江西某铜矿大型球磨机介质制度优化试验研究 |
| 李付博,肖庆飞,黄胤淇,张谦,王旭东 |
|
Experimental Study on Optimizing the Media System of Large-scale Ball Mill in a Copper Mine in Jiangxi Province |
| Fubo LI,Qingfei XIAO,Yinqi HUANG,Qian ZHANG,Xudong WANG |
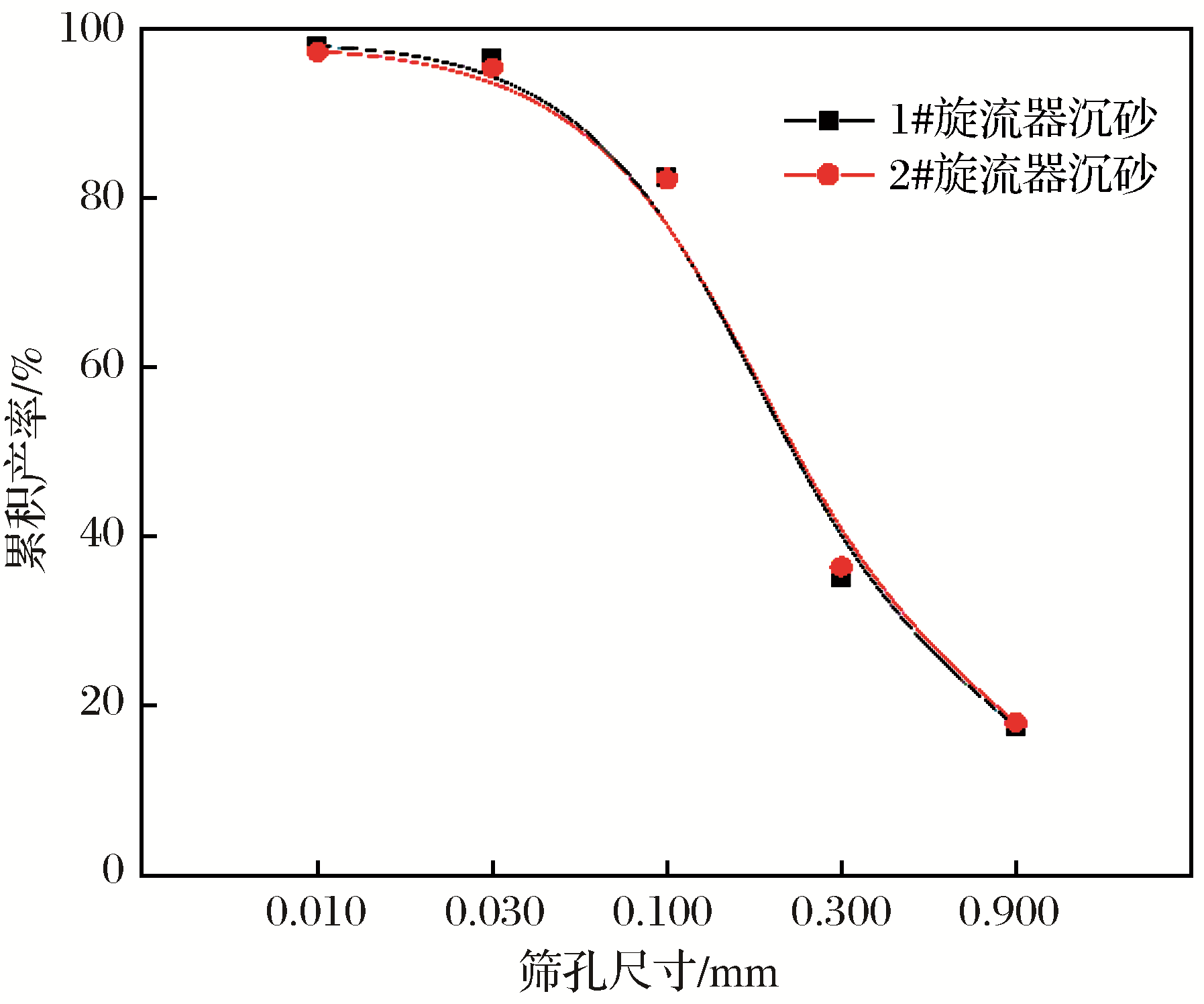
| 图1 1#和2#旋流器沉砂正累积粒度特性曲线 |
| Fig.1 Positive cumulative particle size characteristic curves of sand settling in 1# and 2# cyclone |
|