优点,被认为是矿山企业节能降耗、增加经济效益的有效方式之一. ...
提高大型球磨机处理能力的关键技术研究
1
2015
... 随着磨矿设备研发技术不断进步,球磨机规格呈现由小型、中型朝着大型化发展的趋势[1 -2 ] .目前,大型球磨机已逐渐应用于选矿厂,然而设备大型化改造后,磨矿介质制度与球磨机规格匹配性差等一系列问题成为影响大型球磨机工业应用效果的主要因素.为强化大型球磨机磨矿效果,国内外学者提出了许多解决方案,相比而言,优化磨机介质制度不需要改变选厂工艺流程,仅通过改变磨机内部环境就可以改善磨矿产品粒度参数[3 -6 ] ,具有设备操作简便,经济投入小,易实现工业化等优点,被认为是矿山企业节能降耗、增加经济效益的有效方式之一. ...
大型球磨机控制系统的设计
1
2016
... 随着磨矿设备研发技术不断进步,球磨机规格呈现由小型、中型朝着大型化发展的趋势[1 -2 ] .目前,大型球磨机已逐渐应用于选矿厂,然而设备大型化改造后,磨矿介质制度与球磨机规格匹配性差等一系列问题成为影响大型球磨机工业应用效果的主要因素.为强化大型球磨机磨矿效果,国内外学者提出了许多解决方案,相比而言,优化磨机介质制度不需要改变选厂工艺流程,仅通过改变磨机内部环境就可以改善磨矿产品粒度参数[3 -6 ] ,具有设备操作简便,经济投入小,易实现工业化等优点,被认为是矿山企业节能降耗、增加经济效益的有效方式之一. ...
大型球磨机控制系统的设计
1
2016
... 随着磨矿设备研发技术不断进步,球磨机规格呈现由小型、中型朝着大型化发展的趋势[1 -2 ] .目前,大型球磨机已逐渐应用于选矿厂,然而设备大型化改造后,磨矿介质制度与球磨机规格匹配性差等一系列问题成为影响大型球磨机工业应用效果的主要因素.为强化大型球磨机磨矿效果,国内外学者提出了许多解决方案,相比而言,优化磨机介质制度不需要改变选厂工艺流程,仅通过改变磨机内部环境就可以改善磨矿产品粒度参数[3 -6 ] ,具有设备操作简便,经济投入小,易实现工业化等优点,被认为是矿山企业节能降耗、增加经济效益的有效方式之一. ...
大型球磨机钢球配比试验研究与工业应用
1
2016
... 随着磨矿设备研发技术不断进步,球磨机规格呈现由小型、中型朝着大型化发展的趋势[1 -2 ] .目前,大型球磨机已逐渐应用于选矿厂,然而设备大型化改造后,磨矿介质制度与球磨机规格匹配性差等一系列问题成为影响大型球磨机工业应用效果的主要因素.为强化大型球磨机磨矿效果,国内外学者提出了许多解决方案,相比而言,优化磨机介质制度不需要改变选厂工艺流程,仅通过改变磨机内部环境就可以改善磨矿产品粒度参数[3 -6 ] ,具有设备操作简便,经济投入小,易实现工业化等优点,被认为是矿山企业节能降耗、增加经济效益的有效方式之一. ...
大型球磨机钢球配比试验研究与工业应用
1
2016
... 随着磨矿设备研发技术不断进步,球磨机规格呈现由小型、中型朝着大型化发展的趋势[1 -2 ] .目前,大型球磨机已逐渐应用于选矿厂,然而设备大型化改造后,磨矿介质制度与球磨机规格匹配性差等一系列问题成为影响大型球磨机工业应用效果的主要因素.为强化大型球磨机磨矿效果,国内外学者提出了许多解决方案,相比而言,优化磨机介质制度不需要改变选厂工艺流程,仅通过改变磨机内部环境就可以改善磨矿产品粒度参数[3 -6 ] ,具有设备操作简便,经济投入小,易实现工业化等优点,被认为是矿山企业节能降耗、增加经济效益的有效方式之一. ...
介质的尺寸和配比对球磨机磨矿粒度影响的研究
1
2015
... 随着磨矿设备研发技术不断进步,球磨机规格呈现由小型、中型朝着大型化发展的趋势[1 -2 ] .目前,大型球磨机已逐渐应用于选矿厂,然而设备大型化改造后,磨矿介质制度与球磨机规格匹配性差等一系列问题成为影响大型球磨机工业应用效果的主要因素.为强化大型球磨机磨矿效果,国内外学者提出了许多解决方案,相比而言,优化磨机介质制度不需要改变选厂工艺流程,仅通过改变磨机内部环境就可以改善磨矿产品粒度参数[3 -6 ] ,具有设备操作简便,经济投入小,易实现工业化等优点,被认为是矿山企业节能降耗、增加经济效益的有效方式之一. ...
介质的尺寸和配比对球磨机磨矿粒度影响的研究
1
2015
... 随着磨矿设备研发技术不断进步,球磨机规格呈现由小型、中型朝着大型化发展的趋势[1 -2 ] .目前,大型球磨机已逐渐应用于选矿厂,然而设备大型化改造后,磨矿介质制度与球磨机规格匹配性差等一系列问题成为影响大型球磨机工业应用效果的主要因素.为强化大型球磨机磨矿效果,国内外学者提出了许多解决方案,相比而言,优化磨机介质制度不需要改变选厂工艺流程,仅通过改变磨机内部环境就可以改善磨矿产品粒度参数[3 -6 ] ,具有设备操作简便,经济投入小,易实现工业化等优点,被认为是矿山企业节能降耗、增加经济效益的有效方式之一. ...
胶磷矿磨矿特性对浮选效果影响研究
1
2014
... 江西某选矿厂主要从事铜矿选别工艺,该选厂磨矿工段采用半自磨+球磨+顽石破碎的SABC流程,采用Φ 10.37 m×5.19 m的半自磨机与Φ 7.32 m×10.68 m的球磨机进行一对一配对,协同磨矿作业.近年来,由于采矿点的更换,进入选厂的矿石性质发生了不同程度的改变,其中包括矿石硬度、弹性模量和泊松比等一系列参数的变化,使得矿石越来越难磨,且原有的介质制度与现在的矿石性质、磨机规格参数匹配性差,无法使磨矿介质与待磨物料之间的能量转化最大化,进而导致磨矿效果差[7 -11 ] ,继续采用原有的磨矿介质制度则无法满足当前选厂的选别指标要求. ...
胶磷矿磨矿特性对浮选效果影响研究
1
2014
... 江西某选矿厂主要从事铜矿选别工艺,该选厂磨矿工段采用半自磨+球磨+顽石破碎的SABC流程,采用Φ 10.37 m×5.19 m的半自磨机与Φ 7.32 m×10.68 m的球磨机进行一对一配对,协同磨矿作业.近年来,由于采矿点的更换,进入选厂的矿石性质发生了不同程度的改变,其中包括矿石硬度、弹性模量和泊松比等一系列参数的变化,使得矿石越来越难磨,且原有的介质制度与现在的矿石性质、磨机规格参数匹配性差,无法使磨矿介质与待磨物料之间的能量转化最大化,进而导致磨矿效果差[7 -11 ] ,继续采用原有的磨矿介质制度则无法满足当前选厂的选别指标要求. ...
精确化磨矿对产品粒度分布及能耗的影响
0
2015
精确化磨矿对产品粒度分布及能耗的影响
0
2015
精确化装补球技术在金翅岭金矿选矿厂的应用
0
2015
精确化装补球技术在金翅岭金矿选矿厂的应用
0
2015
介质制度对磨矿过程影响的研究进展
1
2013
... 江西某选矿厂主要从事铜矿选别工艺,该选厂磨矿工段采用半自磨+球磨+顽石破碎的SABC流程,采用Φ 10.37 m×5.19 m的半自磨机与Φ 7.32 m×10.68 m的球磨机进行一对一配对,协同磨矿作业.近年来,由于采矿点的更换,进入选厂的矿石性质发生了不同程度的改变,其中包括矿石硬度、弹性模量和泊松比等一系列参数的变化,使得矿石越来越难磨,且原有的介质制度与现在的矿石性质、磨机规格参数匹配性差,无法使磨矿介质与待磨物料之间的能量转化最大化,进而导致磨矿效果差[7 -11 ] ,继续采用原有的磨矿介质制度则无法满足当前选厂的选别指标要求. ...
介质制度对磨矿过程影响的研究进展
1
2013
... 江西某选矿厂主要从事铜矿选别工艺,该选厂磨矿工段采用半自磨+球磨+顽石破碎的SABC流程,采用Φ 10.37 m×5.19 m的半自磨机与Φ 7.32 m×10.68 m的球磨机进行一对一配对,协同磨矿作业.近年来,由于采矿点的更换,进入选厂的矿石性质发生了不同程度的改变,其中包括矿石硬度、弹性模量和泊松比等一系列参数的变化,使得矿石越来越难磨,且原有的介质制度与现在的矿石性质、磨机规格参数匹配性差,无法使磨矿介质与待磨物料之间的能量转化最大化,进而导致磨矿效果差[7 -11 ] ,继续采用原有的磨矿介质制度则无法满足当前选厂的选别指标要求. ...
The influence of cylindrical grinding medium on particle size and mechanical properties of TiC steel bonded carbide
1
2016
... 本文基于选矿厂目前的矿石性质,结合选择性磨矿理论,采用对比试验的方法,以优化磨矿介质工作制度为技术改造重点,提高矿石单体解离度,从而改善磨矿产品粒度组成,提高磨矿产品质量,进而提高后续选别作业相关指标[12 -14 ] . ...
钢锻在磷矿磨矿中的应用研究
1
2014
... 本文基于选矿厂目前的矿石性质,结合选择性磨矿理论,采用对比试验的方法,以优化磨矿介质工作制度为技术改造重点,提高矿石单体解离度,从而改善磨矿产品粒度组成,提高磨矿产品质量,进而提高后续选别作业相关指标[12 -14 ] . ...
钢锻在磷矿磨矿中的应用研究
1
2014
... 本文基于选矿厂目前的矿石性质,结合选择性磨矿理论,采用对比试验的方法,以优化磨矿介质工作制度为技术改造重点,提高矿石单体解离度,从而改善磨矿产品粒度组成,提高磨矿产品质量,进而提高后续选别作业相关指标[12 -14 ] . ...
短圆柱型磨矿介质用于新疆星塔金矿二锻磨矿的试验研究
1
2016
... 针对选厂目前-0.038 mm粒级含量偏高的问题,采用钢段进行磨矿试验,与钢球介质相比,钢段介质具有选择性破碎粗粒和选择性保护细粒的特点[15 -18 ] ,因此,在保证钢球介质试验条件不变的前提下以钢段作为磨矿介质进行试验,以排除试验过程中不可控因素对试验结果产生的影响,并对比分析了钢段试验结果与推荐方案的磨矿效果[19 -25 ] .图5 为2个方案磨矿产品正累积粒度特性曲线.对2个方案的磨矿产品粒度评价指标进行对比分析,结果见图6 . ...
短圆柱型磨矿介质用于新疆星塔金矿二锻磨矿的试验研究
1
2016
... 针对选厂目前-0.038 mm粒级含量偏高的问题,采用钢段进行磨矿试验,与钢球介质相比,钢段介质具有选择性破碎粗粒和选择性保护细粒的特点[15 -18 ] ,因此,在保证钢球介质试验条件不变的前提下以钢段作为磨矿介质进行试验,以排除试验过程中不可控因素对试验结果产生的影响,并对比分析了钢段试验结果与推荐方案的磨矿效果[19 -25 ] .图5 为2个方案磨矿产品正累积粒度特性曲线.对2个方案的磨矿产品粒度评价指标进行对比分析,结果见图6 . ...
The effect of fine grinding medium feature on grinding results
0
2014
球磨机钢球球径制度对磨碎速率的影响研究
0
2019
球磨机钢球球径制度对磨碎速率的影响研究
0
2019
太钢尖山铁矿一段磨机介质优化研究
1
2019
... 针对选厂目前-0.038 mm粒级含量偏高的问题,采用钢段进行磨矿试验,与钢球介质相比,钢段介质具有选择性破碎粗粒和选择性保护细粒的特点[15 -18 ] ,因此,在保证钢球介质试验条件不变的前提下以钢段作为磨矿介质进行试验,以排除试验过程中不可控因素对试验结果产生的影响,并对比分析了钢段试验结果与推荐方案的磨矿效果[19 -25 ] .图5 为2个方案磨矿产品正累积粒度特性曲线.对2个方案的磨矿产品粒度评价指标进行对比分析,结果见图6 . ...
太钢尖山铁矿一段磨机介质优化研究
1
2019
... 针对选厂目前-0.038 mm粒级含量偏高的问题,采用钢段进行磨矿试验,与钢球介质相比,钢段介质具有选择性破碎粗粒和选择性保护细粒的特点[15 -18 ] ,因此,在保证钢球介质试验条件不变的前提下以钢段作为磨矿介质进行试验,以排除试验过程中不可控因素对试验结果产生的影响,并对比分析了钢段试验结果与推荐方案的磨矿效果[19 -25 ] .图5 为2个方案磨矿产品正累积粒度特性曲线.对2个方案的磨矿产品粒度评价指标进行对比分析,结果见图6 . ...
某选矿厂MQY5064球磨机磨矿产能优化研究
1
2016
... 针对选厂目前-0.038 mm粒级含量偏高的问题,采用钢段进行磨矿试验,与钢球介质相比,钢段介质具有选择性破碎粗粒和选择性保护细粒的特点[15 -18 ] ,因此,在保证钢球介质试验条件不变的前提下以钢段作为磨矿介质进行试验,以排除试验过程中不可控因素对试验结果产生的影响,并对比分析了钢段试验结果与推荐方案的磨矿效果[19 -25 ] .图5 为2个方案磨矿产品正累积粒度特性曲线.对2个方案的磨矿产品粒度评价指标进行对比分析,结果见图6 . ...
某选矿厂MQY5064球磨机磨矿产能优化研究
1
2016
... 针对选厂目前-0.038 mm粒级含量偏高的问题,采用钢段进行磨矿试验,与钢球介质相比,钢段介质具有选择性破碎粗粒和选择性保护细粒的特点[15 -18 ] ,因此,在保证钢球介质试验条件不变的前提下以钢段作为磨矿介质进行试验,以排除试验过程中不可控因素对试验结果产生的影响,并对比分析了钢段试验结果与推荐方案的磨矿效果[19 -25 ] .图5 为2个方案磨矿产品正累积粒度特性曲线.对2个方案的磨矿产品粒度评价指标进行对比分析,结果见图6 . ...
优化钢球级配改善适宜浮选粒级组成的研究
0
2019
优化钢球级配改善适宜浮选粒级组成的研究
0
2019
球磨机研磨介质冲击特性和碰撞能量分布特性研究
0
2018
球磨机研磨介质冲击特性和碰撞能量分布特性研究
0
2018
提高梅山铁矿磨矿产品粒度均匀性的试验研究
0
2014
提高梅山铁矿磨矿产品粒度均匀性的试验研究
0
2014
A multiscale method for including fine particle effects in DEM models of grinding mills
1
2015
... 针对选厂目前-0.038 mm粒级含量偏高的问题,采用钢段进行磨矿试验,与钢球介质相比,钢段介质具有选择性破碎粗粒和选择性保护细粒的特点[15 -18 ] ,因此,在保证钢球介质试验条件不变的前提下以钢段作为磨矿介质进行试验,以排除试验过程中不可控因素对试验结果产生的影响,并对比分析了钢段试验结果与推荐方案的磨矿效果[19 -25 ] .图5 为2个方案磨矿产品正累积粒度特性曲线.对2个方案的磨矿产品粒度评价指标进行对比分析,结果见图6 . ...