固液两相耦合条件下全尾砂连续沉降规律研究
康虔 , 1 , 2 , 王运敏 1 , 贺严 3 , 薛希龙 2 , 张楚旋 , 2
1. 中钢集团马鞍山矿山研究院有限公司,安徽 马鞍山 243000
2. 南华大学资源环境与安全工程学院,湖南 衡阳 421001
3. 中南大学资源与安全工程学院,湖南 长沙 410083
Experimental Study on Continuous Settlement Law Under Solid-Liquid Two Phase Coupling Conditions of Unclassified Tailings
KANG Qian , 1 , 2 , WANG Yunmin 1 , HE Yan 3 , XUE Xilong 2 , ZHANG Chuxuan , 2
1. Sinosteel Maanshan Institute of Mining Research Co. , Ltd. ,Maanshan 243000,Anhui,China
2. School of Resources & Environment and Safety Engineering,University of South China,Hengyang 421001,Hunan,China
3. School of Resources and Safety Engineering,Central South University,Changsha 410083,Hunan,China
通讯作者: 张楚旋(1988-),女,江苏连云港人,博士研究生,讲师,从事矿山岩土工程灾害控制研究工作。zhangchuxuan24@csu.edu.cn
收稿日期: 2018-12-05
修回日期: 2019-07-02
网络出版日期: 2019-12-20
基金资助:
金属矿山安全与健康国家重点实验室开放课题“海泡石辅助水泥固化尾砂效能与机理研究” . 2017-JSKSSYS-03 湖南省教育厅科研基金项目“大水矿山地下开采岩体稳定性分级” . 17C1375
Received: 2018-12-05
Revised: 2019-07-02
Online: 2019-12-20
摘要
针对江西某铅锌矿全尾砂难以浓缩的问题,研究探索添加絮凝剂提高其浓缩效果的可行性。对该全尾砂浆体分别进行固液两相耦合条件下静态和动态絮凝沉降正交试验,确定尾砂浆絮凝沉降规律,对絮凝剂选型、用量和给料速度等关键参数进行优化。结果表明:当给料速度由0.89 t/(m2 ·h)减少至0.60 t/(m2 ·h)时,溢流水固含量逐渐降低;当给料浓度为13.59%,AH-910-SH型絮凝剂浓度为20 g/t,给料速度为0.60 t/(m2 ·h)时,底流浓度达到最大值72.82%,溢流水固含量为162.68×10-6 (<300×10-6 ),絮凝沉降效果最佳。该试验为全尾砂快速沉降技术奠定了理论基础,同时为全尾砂高浓度充填方案选择提供了技术参考。
关键词:
全尾砂浆
;
沉降规律
;
固液耦合
;
絮凝剂
;
给料速度
;
充填采矿
Abstract
The technology of unclassified tailings high concentration backfilling has been applied to underground mining gradually.Because it has many advantages such as environmental protection,less dehydration,dispose more tailings.The grain size of tailings are getting smaller and smaller with the progress of beneficiation technology. This situation leads to the result of tailings concentration is unsatisfactory. Aiming at the difficulty of concentrating the super fine tailings of a lead-zinc mine in Jiangxi,this study explored the feasibility of adding flocculant to improve its concentration effect.On the basis of physical and chemical properties analysis for solid-liquid two phase coupling respectively under the condition of static and dynamic flocculation settlement of orthogonal test,we determine the tail slurry flocculating settling velocity in the enrichment,and by using the MATLAB software carry on the regression analysis of experimental data for the selection and dosage of flocculant,which provides the basis for the determination of optimal concentration of diluted slurry.Firstly,varieties and dosage of flocculants were determined through static natural settlement tests.Secondly,dynamic flocculation settling tests were conducted according to the varieties and dosage of flocculants that determined before.The influence of feeding speed to the clarity degree of overflow water and the underflow concentration were tested.The experimental results show that the feeding speed by 0.89 t/(m2 · h) reduced to 0.60 t/(m2 · h),overflow water solid content gradually decreased,when the feed concentration 13.59%,the concentration of the AH-910-SH type flocculant is 20 g/t,the feeding speed is 0.60 t/(m2 · h),the underflow concentration reached a maximum of 72.82%,the overflow water solid content is 162.68×10-6 (<300×10-6 ),the superfine all backfilling flocculation sedimentation effect is best.This test provided theoretical basis to the rapid settlement technology of ultra-fine unclassified tailings.Thus,the test established the technical foundation of high concentration backfilling of ultra-fine unclassified tailings.The results of the study have certain significance for the application of continuous settlement technology of unclassified tailings.
Keywords:
unclassified tailings slurry
;
settlement law
;
solid-liquid coupling
;
flocculant
;
feeding speed
;
mining with backfill
本文引用格式
康虔, 王运敏, 贺严, 薛希龙, 张楚旋. 固液两相耦合条件下全尾砂连续沉降规律研究 [J]. 黄金科学技术 , 2019, 27(6): 896-902 doi:10.11872/j.issn.1005-2518.2019.06.896
KANG Qian, WANG Yunmin, HE Yan, XUE Xilong, ZHANG Chuxuan. Experimental Study on Continuous Settlement Law Under Solid-Liquid Two Phase Coupling Conditions of Unclassified Tailings [J]. Gold Science and Technology , 2019, 27(6): 896-902 doi:10.11872/j.issn.1005-2518.2019.06.896
目前,我国采矿活动破坏的土地面积超过4×104 km2 ,釆矿引起的塌陷面积达1 150 km2 ,发生采矿塌陷灾害事故的城市有30多个[1 ,2 ,3 ] 。我国尾矿处理方式主要有地表堆存和井下充填2种,无论采取哪种处理方式都需要尾砂充填体或堆积体具有一定的强度。尾砂粒径过细会导致渗透系数小,不利于尾砂浆体的脱水和快速硬化,明显降低充填体的强度,破坏地表及井下环境,甚至导致工程灾害[4 ] 。因此,开展全尾砂的连续沉降规律研究对全尾砂井下充填、地表堆存具有重大的社会效益和经济效益。
全尾砂絮凝沉降及其装备是全尾砂充填工艺的核心技术,是实现安全高效充填的前提条件之一[5 ] 。国内尾砂沉降研究主要针对分级尾砂或细粒较少的全尾砂,缺乏对全尾砂连续沉降问题的系统研究,外部添加剂等条件对尾砂沉降速度的影响尚不明确[6 ,7 ,8 ] 。全尾砂浓缩沉降理论研究与实际偏差较大,导致工程设计盲目性大、系统维护及改良难度高,影响到全尾砂充填技术的推广应用。
本文以絮凝沉降理论为基础,通过静态和动态浓密沉降试验,探索全尾砂的物理化学特性对沉降速度和底流浓度的影响;构建全尾砂絮凝沉降模型,揭示全尾砂在液固两相耦合条件下的连续沉降机理,并结合工艺要求确定合理的絮凝剂选型、用量和给料速度等关键参数。
1 全尾砂物理化学特性分析
1.1 全尾砂粒径组成
全尾砂粒级组成是影响尾砂浓缩沉降速度及充填体强度的重要指标。本研究经过多次取样,采用水筛筛分法对全尾砂进行级配测定[9 ,10 ] 。样品取自尾矿库泵站出口处,全尾砂级配测定结果如表1 所示,样品75 μm以下占68.84%,37 μm以下占51.80%。
1.2 全尾砂物理力学性质及化学成分测定
对全尾砂进行物理力学性质测定,结果见表2 和表3 ,全尾砂粒径组成曲线如图1 所示。本次研究主要采用原子吸收法、钼蓝光度法、EDTA滴定法、EDTA容量法和电位法等方法对全尾砂化学成分进行测定[11 ,12 ] ,测定结果见表4 。
图1
图1
全尾砂粒级分布曲线
Fig.1
Particle-size distribution of unclassified tailings
由测试结果可知,该样品渗透系数较小,仅为3.86×10-6 cm/s,且该全尾砂0.075~0.005 mm范围内颗粒占比达到71.91%,中值粒径仅为0.0196 mm,远小于一般矿山所用充填尾砂粒度,不是理想的充填骨料。尾砂中主要矿物成分为Al2 O3 和SiO2 ,化学性质较为稳定,与添加剂不发生化学反应,充填至井下不会产生二次污染。本研究拟添加不同絮凝剂测试固液两相耦合条件下全尾砂连续沉降规律,以寻找合适的技术手段,使该全尾砂适合用作充填骨料。
2 全尾砂絮凝沉降试验
2.1 静态絮凝沉降试验
(1)全尾砂自然沉降试验。全尾砂静态絮凝浓缩沉降是物理模拟试验,通过在静止容器中添加不同的絮凝剂并控制其剂量,测定尾砂沉降速度,从而确定最优的絮凝剂及其添加量。全尾砂浓缩沉降过程比较容易观察,自上而下分为清液区、等浓度区、变浓度区和沉聚区共4个部分。如图2 所示,清液区和沉聚区会逐渐扩大,等浓度区则会逐渐缩小直至消失。
图2
图2
全尾砂自然沉降过程示意图
A-清液区;B-等浓度区;C-变浓度区;D-沉聚区
Fig.2
Schematic of natural settlement process of unclassified tailings
静态自然沉降试验初期,清液区和等浓度区之间的界面逐渐下移,直到等浓度区消失并与变浓度区的上界面重合,此为静态沉降第一阶段。此阶段中清液区与等浓度区之间的界面向下移动的速度被称为该全尾砂中颗粒的表观沉降速度(u 0 )。表观沉降速度(u 0 )不同于颗粒的沉降速度(u t ),因为它是颗粒相对于砂仓壁的速度,而不是颗粒相对于流体的速度[13 ,14 ,15 ] 。
随后,清液区与变浓度区之间的界面继续下移,直到变浓度区也消失,只剩下清液区和沉聚区,称作静态沉降第二阶段。该阶段时间较长,沉降速度相对于上一阶段较慢。
以某全尾砂自然沉降曲线(图3 )为例,对比可知该全尾砂自然沉降速度很慢,其自然沉降需要50 min左右才能达到絮凝沉降10 min的效果。考虑到全尾砂的沉降速度与尾砂浆质量浓度存在正比关系,其敏感区间的范围一般为质量浓度6%~16%,因而可以确定该全尾砂沉降速度最快时的质量浓度。
图3
图3
某铁矿全尾砂自然沉降高度曲线
Fig.3
Natural settlement height curve of unclassified tailings in an iron mine
(2)絮凝剂选型试验。絮凝剂选型试验的主要目的是根据全尾砂的特性确定最优絮凝剂[16 ] 。考虑到该尾砂中矿物化学成分较稳定,与絮凝剂不会发生化学反应,本次试验分作以下2组:第1组全尾砂添加絮凝剂用量为20 g/t;第二组全尾砂添加絮凝剂用量为40 g/t。分别采用苏州昊诺、BASF、NT-108A、AN-910-SH、AH-912-SH和AN-926-SHV共6种絮凝剂。试验中采用质量浓度为10.0%的尾砂矿浆,试验结果如图4 所示。
图4
图4
不同絮凝剂类型和用量条件下全尾砂自然沉降速度曲线
(a)絮凝剂添加量为20 g/t;(b)絮凝剂添加量为40 g/t
Fig.4
Natural sedimentation velocity curves of unclassified tailings under different flocculant types and dosages
试验结果表明,添加絮凝剂对该铅锌矿尾砂沉降效果改善非常明显。尤其是AH-910-SH和AH-912-SH这2种絮凝剂对该尾砂的沉降效果改善较为明显。增加絮凝剂用量同样能够在一定程度上提高全尾砂的沉降速度,但从6种絮凝剂的总体效果来看,增加絮凝剂用量对沉降速度的改善能力有限。当沉降时长超过120 s之后,絮凝剂的品种及添加剂量对沉降速度的影响就几乎体现不出来。综合考虑初期沉降速度和絮凝剂用量,本研究推荐使用AH-910-SH型絮凝剂进行下一阶段的动态絮凝沉降试验。
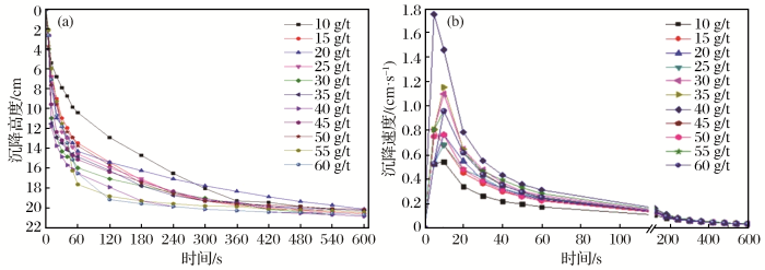
(3)絮凝剂最佳用量试验。本试验的目的是确定适用于该全尾砂AN-910-SH型絮凝剂的最佳添加量。试验先采用质量浓度为10%的全尾砂矿浆,分别加入10,15,20,25,35,40,45,50,55,60 g/t的AN-910-SH型絮凝剂,观察其沉降速度、清液澄清度和底流浓度,找出絮凝剂最佳添加量[17 ] 。在不同AN-910-SH型絮凝剂添加量下全尾砂沉降试验结果如图5 所示,沉降曲线如图6 所示。
图5
图5
絮凝剂添加量对沉降速度的影响试验
Fig.5
Test on the influence of flocculant dosages on sedimentation rate
图6
图6
AN-910-SH絮凝剂不同添加量下的全尾砂沉降高度及速度曲线
Fig.6
Settlement height and velocity curves of unclassified tailings with different dosages of AN-910-SH flocculant
由试验结果可知:0~120 s是絮凝剂发生絮凝作用的主要时间段,该时段不同絮凝剂添加量下沉降速度有明显的差别;在120 s之后,不同絮凝剂添加量下沉降速度基本趋于一致。综合考虑沉降效果和经济投入,本研究将AN-910-SH型絮凝剂的最佳添加量确定为20 g/t。
2.2 动态絮凝沉降试验
(1)动态絮凝沉降试验装置。全尾砂动态絮凝沉降试验共设计4个蠕动泵,用于保证全尾砂样品、絮凝剂和水进入自制浓密试验装置的给料系统中,同时从试验装置底部取出底流矿样。本试验设计有2个不同的给药点用于添加絮凝剂,絮凝剂添加量根据2.1小节静态沉降试验所得数据确定。
首先,将该全尾砂配制成质量浓度为10%的全尾砂矿浆。将全尾砂矿浆注入一个30 L的试验桶内,采用电动搅拌机充分搅拌后再通过蠕动泵泵入管道。调整3个给料蠕动泵的转速,使絮凝剂、尾矿矿样达到静态沉降试验所确定的比例。
然后,进行不同情况下的浓密试验模拟。在泥层高度为120 mm时开始对溢流水取样测试;在泥层高度为240 mm时开始对底流浓度取样测试,试验装置见图7 。
图7
图7
动态絮凝沉降试验装置
Fig.7
Dynamic flocculation settling test device
根据几何相似,本研究将深锥浓密机按比例缩小制成模型。在试验物料不变的情况下,模型中全尾砂沉降过程的变化趋势基本一致[18 ,19 ,20 ] 。
(2)动态絮凝沉降试验结果及分析。本次动态絮凝沉降试验主要是研究该铅锌矿全尾砂在10%的给料浓度下,絮凝剂添加量为20 g/t时,给料速度对溢流水澄清度和底流浓度的影响。试验过程如图8 所示,试验结果如表5 所示。
图8
图8
动态絮凝沉降试验过程
Fig.8
Dynamic flocculation settling test process
根据本次全尾砂动态絮凝沉降试验结果可知:当给料速度由0.3 t/(m2 ·h)提高至0.9 t/(m2 ·h)时,溢流水固含量从98 mg/L增加到475 mg/L;当给料速度低于0.8 t/(m2 ·h)时,溢流水固含量均小于300 mg/L。由此可知,进料速度增加会导致尾砂颗粒之间没有足够的时间发生絮凝反应,使得底流浓度降低,溢流水固含量增加。为了保证工程可用的沉降效果及进料量,本研究认为该铅锌矿全尾砂最佳给料速度为0.6 t/(m2 ·h)。
3 结论
(1)当向全尾砂中添加絮凝剂后,0~120 s是絮凝剂发生絮凝作用的主要时间段,不同絮凝剂添加量下沉降速度有明显的差别,在120 s之后,不同絮凝剂添加量下沉降速度基本保持一致。通过全尾砂静态絮凝沉降试验,推荐该铅锌矿采用AN-910-SH型絮凝剂,添加量为20 g/t。
(2)随着给料速度的增加,全尾砂浆的溢流水固含量逐步增加,但是底流浓度逐步减小。
(3)溢流水和泥层上升速度随着给料速度的增加而增大,当溢流水和泥层上升速度达到临界值时,会影响沉降效果,进而影响到经济效益,各矿山应根据其尾砂浆试验确定给料速度以获得最优沉降效果。
参考文献
View Option
[1]
Wang X M ,Zhao B ,Zhang C S ,et al . Paste-like self-flowing transportation backfill technology based on coal gangue
[J].Mining Science and Technology ,2009 ,19 (2 ):137 -143 .
[本文引用: 1]
[2]
Zhang J ,Qiang S ,Fourie A ,et al . Risk assessment and prevention of surface subsidence in deep multiple coal seam mining under dense above-ground buildings: Case study
[J].Human and Ecological Risk Assessment ,2018 (4 ):1 -15 .
[本文引用: 1]
[3]
Wang A ,Ma L ,Wang Z ,et al . Soil and water conservation in mining area based on ground surface subsidence control: Development of a high-water swelling material and its application in backfilling mining
[J].Environmental Earth Sciences ,2016 ,75 (9 ):779 -788 .
[本文引用: 1]
[4]
史秀志 ,胡海燕 ,杜向红 ,等 . 立式砂仓尾砂浆液絮凝沉降试验研究
[J]. 矿冶工程 ,2010 ,30 (3 ):1 -3 .
[本文引用: 1]
Shi Xiuzhi ,Hu Haiyan ,Du Xianghong ,et al . Experimental study on flocculating sedimentation of tailings slurry in a vertical sand tank
[J].Mining and Metallurgical Engineering ,2010 ,30 (3 ):1 -3 .
[本文引用: 1]
[5]
费祥俊 .浆体与粒状物料输送水力学
[M].北京 :清华大学出版社 ,1994 :117 -130 .
[本文引用: 1]
Fei Xiangjun .Hydraulics of Transporting Slurry and Granular Material
[M].Beijing :Tsinghua University Press ,1994 : 117 -130 .
[本文引用: 1]
[6]
吕宪俊 ,金子桥 ,胡术刚 ,等 .细粒尾矿充填料浆的流变性及充填能力研究
[J].金属矿山 ,2011 ,41 (5 ): 32 -35 .
[本文引用: 1]
Xianjun Lü ,Jin Ziqiao ,Hu Shugang ,et al . Study on the rheological property and filling capacity of the filling slurry with fine tailing
[J]. Metal Mine ,2011 ,41 (5 ): 32 -35 .
[本文引用: 1]
[7]
王星 ,瞿圆媛 ,胡伟伟 ,等 .尾矿浆絮凝沉降影响因素的试验研究
[J],金属矿山 ,2008 ,38 (5 ): 149 -153 .
[本文引用: 1]
Wang Xing ,Qu Yuanyuan ,Hu Weiwei ,et al . Experiment research on factors influencing tailing pulp flocculation settling
[J]. Metal Mine ,2008 ,38 (5 ): 149 -153 .
[本文引用: 1]
[8]
Meunier L ,Koch I ,Reimer K J . Effect of particle size on arsenic bioaccessibility in gold mine tailings of Nova Scotia
[J].Science of the Unclassified Environment ,2011 ,409 (11 ):2233 -2243 .
[本文引用: 1]
[9]
De Kretser R G ,Scales P J . The effect of temperature on the yield stress of mineral suspensions
[J]. Journal of Colloid and Interface Science ,2008 ,328 (1 ): 187 -193 .
[本文引用: 1]
[10]
Schowalter W R ,Christensen G .Toward a rationalization of the slump test for fresh concrete:Comparisons of calculations and experiments
[J]. Journal of Rheology ,1998 ,42 (4 ): 865 -870 .
[本文引用: 1]
[11]
Bauer E ,de Sousa J G G ,GuimarSes E A ,et al . Study of the laboratory Vane test on mortars
[J].Building and Environment ,2007 ,42 (1 ): 86 -92 .
[本文引用: 1]
[12]
Ferraris C F ,Gaidis J M . Connection between the rheology of concrete and rheology of cement paste
[J]. ACI Materials Journal ,1992 ,89 (4 ): 383 -393 .
[本文引用: 1]
[13]
王新民 ,肖卫国 ,王小卫 ,等 .金川全尾砂膏体充填料浆流变特性研究
[J].矿冶工程 ,2002 ,22 (3 ): 13 -16 .
[本文引用: 1]
Wang Xinmin ,Xiao Weiguo ,Wang Xiaowei ,et al . Study on rheological properies of full tailing paste filling slurry of Jinchuan mine
[J]. Mining and Metallurgical Engineering ,2002 ,22 (3 ): 13 -16 .
[本文引用: 1]
[14]
王洪武 ,吴爱祥 ,刘超 ,等 .五道岭钼矿全尾砂絮凝沉降试验研究
[J].昆明理工大学学报 ,2010 ,35 (2 ): 1 -4 .
[本文引用: 1]
Wang Hongwu ,Wu Aixiang ,Liu Chao ,et al . Experimental study on unclassified tailings flocculation and settlement in Wudaoling molybdenum mine
[J].Journal of Kunming University of Science and Technology ,2010 ,35 (2 ): 1 -4 .
[本文引用: 1]
[15]
湛含辉 ,罗彦伟 .高浓度细粒煤泥水的絮凝沉降研究
[J].煤炭科学技术 ,2007 ,35 (2 ):77 -79 .
[本文引用: 1]
Zhan Hanhui ,Luo Yanwei . Research on flocculation setting of high density fine particle coal slurry
[J]. Coal Science and Technology ,2007 ,35 (2 ):77 -79 .
[本文引用: 1]
[16]
焦华喆 ,王洪江 ,吴爱祥 ,等 .全尾砂絮凝沉降规律及其机理
[J].北京科技大学学报 ,2010 ,32 (6 ):702 -707 .
[本文引用: 1]
Jiao Huazhe ,Wang Hongjiang ,Wu Aixiang ,et al . Rule and mechanism of flocculation sedimentation of unclassified tailings
[J]. Journal of University of Science and Technology Beijing ,2010 ,32 (6 ):702 -707 .
[本文引用: 1]
[17]
刘晓辉 ,吴爱祥 ,王洪江 ,等 .膏体充填尾矿浓密规律初探
[J].金属矿山 ,2009 ,39 (9 ):38 -44 .
[本文引用: 1]
Liu Xiaohui ,Wu Aixiang ,Wang Hongjiang ,et al . A primary discussion on the thickening law of paste-filling
[J]. Metal Mine ,2009 ,39 (9 ):38 -44 .
[本文引用: 1]
[18]
He M ,Wang Y ,Forssberg E . Slurry rheology in wet ultrafine grinding of industrial minerals: A review
[J]. Powder Technology ,2004 ,147 (1 ): 94 -112 .
[本文引用: 1]
[19]
Wong H H C ,Kwan A K H . Rheology of cement paste: Role of excess water to solid surface area ratio
[J]. Journal of Materials in Civil Engineering ,2008 ,20 (2 ): 189 -197 .
[本文引用: 1]
[20]
Saak A W ,Jennings H M ,Shah S P . The influence of wall slip on yield stress and viscoelastic measurements of cement paste
[J]. Cement and Concrete Research ,2001 ,31 (2 ): 205 -212 .
[本文引用: 1]
Paste-like self-flowing transportation backfill technology based on coal gangue
1
2009
... 目前,我国采矿活动破坏的土地面积超过4×104 km2 ,釆矿引起的塌陷面积达1 150 km2 ,发生采矿塌陷灾害事故的城市有30多个[1 ,2 ,3 ] .我国尾矿处理方式主要有地表堆存和井下充填2种,无论采取哪种处理方式都需要尾砂充填体或堆积体具有一定的强度.尾砂粒径过细会导致渗透系数小,不利于尾砂浆体的脱水和快速硬化,明显降低充填体的强度,破坏地表及井下环境,甚至导致工程灾害[4 ] .因此,开展全尾砂的连续沉降规律研究对全尾砂井下充填、地表堆存具有重大的社会效益和经济效益. ...
Risk assessment and prevention of surface subsidence in deep multiple coal seam mining under dense above-ground buildings: Case study
1
... 目前,我国采矿活动破坏的土地面积超过4×104 km2 ,釆矿引起的塌陷面积达1 150 km2 ,发生采矿塌陷灾害事故的城市有30多个[1 ,2 ,3 ] .我国尾矿处理方式主要有地表堆存和井下充填2种,无论采取哪种处理方式都需要尾砂充填体或堆积体具有一定的强度.尾砂粒径过细会导致渗透系数小,不利于尾砂浆体的脱水和快速硬化,明显降低充填体的强度,破坏地表及井下环境,甚至导致工程灾害[4 ] .因此,开展全尾砂的连续沉降规律研究对全尾砂井下充填、地表堆存具有重大的社会效益和经济效益. ...
Soil and water conservation in mining area based on ground surface subsidence control: Development of a high-water swelling material and its application in backfilling mining
1
2016
... 目前,我国采矿活动破坏的土地面积超过4×104 km2 ,釆矿引起的塌陷面积达1 150 km2 ,发生采矿塌陷灾害事故的城市有30多个[1 ,2 ,3 ] .我国尾矿处理方式主要有地表堆存和井下充填2种,无论采取哪种处理方式都需要尾砂充填体或堆积体具有一定的强度.尾砂粒径过细会导致渗透系数小,不利于尾砂浆体的脱水和快速硬化,明显降低充填体的强度,破坏地表及井下环境,甚至导致工程灾害[4 ] .因此,开展全尾砂的连续沉降规律研究对全尾砂井下充填、地表堆存具有重大的社会效益和经济效益. ...
立式砂仓尾砂浆液絮凝沉降试验研究
1
2010
... 目前,我国采矿活动破坏的土地面积超过4×104 km2 ,釆矿引起的塌陷面积达1 150 km2 ,发生采矿塌陷灾害事故的城市有30多个[1 ,2 ,3 ] .我国尾矿处理方式主要有地表堆存和井下充填2种,无论采取哪种处理方式都需要尾砂充填体或堆积体具有一定的强度.尾砂粒径过细会导致渗透系数小,不利于尾砂浆体的脱水和快速硬化,明显降低充填体的强度,破坏地表及井下环境,甚至导致工程灾害[4 ] .因此,开展全尾砂的连续沉降规律研究对全尾砂井下充填、地表堆存具有重大的社会效益和经济效益. ...
立式砂仓尾砂浆液絮凝沉降试验研究
1
2010
... 目前,我国采矿活动破坏的土地面积超过4×104 km2 ,釆矿引起的塌陷面积达1 150 km2 ,发生采矿塌陷灾害事故的城市有30多个[1 ,2 ,3 ] .我国尾矿处理方式主要有地表堆存和井下充填2种,无论采取哪种处理方式都需要尾砂充填体或堆积体具有一定的强度.尾砂粒径过细会导致渗透系数小,不利于尾砂浆体的脱水和快速硬化,明显降低充填体的强度,破坏地表及井下环境,甚至导致工程灾害[4 ] .因此,开展全尾砂的连续沉降规律研究对全尾砂井下充填、地表堆存具有重大的社会效益和经济效益. ...
浆体与粒状物料输送水力学
1
1994
... 全尾砂絮凝沉降及其装备是全尾砂充填工艺的核心技术,是实现安全高效充填的前提条件之一[5 ] .国内尾砂沉降研究主要针对分级尾砂或细粒较少的全尾砂,缺乏对全尾砂连续沉降问题的系统研究,外部添加剂等条件对尾砂沉降速度的影响尚不明确[6 ,7 ,8 ] .全尾砂浓缩沉降理论研究与实际偏差较大,导致工程设计盲目性大、系统维护及改良难度高,影响到全尾砂充填技术的推广应用. ...
浆体与粒状物料输送水力学
1
1994
... 全尾砂絮凝沉降及其装备是全尾砂充填工艺的核心技术,是实现安全高效充填的前提条件之一[5 ] .国内尾砂沉降研究主要针对分级尾砂或细粒较少的全尾砂,缺乏对全尾砂连续沉降问题的系统研究,外部添加剂等条件对尾砂沉降速度的影响尚不明确[6 ,7 ,8 ] .全尾砂浓缩沉降理论研究与实际偏差较大,导致工程设计盲目性大、系统维护及改良难度高,影响到全尾砂充填技术的推广应用. ...
细粒尾矿充填料浆的流变性及充填能力研究
1
2011
... 全尾砂絮凝沉降及其装备是全尾砂充填工艺的核心技术,是实现安全高效充填的前提条件之一[5 ] .国内尾砂沉降研究主要针对分级尾砂或细粒较少的全尾砂,缺乏对全尾砂连续沉降问题的系统研究,外部添加剂等条件对尾砂沉降速度的影响尚不明确[6 ,7 ,8 ] .全尾砂浓缩沉降理论研究与实际偏差较大,导致工程设计盲目性大、系统维护及改良难度高,影响到全尾砂充填技术的推广应用. ...
细粒尾矿充填料浆的流变性及充填能力研究
1
2011
... 全尾砂絮凝沉降及其装备是全尾砂充填工艺的核心技术,是实现安全高效充填的前提条件之一[5 ] .国内尾砂沉降研究主要针对分级尾砂或细粒较少的全尾砂,缺乏对全尾砂连续沉降问题的系统研究,外部添加剂等条件对尾砂沉降速度的影响尚不明确[6 ,7 ,8 ] .全尾砂浓缩沉降理论研究与实际偏差较大,导致工程设计盲目性大、系统维护及改良难度高,影响到全尾砂充填技术的推广应用. ...
尾矿浆絮凝沉降影响因素的试验研究
1
2008
... 全尾砂絮凝沉降及其装备是全尾砂充填工艺的核心技术,是实现安全高效充填的前提条件之一[5 ] .国内尾砂沉降研究主要针对分级尾砂或细粒较少的全尾砂,缺乏对全尾砂连续沉降问题的系统研究,外部添加剂等条件对尾砂沉降速度的影响尚不明确[6 ,7 ,8 ] .全尾砂浓缩沉降理论研究与实际偏差较大,导致工程设计盲目性大、系统维护及改良难度高,影响到全尾砂充填技术的推广应用. ...
尾矿浆絮凝沉降影响因素的试验研究
1
2008
... 全尾砂絮凝沉降及其装备是全尾砂充填工艺的核心技术,是实现安全高效充填的前提条件之一[5 ] .国内尾砂沉降研究主要针对分级尾砂或细粒较少的全尾砂,缺乏对全尾砂连续沉降问题的系统研究,外部添加剂等条件对尾砂沉降速度的影响尚不明确[6 ,7 ,8 ] .全尾砂浓缩沉降理论研究与实际偏差较大,导致工程设计盲目性大、系统维护及改良难度高,影响到全尾砂充填技术的推广应用. ...
Effect of particle size on arsenic bioaccessibility in gold mine tailings of Nova Scotia
1
2011
... 全尾砂絮凝沉降及其装备是全尾砂充填工艺的核心技术,是实现安全高效充填的前提条件之一[5 ] .国内尾砂沉降研究主要针对分级尾砂或细粒较少的全尾砂,缺乏对全尾砂连续沉降问题的系统研究,外部添加剂等条件对尾砂沉降速度的影响尚不明确[6 ,7 ,8 ] .全尾砂浓缩沉降理论研究与实际偏差较大,导致工程设计盲目性大、系统维护及改良难度高,影响到全尾砂充填技术的推广应用. ...
The effect of temperature on the yield stress of mineral suspensions
1
2008
... 全尾砂粒级组成是影响尾砂浓缩沉降速度及充填体强度的重要指标.本研究经过多次取样,采用水筛筛分法对全尾砂进行级配测定[9 ,10 ] .样品取自尾矿库泵站出口处,全尾砂级配测定结果如表1 所示,样品75 μm以下占68.84%,37 μm以下占51.80%. ...
Toward a rationalization of the slump test for fresh concrete:Comparisons of calculations and experiments
1
1998
... 全尾砂粒级组成是影响尾砂浓缩沉降速度及充填体强度的重要指标.本研究经过多次取样,采用水筛筛分法对全尾砂进行级配测定[9 ,10 ] .样品取自尾矿库泵站出口处,全尾砂级配测定结果如表1 所示,样品75 μm以下占68.84%,37 μm以下占51.80%. ...
Study of the laboratory Vane test on mortars
1
2007
... 对全尾砂进行物理力学性质测定,结果见表2 和表3 ,全尾砂粒径组成曲线如图1 所示.本次研究主要采用原子吸收法、钼蓝光度法、EDTA滴定法、EDTA容量法和电位法等方法对全尾砂化学成分进行测定[11 ,12 ] ,测定结果见表4 . ...
Connection between the rheology of concrete and rheology of cement paste
1
1992
... 对全尾砂进行物理力学性质测定,结果见表2 和表3 ,全尾砂粒径组成曲线如图1 所示.本次研究主要采用原子吸收法、钼蓝光度法、EDTA滴定法、EDTA容量法和电位法等方法对全尾砂化学成分进行测定[11 ,12 ] ,测定结果见表4 . ...
金川全尾砂膏体充填料浆流变特性研究
1
2002
... 静态自然沉降试验初期,清液区和等浓度区之间的界面逐渐下移,直到等浓度区消失并与变浓度区的上界面重合,此为静态沉降第一阶段.此阶段中清液区与等浓度区之间的界面向下移动的速度被称为该全尾砂中颗粒的表观沉降速度(u 0 ).表观沉降速度(u 0 )不同于颗粒的沉降速度(u t ),因为它是颗粒相对于砂仓壁的速度,而不是颗粒相对于流体的速度[13 ,14 ,15 ] . ...
金川全尾砂膏体充填料浆流变特性研究
1
2002
... 静态自然沉降试验初期,清液区和等浓度区之间的界面逐渐下移,直到等浓度区消失并与变浓度区的上界面重合,此为静态沉降第一阶段.此阶段中清液区与等浓度区之间的界面向下移动的速度被称为该全尾砂中颗粒的表观沉降速度(u 0 ).表观沉降速度(u 0 )不同于颗粒的沉降速度(u t ),因为它是颗粒相对于砂仓壁的速度,而不是颗粒相对于流体的速度[13 ,14 ,15 ] . ...
五道岭钼矿全尾砂絮凝沉降试验研究
1
2010
... 静态自然沉降试验初期,清液区和等浓度区之间的界面逐渐下移,直到等浓度区消失并与变浓度区的上界面重合,此为静态沉降第一阶段.此阶段中清液区与等浓度区之间的界面向下移动的速度被称为该全尾砂中颗粒的表观沉降速度(u 0 ).表观沉降速度(u 0 )不同于颗粒的沉降速度(u t ),因为它是颗粒相对于砂仓壁的速度,而不是颗粒相对于流体的速度[13 ,14 ,15 ] . ...
五道岭钼矿全尾砂絮凝沉降试验研究
1
2010
... 静态自然沉降试验初期,清液区和等浓度区之间的界面逐渐下移,直到等浓度区消失并与变浓度区的上界面重合,此为静态沉降第一阶段.此阶段中清液区与等浓度区之间的界面向下移动的速度被称为该全尾砂中颗粒的表观沉降速度(u 0 ).表观沉降速度(u 0 )不同于颗粒的沉降速度(u t ),因为它是颗粒相对于砂仓壁的速度,而不是颗粒相对于流体的速度[13 ,14 ,15 ] . ...
高浓度细粒煤泥水的絮凝沉降研究
1
2007
... 静态自然沉降试验初期,清液区和等浓度区之间的界面逐渐下移,直到等浓度区消失并与变浓度区的上界面重合,此为静态沉降第一阶段.此阶段中清液区与等浓度区之间的界面向下移动的速度被称为该全尾砂中颗粒的表观沉降速度(u 0 ).表观沉降速度(u 0 )不同于颗粒的沉降速度(u t ),因为它是颗粒相对于砂仓壁的速度,而不是颗粒相对于流体的速度[13 ,14 ,15 ] . ...
高浓度细粒煤泥水的絮凝沉降研究
1
2007
... 静态自然沉降试验初期,清液区和等浓度区之间的界面逐渐下移,直到等浓度区消失并与变浓度区的上界面重合,此为静态沉降第一阶段.此阶段中清液区与等浓度区之间的界面向下移动的速度被称为该全尾砂中颗粒的表观沉降速度(u 0 ).表观沉降速度(u 0 )不同于颗粒的沉降速度(u t ),因为它是颗粒相对于砂仓壁的速度,而不是颗粒相对于流体的速度[13 ,14 ,15 ] . ...
全尾砂絮凝沉降规律及其机理
1
2010
... (2)絮凝剂选型试验.絮凝剂选型试验的主要目的是根据全尾砂的特性确定最优絮凝剂[16 ] .考虑到该尾砂中矿物化学成分较稳定,与絮凝剂不会发生化学反应,本次试验分作以下2组:第1组全尾砂添加絮凝剂用量为20 g/t;第二组全尾砂添加絮凝剂用量为40 g/t.分别采用苏州昊诺、BASF、NT-108A、AN-910-SH、AH-912-SH和AN-926-SHV共6种絮凝剂.试验中采用质量浓度为10.0%的尾砂矿浆,试验结果如图4 所示. ...
全尾砂絮凝沉降规律及其机理
1
2010
... (2)絮凝剂选型试验.絮凝剂选型试验的主要目的是根据全尾砂的特性确定最优絮凝剂[16 ] .考虑到该尾砂中矿物化学成分较稳定,与絮凝剂不会发生化学反应,本次试验分作以下2组:第1组全尾砂添加絮凝剂用量为20 g/t;第二组全尾砂添加絮凝剂用量为40 g/t.分别采用苏州昊诺、BASF、NT-108A、AN-910-SH、AH-912-SH和AN-926-SHV共6种絮凝剂.试验中采用质量浓度为10.0%的尾砂矿浆,试验结果如图4 所示. ...
膏体充填尾矿浓密规律初探
1
2009
... (3)絮凝剂最佳用量试验.本试验的目的是确定适用于该全尾砂AN-910-SH型絮凝剂的最佳添加量.试验先采用质量浓度为10%的全尾砂矿浆,分别加入10,15,20,25,35,40,45,50,55,60 g/t的AN-910-SH型絮凝剂,观察其沉降速度、清液澄清度和底流浓度,找出絮凝剂最佳添加量[17 ] .在不同AN-910-SH型絮凝剂添加量下全尾砂沉降试验结果如图5 所示,沉降曲线如图6 所示. ...
膏体充填尾矿浓密规律初探
1
2009
... (3)絮凝剂最佳用量试验.本试验的目的是确定适用于该全尾砂AN-910-SH型絮凝剂的最佳添加量.试验先采用质量浓度为10%的全尾砂矿浆,分别加入10,15,20,25,35,40,45,50,55,60 g/t的AN-910-SH型絮凝剂,观察其沉降速度、清液澄清度和底流浓度,找出絮凝剂最佳添加量[17 ] .在不同AN-910-SH型絮凝剂添加量下全尾砂沉降试验结果如图5 所示,沉降曲线如图6 所示. ...
Slurry rheology in wet ultrafine grinding of industrial minerals: A review
1
2004
... 根据几何相似,本研究将深锥浓密机按比例缩小制成模型.在试验物料不变的情况下,模型中全尾砂沉降过程的变化趋势基本一致[18 ,19 ,20 ] . ...
Rheology of cement paste: Role of excess water to solid surface area ratio
1
2008
... 根据几何相似,本研究将深锥浓密机按比例缩小制成模型.在试验物料不变的情况下,模型中全尾砂沉降过程的变化趋势基本一致[18 ,19 ,20 ] . ...
The influence of wall slip on yield stress and viscoelastic measurements of cement paste
1
2001
... 根据几何相似,本研究将深锥浓密机按比例缩小制成模型.在试验物料不变的情况下,模型中全尾砂沉降过程的变化趋势基本一致[18 ,19 ,20 ] . ...