环保药剂“金蝉”取代氰化钠处理夏家店金矿的研究
1
2
Treatment of Xiajiadian Gold Mine with Environment-friendly Reagent Jinchan as a Substitute for Sodium Cyanide
1
2
收稿日期: 2018-06-16 修回日期: 2018-08-28
| 基金资助: |
|
Received: 2018-06-16 Revised: 2018-08-28
作者简介 About authors
李和付(1986-),男,四川会东人,工程师,从事黄金提取研究工作
叶国华(1981-),男,河南虞城人,副教授,从事稀贵金属选冶研究工作
关键词:
Keywords:
本文引用格式
李和付, 孙皞, 叶国华, 阙潇丰, 王亚伟, 陈阳, 陈斌.
LI Hefu, SUN Hao, YE Guohua, QUE Xiaofeng, WANG Yawei, CHEN Yang, CHEN Bin.
氰化法(以NaCN等的水溶液作为浸出剂)是一种成熟而有效的提金方法,至今已有100多年的历史,具有浸出率高、生产成本低及对矿石适应性强等优点,是目前矿山企业提取黄金时采用的主要方法。据统计,在过去100多年中,全世界90%以上的黄金都是通过氰化法提取的[1,2,3]。但是,氰化法的缺陷也非常明显和致命,因为氰化物属于剧毒物质,在运输、保管和使用过程中都存在重大的安全隐患与环境污染风险[4,5]。此外,工业含氰废水和固体废弃物的排放会严重污染水源和土壤环境,进而影响周边居民的身体健康,破坏生态平衡。随着我国对环境安全的日益重视,氰化物的使用将愈来愈受到限制,相关规定有:2010年颁布的《工业企业设计卫生标准》规定,地面水中氰化物的最高允许浓度为0.05 mg/L,目前我国已严禁新建黄金矿山使用NaCN,氰化法的生存空间将受到很大程度的挤压;2018年开始实行的《中华人民共和国环境保护税法》规定,含氰固废危险物执行税额标准为1 000元/t,按现金价水平,税收费用相当于3~4 g/t含金原矿的价值。“绿水青山就是金山银山”,国家始终坚持“绿色发展”的理念,大力提倡绿色安全的生产工艺。随着新的《环境保护法》的实施,我国对环境保护、生产安全的规定将更为严格。因此,如何在保证浸出指标、不增加生产成本的前提下,实现绿色安全生产成为黄金提取中的主要问题,而无毒环保药剂的开发和使用无疑是解决该问题的根本途径[4,5,6]。
目前,非氰浸金药剂有很多,主要包括硫脲、硫代硫酸盐、卤化物、多硫化物和石硫合剂等,但这些药剂通常消耗量大且成本高,目前在工业上尚无法推广应用。近几年,关于新型环保浸金药剂的专利陆续公布,国内市场上出现了多种新型环保浸金药剂,如“东北虎”、“金蝉”、“金欣”和“喜金”等[5,6,7,8],环保浸金药剂的研发进入了一个快速发展的阶段。其中,环保药剂“金蝉”已开始应用于黄金的提取生产,此药剂继承了氰化法简便、经济的优点,浸出指标亦较为理想,且不改变原有浸出设备,可节省生产成本,能较好地满足绿色安全生产的要求[8]。鉴于此,本文对环保药剂“金蝉”取代NaCN处理陕西商洛夏家店金矿进行了研究,以期从源头上解决NaCN所带来的环境、安全问题,并为环保浸金药剂的研发和黄金矿山的绿色安全生产提供参考。
1 试验原料
1.1 原矿性质
表1 原矿多元素化学分析
Table 1
| 成分 | 质量分数 | 成分 | 质量分数 |
|---|---|---|---|
| Au | 1.42 | Na2O | 0.28 |
| Ag | 3.6 | S | 0.026 |
| Cu | 0.014 | P | 0.36 |
| Pb | 0.008 | TFe | 2.30 |
| Zn | 0.043 | TC | 0.18 |
| Ni | 0.011 | V2O5 | 0.58 |
| Co | 0.006 | SiO2 | 89.51 |
| As | 0.0115 | Al2O3 | 2.06 |
| Sb | 0.0078 | TiO2 | 0.14 |
| Mo | 0.013 | CaO | 1.30 |
| Mn | 0.16 | MgO | 1.34 |
| K2O | 0.78 | LOI | 0.86 |
Au和Ag元素质量分数单位为×10-6
表2 原矿金物相分析
Table 2
| 相别 | 质量分数/×10-6 | 分布率/% |
|---|---|---|
| 合计 | 1.42 | 100.00 |
| 裸露及半裸露金 | 1.30 | 91.59 |
| 硫化物中包裹金 | 0.02 | 1.41 |
| 碳酸盐中包裹金 | 0.05 | 3.52 |
| 硅酸盐中包裹金 | 0.03 | 2.12 |
| 铁氧化物中包裹金 | 0.02 | 1.36 |
综上,原矿属于氧化矿,其中金粒度极细,多呈隐晶质—微隐晶质结构,品位较低,物相主要为裸露和半裸露金,属于低品位易浸金矿。
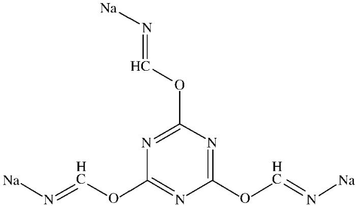
1.2 环保药剂“金蝉”及其应用情况
图1
图1
碳化三聚氰酸钠化学结构图
Fig.1
Chemical structure diagram of carbonated cyanuric acid sodium
(2)浸金原理。在碱性溶液中,“金蝉”的主要物质组分和辅助组分可以产生协同配合的作用,络合、溶解矿石中的金,使其转移至液相中,达到浸出的目的。
“金蝉”药剂中最主要的成分为碳化三聚氰酸钠和硫脲(SC(NH2)2),但是由于其他成分的协同配合作用,导致浸金原理极为复杂,有待于进一步的研究。本文只针对主要成分浸金原理作了大致表述,具体如下:
①碳化三聚氰酸钠浸金原理与氰化浸金的原理基本一致,但其他组分的协同作用尚不明确,主要化学反应如下:
②硫脲的化学性质不稳定,易在碱性条件下分解产生Na2S,使得溶液中的金离子与Na2S发生反应生成硫化物沉淀[10],而碳化三聚氰酸钠在碱性溶液中能够在一定程度上抑制硫脲分解,原理是碳化三聚氰酸钠中的氧原子可以提供孤对电子与硫脲中的氢形成联氢键,构成稳定的环型结构,从而增强了硫脲稳定性。
目前,在环保浸出药剂方面的机理研究尚不明确,难以对关键问题的解决提供指导,亟需在药剂组分分析的基础上,揭示其浸金机理。由于实验条件有限,本文在此方面的研究尚有许多不足之处,但希望能对环保药剂的工业应用起到一定的指导作用。
(3)应用情况。与氰化物相比,“金蝉”药剂的毒性很低,性质较为稳定。大量工业实践证明,该类药剂的适用范围与氰化物类似,广泛适用于金银的氧化矿石、原生矿石、高硫高砷矿石、氰化尾渣、硫酸渣、阳极泥和精矿等原料类型的堆浸、池浸和炭浆等选矿工艺流程。使用方法也与氰化物类似,使用时在常温下用水充分溶解即可,一般采用石灰或烧碱调节溶液pH值,保持pH值在10~12之间。在工艺生产方面,无需增加或改造原氰化浸金的生产设备。
目前,由于“金蝉”药剂的专利保护和产业结构等原因,相关的研究和应用并不多见,且以与氰化物的对比试验研究为主。吕超飞等[13]对某难处理金精矿进行了“金蝉”浸金和传统氰化浸金的对比试验研究,结果发现,“金蝉”浸金金浸出率可达90%以上,略低于传统氰化浸金。郭鹏志等[14]在矿浆质量浓度为40%、石灰用量为3 kg/t、碱预处理时间为2 h、“金蝉”用量为600 g/t、浸出时间为24 h的条件下,进行了氰化浸出的对比试验,结果表明,“金蝉”浸金时浸出率可以提高1.4%、药剂消耗量减少200 g/t、浸出时间缩短12 h以上。宋坤等[9]对这2种药剂的对比试验显示,“金蝉”对金的浸出率比氰化浸出低1%~2%,但由于使用“金蝉”可以降低在运输、使用及废水废渣处理过程中的成本,进而提高了矿山企业的经济效益。
综上可知,环保药剂“金蝉”可获得理想的浸出指标,可作为一种具有良好应用前景的浸金药剂予以进一步研究。
2 结果与讨论
2.1 实验室小型试验浸出效果对比
对“金蝉”和NaCN进行了实验室浸出对比试验。取500 g原矿磨细至-200目占65%(最佳生产细度),在pH=11、室温、搅拌强度为400 r/min的条件下,利用JJ-1精密增力电动搅拌器进行了浸出药剂种类及药剂用量对比试验,结果见表3。
表3 实验室试验浸出效果对比
Table 1
| 药剂名称 | 药剂用量/(g·t-1) | 矿浆浓度/% | 磨矿(-200目占比)/% | 浸出时间/h | 浸出率/% |
|---|---|---|---|---|---|
| NaCN | 200 | 40 | 65 | 24 | 88.73 |
| NaCN | 300 | 40 | 65 | 24 | 88.73 |
| 金蝉 | 200 | 40 | 65 | 24 | 88.55 |
| 金蝉 | 300 | 40 | 65 | 24 | 89.84 |
| 金蝉 | 400 | 40 | 65 | 24 | 89.84 |
可以看出,在药剂用量为200 g/t的条件下,“金蝉”浸金的浸出率达88.55%,仅比NaCN的浸出率低0.18%,浸金效果较为理想;通过改变药剂用量的试验发现,氰化浸金中,当NaCN用量为200 g/t时已经达到最佳浸出效果,增加用量至300 g/t时金浸出率没有明显变化;“金蝉”药剂用量为200 g/t时,浸出效果与NaCN相当,增加药剂用量至300 g/t时,浸出效果优于NaCN浸出,金浸出率可提高一个百分点;继续加大“金蝉”药剂用量至400 g/t时,浸出效果没有明显变化,说明“金蝉”药剂用量为300 g/t已经达到理想的浸出效果。因此,确定在实验室中“金蝉”浸金的最佳条件如下:矿浆质量浓度为40%,药剂用量为300 g/t,磨矿细度(-200目占比)为65%,浸出时间为24 h。
2.2 工业试验浸出效果对比
在工业应用中,需要考虑经济效益和工作效率问题,浸出时间、矿浆浓度和磨矿粒度的选取与实验室试验有所不同。为了进一步确定“金蝉”药剂的浸出效果,为生产中替代NaCN工艺改造提供可靠的依据,在实验室小型试验的基础上开展了为期一个月、处理能力240 t/d小型炭浆厂的工业生产试验。试验过程中,保持矿浆pH≈11,并通过调节药剂用量分不同阶段进行,同时与以往使用NaCN的浸出效果进行对比,其结果如表4所示。
表4 工业试验浸出效果对比
Table 4
| 工业试验编号 | “金蝉”用量/(g·t-1) | NaCN用量/(g·t-1) | 磨矿细度(-200目占比)/% | 矿浆质量浓度/% | 原矿品位/(×10-6) | 浸出率/% |
|---|---|---|---|---|---|---|
| ① | - | 300 | 64.86 | 40 | 1.46 | 88.80 |
| ② | - | 200 | 64.25 | 40 | 1.43 | 88.75 |
| ③ | - | 200 | 64.66 | 40 | 1.46 | 88.77 |
| ④ | 200 | - | 65.02 | 40 | 1.46 | 88.50 |
| ⑤ | 300 | - | 65.81 | 40 | 1.44 | 89.87 |
| ⑥ | 300 | - | 66.02 | 40 | 1.32 | 89.82 |
| ⑦ | 400 | - | 66.05 | 40 | 1.44 | 89.87 |
在工业试验中,每天进行试验的原矿品位并非固定,因此会出现波动,磨矿细度也会产生差异
由表4可知,工业试验过程中指标变化与实验室小型试验结果保持一致,具有较高的可靠性。在使用“金蝉”药剂的整个工业试验过程中,浸出指标未出现大的波动,“金蝉”药剂用量与尾渣品位关系密切,药剂用量越高,尾渣品位越低。通过对表4数据进行分析,可得到如下结论:①“金蝉”替代NaCN浸金的使用过程指标平稳,无明显波动;②“金蝉”药剂与NaCN在相同的药剂用量(200 g/t)条件下,可以达到与NaCN相近的浸出率;③“金蝉”药剂用量为300 g/t时达到更为理想的浸出指标,当原矿品位为1.44×10-6时,金浸出率高达89.87%,比药剂用量为200 g/t时的浸出指标提高1%左右;④增大药剂用量至400 g/t时,尾渣品位相比药剂用量为300 g/t时没有明显变化;另外,为了解矿浆温度对试验结果的影响,在试验过程中保持每班3次的矿浆温度测定频率,测定结果表明,昼夜矿浆温度变化仅在1 ℃左右,试验全程气候变化不大,矿浆温度保持在16 ℃左右,对浸出试验没有明显影响。
2.3 炭吸附效果对比
为了考察活性炭在不同药剂浸出液中对金的吸附选择性,在吸附时间为16 h、炭密度为15 g/L的条件下,对NaCN浸液和“金蝉”浸液的活性炭吸附效果进行了实验室试验,结果如表5所示。
表5 “金蝉”浸金与NaCN浸金的炭吸附效果对比
Table 5
| 药剂名称 | 吸附时间/h | 炭密度/(g·L-1) | 尾液品位/(g·m-3) | 吸附率/% |
|---|---|---|---|---|
| NaCN | 16 | 15 | 0.017 | 98.51 |
| 金蝉 | 16 | 15 | 0.019 | 98.32 |
由表5可以看出,使用“金蝉”药剂浸金,活性炭的吸附效果与使用NaCN浸金时基本相同,不会产生不良影响。
2.4 载金炭解吸效果对比
表6 “金蝉”浸金与NaCN浸金的载金炭解吸指标对比
Table 6
| 药剂名称 | 载金炭品位/(×10-6) | 解吸时间/h | 解吸贫碳品位/(×10-6) | 解吸率/% |
|---|---|---|---|---|
| NaCN | 3 295.51 | 11 | 33.78 | 98.97 |
| 金蝉 | 3 270.01 | 11 | 32.87 | 98.99 |
2.5 “金蝉”与氰化钠毒性对比
环保药剂“金蝉”的一大优势就是低毒性,由上海化工研究院检测中心对“金蝉”药剂进行的毒性检测结果显示,“金蝉”对小鼠的急性经口毒性LD50值大于2 000 mg/kg BW,而NaCN对大鼠的急性经口毒性LD50值为6.44 mg/kg BW,以实际测定的急性经口毒性LD50为标准进行比较,“金蝉”药剂毒性约为NaCN的3.22‰。
“金蝉”药剂低毒性可确保以下几点优势:①购买时审批流程简单,供货程序省时省力;②最大程度地避免中毒事故的发生,降低企业在安全环保方面承担的风险,且无需特殊防护要求,操作简便,降低企业运输和管理的成本;③不用配置保护碱,降低生产成本;④减轻了排放废水尾渣时安全管理的压力与成本,以及对周边环境的污染,改善了企业人员的工作和生活条件。
2.6 经济与环保效益对比
按照夏家店金矿年处理能力10万t原矿、NaCN最佳用量为200 g/t、“金蝉”最佳用量为300 g/t(浸出率相比NaCN提高一个百分点)计算,进行技术经济指标对比分析,结果见表7。
表7 “金蝉”浸金与NaCN浸金的技术经济对比
Table 7
| 药剂名称 | 年处理矿石量/(×104t) | 药剂用量/t | 药剂价差/万元 | 节约药剂成本/万元 | 金回收增加效益/万元 | 合计增效/万元 |
|---|---|---|---|---|---|---|
| NaCN | 10 | 20 | - | - | - | - |
| 金蝉 | 10 | 30 | 1.25 | 9.6 | 33.23 | 42.83 |
后续吸附、解吸、冶炼综合回收率以90%计,金价按260元/g进行计算
由表7可知,单纯从药剂成本和浸出率考虑,与使用NaCN相比,使用“金蝉”药剂后每年可增加经济效益42.83万元。如果考虑处理NaCN尾矿使用的双氧水成本及使用“金蝉”带来的环保价值、安全价值、NaCN审批、运输、储存费用、公司安全管理成本等,使用“金蝉”药剂能够为企业带来更多隐形效益。
此外,在国家大力倡导“绿色发展”理念下,矿山企业安全环保形势日趋严峻,“金蝉”药剂的低毒性显现出了较大优势,其在黄金矿山具有很大的应用前景。
3 结论
(1) 夏家店金矿属于氧化矿,金粒度极细,品位较低,仅1.42×10-6,多为裸露和半裸露金。
(2)当药剂用量为200 g/t时,“金蝉”药剂与NaCN的浸出率相差不大,仅低0.18%;在“金蝉”用量为300 g/t、磨矿细度(-200目占比)为65%的条件下,获得了金浸出率达89.87%的良好指标,明显优于最佳条件下NaCN的浸金效果。
(3) 使用“金蝉”药剂后,金的吸附与载金炭解吸效果同NaCN浸金基本相同,无不良影响。
(4)夏家店金矿年处理能力为10万t原矿,当“金蝉”药剂用量为300 g/t时,可增加经济效益42.83万元/年。而且,由于“金蝉”药剂的低毒性,将在运输、管理、环保和安全等方面产生更多隐形效益。
参考文献
某环保药剂的浸金性能及贵液中金的活性炭吸附特性
[J].
Performance of an environmental gold leaching agent and activated carbon adsorption characteristics of gold in the liquid
[J].
我国黄金资源综合利用现状与展望
[J].
Present situation and forecast of gold resources utilization in China
[J].
Current gold prospecting in China
[J].
氰化提金工艺现状及非氰提金工艺的应用前景
[J].
Status of gold extraction by cyanidation and application prospects of gold extraction by non-cyanidation
[J].
Gold and copper leaching from gold-copper ores and concentrates using a synergistic lixiviant mixture of glycine and cyanide
[J].
甘肃某金矿浸金工艺试验研究
[J].
Experimental study on gold leaching process of a gold mine in Gansu Province
[J].
Non-cyanide leaching processes in gold hydrometallurgy and iodine-iodide applications:A review
[J].
某环保型药剂在全泥炭浆提金工艺中的试验研究与生产实践
[J].
Experimental study and production practice of one environmental friendly reagent in whole-ore CIP process
[J].
环保药剂在炭浸法提金中的应用
[J].
Application of environmental reagent in extraction of gold by carbon-in-pulp leaching
[J].
Leaching of Ovacık gold ore with cyanide,thiourea and thiosulphate
[J].
Research status and prospect of gold leaching in alkaline thiourea solution
[J].
Reaction chemistry of gold leaching in thiourea solution for a Turkish gold ore
[J].
环保型“金蝉”浸出剂处理金精矿的试验研究
[J].
Experimental research on the extraction of gold from the concentrates by environment-friendly Jinchan leaching agents
[J].
采用环保“金蝉”药剂浸出老挝某金矿石试验研究
[J].
Experimental study on a gold ore in Laos with environment-friendly Jinchan leaching reagents
[J].
国外某含砷金精矿浸金工艺研究
[J].
Study on leaching process of a gold concentrate containing arsenic in foreign country
[J].
/
| 〈 |
|
〉 |

甘公网安备 62010202000672号