[an error occurred while processing this directive]
环保药剂“金蝉”取代氰化钠处理夏家店金矿的研究
李和付1,孙皞1,叶国华2,阙潇丰1,王亚伟1,陈阳1,陈斌1
Treatment of Xiajiadian Gold Mine with Environment-friendly Reagent Jinchan as a Substitute for Sodium Cyanide
Hefu LI1,Hao SUN1,Guohua YE2,Xiaofeng QUE1,Yawei WANG1,Yang CHEN1,Bin CHEN1

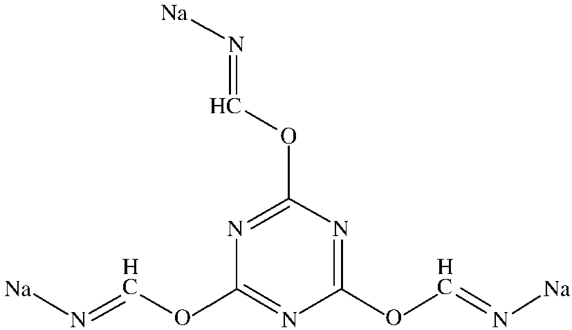
图1. 碳化三聚氰酸钠化学结构图

Fig.1. Chemical structure diagram of carbonated cyanuric acid sodium