基于有限云模型的深基坑安全性研究
Research on the Safety of Deep Foundation Pit Based on Finite Cloud Model
收稿日期: 2017-08-08 修回日期: 2018-01-04 网络出版日期: 2019-03-11
| 基金资助: |
|
Received: 2017-08-08 Revised: 2018-01-04 Online: 2019-03-11
作者简介 About authors
刘赞赞(1992-),男,河南商丘人,硕士研究生,从事矿业安全技术与控制研究工作
关键词:
Keywords:
本文引用格式
黄仁东, 刘赞赞, 闫泽正.
HUANG Rendong, LIU Zanzan, YAN Zezheng.
随着深基坑的大量涌现,基坑事故层出不穷,不仅给企业带来巨大的经济损失,而且造成严重的人员伤亡和负面社会影响。因此,深基坑安全性评价已成为诸如矿山、隧道和地铁等重大工程建设中的关键环节之一,备受岩土工程界的广泛关注[1]。许多学者基于各自的研究领域提出了相应的基坑安全性评价理论与方法,如:可拓法[2,3]、模糊数学法[4]、干扰能量法[5]、人工神经网络法[6]和尖点突变理论[7]等。这些方法均从不同角度对基坑安全性进行了评估,并取得了诸多有益进展,但其在工程实际应用中也存在一定的缺陷,如:在计算过程中,可拓法得出的关联度为负值,没有实际意义;在实际应用过程中,模糊数学法的隶属函数难以确定;干扰能量法的干扰能量值不易确定;人工神经网络法计算结果不稳定且精度低;尖点突变理论的临界区域边界、控制变量和系统状态变量难以界定。
由于基坑开挖是一个庞大、复杂且与周围环境密切相关的系统工程,基坑安全性评价不可避免地面临数据和指标的模糊性和随机性,云模型作为定性概念与定量描述的不确定转换模型,能够很好地解决上述难题[8]。然而,在具体应用过程中,传统云模型理论的评价指标受到一定的限制,即须服从无限区间分布,有违工程实践[9]。因此,在现有研究成果的基础上,为了弥补传统云模型理论的评价指标须服从正态分布的不足,提出基于有限区间云理论的基坑安全综合评价模型,防止评价结果脱离工程实际。为了尽可能获取科学、合理、准确的评价指标权重系数,基于博弈论理论,将层次分析法(AHP)与熵权法优化融合,求取各指标组合权重,并结合工程实例的检测数据验证了该模型的可行性和有效性,为基坑安全性评价研究提供了一种新的科学理论。
1 有限云模型理论
(1)云的定义。设
(2)云的数字特征。云的数字特征——期望
式中:参数
对于单边等级界限的定量指标变量,如
(3)有限云发生器。云有2种发生器,即正向云发生器和逆向云发生器,能够实现定量数值与定性语言之间的模糊性和随机性转换[14]。当评价指标值处于两端等级云期望值内的区间时,采用基于正态分布和模糊数学概念的正向云发生器。正态云定义如下:
若
当评价指标值处于两端隶属云期望值之外的区间时,不再服从正态分布,而转为服从确定度为1的均匀分布。
2 基坑安全性有限云模型评价方法
2.1 基本原理及流程
基于有限云理论的基坑安全性评价模型,首先根据行业标准及相关研究成果确定基坑安全性评价指标体系及分级标准,计算出各指标等级的云数字特征,并结合有限区间的正向云发生器生成云模型图;其次依据待测样本的实测数据计算出各指标值隶属于各安全性等级的确定度,然后基于指标组合权重求出基坑安全性评价的综合确定度,最后依据最大隶属原则确定基坑安全性等级。具体流程如图1所示。
图1
2.2 基坑安全性评价指标选取及云图生成
表1 深基坑安全性评价指标分类标准
Table 1
| 监测指标 | 安全性评价内容 | 安全性评价 | |||
|---|---|---|---|---|---|
| 指标控制标准 | Ⅰ级(危险) | Ⅱ级(注意) | Ⅲ级(安全) | ||
| 墙体变形 | 墙体变形与开挖深度之比 | ||||
| 墙体应力 | 墙体弯矩 | ||||
| 支撑轴力 | 容许轴力 | ||||
| 基底隆起 | 隆起量与开挖深度之比 | ||||
| 沉降值 | 沉降值与开挖深度之比 | ||||
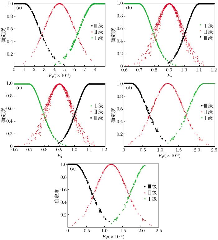
图2
图2
各指标安全性评价的云模型图
Fig.2
Cloud model pictures of each evaluation index under security level
(a)地下连续墙水平位移/开挖深度;(b)墙体容许弯矩/实测弯矩;(c)容许轴力/实测轴力;(d)实测隆起量/开挖深度;
(e)实测沉降值/开挖深度
2.3 基于博弈论的指标权重确定
对于多指标评价体系,使用
为使
根据矩阵的微分性质,得出式(5)最优化的一阶导数条件:
其对应的线性方程组为
利用Matlab数值软件计算出最优解
2.4 综合确定度计算
根据式(4)求出的评价指标组合权重
式中:
3 工程实例分析
表2 基坑安全性指标监测数据
Table 2
| 序号 | 地下连续墙水平位移/mm | 地表沉降/mm | 基底隆起/mm | 支撑轴力/kN | 地下连续墙弯矩/(kN·m) |
|---|---|---|---|---|---|
| 1 | 16.58 | 28.75 | 11.91 | 2 774.5 | 1 778.4 |
| 2 | 16.83 | 32.25 | 12.76 | 2 980.0 | 1 882.9 |
| 3 | 17.21 | 32.89 | 15.87 | 3 129.3 | 2 061.5 |
| 4 | 18.30 | 36.63 | 18.83 | 3 095.7 | 2 203.2 |
| 5 | 20.35 | 39.50 | 17.90 | 3 226.5 | 2 302.0 |
| 6 | 22.50 | 42.26 | 20.15 | 3 415.7 | 2 352.5 |
| 7 | 23.87 | 44.51 | 18.01 | 3 569.2 | 2 446.1 |
| 8 | 24.41 | 46.72 | 19.65 | 3 609.8 | 2 507.5 |
3.1 单因素确定度计算
表3 评价指标安全性等级
| 评价指标 | 确定度(有限/传统) | 本文方法 | 传统云模型 | 可拓学[2]方法 | ||
|---|---|---|---|---|---|---|
| 危险(Ⅰ级) | 注意(Ⅱ级) | 安全(Ⅲ级) | ||||
| 地下连续墙水平位移 | 0.0004/0.0004 | 0.2849/0.2849 | 0.9874/0.9874 | Ⅲ | Ⅲ | Ⅲ |
| 地表沉降 | 0.6532/0.6532 | 0.3586/0.3586 | 0.0000/0.0000 | Ⅰ | Ⅰ | Ⅰ |
| 基地隆起 | 0.0212/0.0212 | 0.9152/0.9152 | 0.0001/0.0001 | Ⅱ | Ⅱ | Ⅱ |
| 支撑轴力 | 0.0000/0.0000 | 0.0000/0.0000 | 1.0000/0.0000 | Ⅲ | - | Ⅲ |
| 地下连续墙弯矩 | 0.0000/0.0000 | 0.0000/0.0000 | 1.0000/0.0000 | Ⅲ | - | Ⅲ |
由表3可知,指标地表沉降安全状况已处于Ⅰ级(危险)状态,必须立刻对沉降过大区域采取相关防护措施,并加大监测力度。指标支撑轴力和地下连续墙弯矩检测值远离两端云的期望值,采用传统云模型方法计算得到确定度为0,无法确定其安全性等级,显然不符合实际;运用本文方法得出确定度为1,安全等级为Ⅲ级,与可拓学方法评价结果一致。通过对比分析可知,相比传统云模型,有限云模型的应用范围更广,评价结果更贴近工程实际。
3.2 评价指标组合权重确定
运用AHP法确定基坑安全性评价指标的主观权重
表4 基坑安全评价指标权重值
Table 4
| 评价指标 | 地下连续墙水平位移 | 地表沉降 | 基底隆起 | 支撑轴力 | 地下连续墙弯矩 |
|---|---|---|---|---|---|
| AHP权值 | 0.1762 | 0.2951 | 0.2623 | 0.1680 | 0.0984 |
| 熵权权值 | 0.2243 | 0.2719 | 0.3057 | 0.0706 | 0.1275 |
| 博弈综合权值 | 0.2229 | 0.2726 | 0.3045 | 0.0734 | 0.1266 |
3.3 确定基坑安全等级
结合各单评价指标确定度和组合权重,通过式(7)求得待评样本的综合确定度,根据最大综合确定度所属的安全级别可判定样本的基坑安全性等级,评价结果见表5。
表5 基坑安全性研究结果及对比
| 安全等级 | 危险 (Ⅰ级) | 注意 (Ⅱ级) | 安全 (Ⅲ级) | 评价结果 |
|---|---|---|---|---|
| 综合确定度(本文方法) | 0.1846 | 0.4399 | 0.4201 | Ⅱ |
| 关联度[2](可拓学方法) | -0.3838 | +0.0354 | -0.0269 | Ⅱ |
4 结论
(1)将研究模糊性和随机性关联问题的有限云模型引入基坑安全评价中,实现了评价指标定性概念与定量描述之间的转换,从而弥补了以往基坑安全性评价方法不能综合考虑评价指标随机性和模糊性的缺陷,为深基坑的安全评估提供了一种全新的定量化方法。
(2)传统云模型在计算指标值远离两端云期望值时,所得确定度为0,因此无法确定其安全性等级,而有限云模型能够弥补该缺陷,且相比传统云模型其应用范围更广,评价结果更贴近于工程实际。
(3)综合层次分析法与熵权法的优点,采用博弈论综合赋权法计算指标权重,避免单一权重确定方法的局限性,使权重分配更加合理。
(4)实例分析表明,有限云模型理论应用于基坑安全性评价是有效可行的,不仅能够准确获得基坑的安全性等级,而且还能够反映出各安全等级的隶属程度,为是否采取加固措施提供依据。
参考文献
基坑变形监测与VB编程
[M].
Foundation Pit Deformation Monitoring and VB Programming
[M].
可拓评价方法和熵值法相结合的基坑安全评价
[J].
Safety evaluation of foundation pits by extension assessment method combined with entropy law
[J].
基于变权和物元原理的地铁基坑施工安全风险评价
[J].
Risk evaluation of subway foundation pit based on variable-weight and matter-element theory
[J].
基于安全预警分级的基坑安全模糊评价研究
[J].
Study of fuzzy evaluation of foundation pit safety based on classification of safety early warning
[J].
基坑安全稳定评判的干扰能量法
[J].
Interference energy method to the security and stability evaluation of foundation pit
[J].
基坑稳定的人工神经网络预测
[J].
Evaluation the stability of deep foundation pit through artificial neural network
[J].
基于尖点突变理论与灰色理论的基坑安全评价
[J].
Based on the point mutation theory and the gray theory foundation pit safety evaluation
[J].
基坑工程与地下工程安全及环境影响控制
[J].
Control of safety of deep excavations and underground engineering and its impact on surrounding environment
[J].
基于有限区间联系云的围岩稳定性评价模型
[J].
A novel cloud model coupled with connection number based on finite intervals for evaluation of surrounding rock stability
[J].
基于云模型的围岩稳定性分类
[J].
Classification of stability of surrounding rock using cloud model
[J].
一种基于改进云模型的信用评价方法
[J].
A credit evaluation method based on improved cloud model
[J].
基于云模型的隧道塌方风险等级评价
[J].
Evaluation on risk grade of tunnel collapse based on cloud model
[J].
采空区稳定性的改进云模型二维评判
[J].
Improved cloud model for two dimensional stability evaluation of goaf
[J].
基于熵权—正态云模型的岩爆烈度分级预测研究
[J].
Grading prediction of rockburst intensity based on entropy and normal cloud model
[J].
基坑工程施工监测规程:DG/TJ08-2001-2006
[S].
Foundation pit engineering construction monitoring procedures:DG/TJ08-2001-2006
.[S].
深基坑变形控制指标研究
[J].
Deformation control criteria of deep excavations
[J].
抗剪强度指标对受锚基坑边坡稳定性的影响分析
[J].
Analysis on stability of anchored pit foundation slope based on index of shear strength
[J].
软土市政地下工程施工技术手册
[M].
Soft Soil Municipal Underground Engineering Construction Technical Manual
[M].
Analytical hierarchy process(AHP) application for reinforcement of hydropower strategy in Nepal
[J].
基于AHP-熵权法的机场服务质量云模型评价
[J].
Evaluation of airport service quality cloud model based on AHP-Entropy weight method
[J].
基于博弈论组合赋权的泥石流危险度评价
[J].
Combined weight method based on game theory for debris flow hazard risk assessment
[J].
复兴东路隧道工程浦东岸边段深基坑开挖同步检测设计及信息化施工效果分析
[J].
Analysis on on-time supervising design and information construction effect for deep-base pit-digging in tunnel engineering of Fuxing Dong Road
[J].
/
| 〈 |
|
〉 |


甘公网安备 62010202000672号