玲珑金矿田含矿断裂的基岩地球化学特征及找矿潜力评价
1.
2.
3.
4.
Bedrock Geochemical Characteristics and Prospecting Potential Evaluation of Ore-Bearing Faults in Linglong Gold Ore-field
1.
2.
3.
4.
收稿日期: 2021-05-24 修回日期: 2021-11-01
| 基金资助: |
|
Received: 2021-05-24 Revised: 2021-11-01
作者简介 About authors
胡宝群(1965-),男,江西进贤人,博士,教授,博士生导师,从事岩矿地球化学研究工作
关键词:
Keywords:
本文引用格式
胡宝群, 高海东, 王运, 张宝林, 吕古贤, 申玉科, 郭涛.
HU Baoqun, GAO Haidong, WANG Yun, ZHANG Baolin, LV Guxian, SHEN Yuke, GUO Tao.
本文以玲珑金矿田和招平断裂带为研究对象,对矿田内已知含矿断裂的基岩地球化学异常(简称为原生晕)特征进行研究,总结异常分布规律,并尝试对招平断裂带部分区段进行评价。
1 玲珑金矿田矿体特征及样品测试方法
图1
图1
玲珑金矿田地质简图及大开头矿区89线地质剖面图(据高海东等,2013修编)
Fig.1
Geological sketch map of Linglong gold ore-field and No.89 geological profile of the Dakaitou mining area(modified after Gao et al.,2013)
从采样剖面来看,矿体呈脉状,严格受断裂和裂隙控制,脉幅变化较大。根据前人勘查资料,地表脉幅宽且品位高,本文采样剖面的主矿体宽度一般小于2 m。整体上各矿体在水平和纵向上常呈“X”网脉状穿插分布,矿体具有大致平行和等间距分布规律。矿体类型可划分为3类(胡宝群等,2013,2014;高海东等,2013,2020):石英脉型、强硅化破碎蚀变岩型和含金硫化物细线(脉)型。其中,石英脉型矿体的主要成分为石英,可见不均匀分布的星点状或细脉状黄铁矿、黄铜矿;强硅化破碎蚀变岩型矿体呈灰绿色,多含硫化物,固结差,一般有两侧围岩的角砾,部分矿体中见星点浸染状的黄铁矿和黄铜矿颗粒;含金硫化物细线(脉)型矿体的主要矿物为石英和黄铁矿,局部可见少量的黄铜矿、方铅矿和闪锌矿等。
2 玲珑金矿田4条矿体井下基岩地球化学特征
2.1 含矿剖面中元素含量变化特征
表1 典型矿体剖面成分变化
Table 1
| 采样位置 | 样号 | 岩性 | 点距/m | Au | Ag | As | Bi | Co | Cu | Hg | Mn | Mo | Ni | Pb | Sb | Th | U | V | Zn |
|---|---|---|---|---|---|---|---|---|---|---|---|---|---|---|---|---|---|---|---|
剖面6: -570 m 50号脉 88川 | LL120 | 中等钾化花岗岩 | 0 | 0.009 | 0.02 | 0.6 | 0.02 | 2 | 10 | <0.005 | 150 | 0.43 | 1 | 19 | <0.05 | 5.7 | 0.18 | 4 | 15 |
| LL121 | 灰黑色基性脉岩 | 2.0 | 0.006 | 0.07 | <0.1 | 0.02 | 32 | 42 | <0.005 | 972 | 1.09 | 190 | 5 | <0.05 | 5.8 | 0.50 | 167 | 86 | |
| LL122 | 碎裂强硅化花岗岩(矿体) | 3.0 | 1.215 | 0.43 | 11.1 | 0.46 | 2 | 13 | <0.005 | 65 | 0.33 | 2 | 15 | 0.06 | 1.9 | 0.06 | 5 | 9 | |
| LL123 | 含矿石英脉(矿体) | 1.0 | 1.500 | 11.80 | 5.7 | 0.09 | 2 | 3 520 | 0.011 | 1 310 | 0.46 | 2 | 18 | <0.05 | 1.6 | 0.15 | 3 | 56 | |
| LL124 | 强硅化花岗岩 | 2.0 | 0.068 | 0.87 | 2.2 | 0.09 | 2 | 366 | <0.005 | 468 | 0.41 | 2 | 24 | <0.05 | 3.9 | 0.13 | 5 | 14 | |
| LL125 | 中等硅化弱钾化花岗岩 | 4.0 | 0.085 | 0.18 | 2.9 | 0.10 | 2 | 44 | <0.005 | 276 | 0.42 | 1 | 26 | <0.05 | 5.7 | 0.60 | 3 | 30 | |
| LL126 | 石英长石脉(矿体) | 4.0 | 8.600 | 7.81 | 19.0 | 0.96 | 43 | 97 | 0.005 | 1 745 | 3.25 | 18 | 37 | 0.09 | 0.2 | <0.05 | 3 | 9 | |
| LL127 | 碎裂强硅化花岗岩(矿体) | 2.0 | 13.600 | 8.07 | 41.6 | 2.15 | 22 | 889 | 0.005 | 1 905 | 2.05 | 4 | 94 | 0.17 | 0.6 | 0.10 | 2 | 12 | |
| LL128 | 中等钾化花岗岩 | 2.0 | 0.090 | 0.06 | 1.3 | 0.04 | 1 | 18 | <0.005 | 285 | 0.32 | 1 | 11 | <0.05 | 0.7 | 0.08 | 3 | 14 | |
剖面7: -420 m 48号脉 92线 | LL386 | 中等钾化花岗岩 | 0 | 0.003 | 0.03 | 0.1 | 0.01 | 1 | 2 | <0.005 | 232 | 0.32 | 1 | 33 | <0.05 | 8.8 | 0.35 | 4 | 21 |
| LL387 | 弱钾化花岗岩 | 1.0 | 0.005 | 0.02 | 0.2 | 0.02 | 2 | 1 | <0.005 | 191 | 0.39 | 1 | 22 | <0.05 | 14.8 | 0.64 | 3 | 4 | |
| LL388 | 硅化硫化物(矿体) | 1.5 | 0.572 | 3.21 | 35.7 | 0.07 | 1 | 143 | 0.033 | 202 | 1.70 | 4 | 2 370 | 0.57 | 1.5 | 0.07 | 10 | 6 850 | |
| LL389 | 石英脉 | 1.0 | 7.670 | 9.71 | 40.8 | 1.29 | 14 | 29 | 0.012 | 71 | 3.32 | 5 | 450 | 0.69 | 0.7 | 0.30 | 4 | 301 | |
| LL390 | 硅化硫化物(矿体) | 0.5 | 0.193 | 0.79 | 1.3 | 0.27 | <1 | 6 | 0.005 | 502 | 0.31 | 5 | 128 | 0.07 | 6.6 | 0.25 | 5 | 256 | |
| LL391 | 硅质岩 | 1.0 | 0.020 | 0.06 | 0.1 | 0.02 | 1 | <1 | <0.005 | 108 | 0.43 | 4 | 12 | <0.05 | 4.1 | 0.83 | 6 | 2 | |
| LL392 | 花岗岩 | 1.5 | 0.001 | 0.02 | 0.1 | 0.02 | <1 | <1 | 0.008 | 93 | 0.43 | <1 | 20 | <0.05 | 4.4 | 0.22 | 3 | 2 |
图2
图2
矿体剖面中Au元素与微量元素含量变化曲线
(a)~(g)为指示意义明显的元素,即与金含量同步升降的元素;(h)~(n)为指示意义弱的元素,即与金含量相关性弱的元素
Fig.2
Variation curves of gold and trace elements in orebody profiles
表2 矿体指示元素统计
Table 2
| 剖面号 | 矿体及位置 | 最佳指示元素 | 弱指示意义元素 | 指示意义不明的元素 |
|---|---|---|---|---|
| 1 | -570 m175支2的84川 | Au,Ag,Bi,As,Ni,Co | Sb,Hg,U | Cu,Pb,Mn,Mo,Th,V,Zn |
| 2 | -620 m175支2的74川 | Au,Ag,Bi,As,Sb | Co,Ni,Cu,Mo | Hg,Mn,Pb,Th,U,V,Zn |
| 3 | -670 m175支2的88川 | Au,Ag,Bi,As | Mo,Ni,Co,V | Cu,Hg,Mn,Pb,Sb,Th,U,Zn |
| 4 | -720 m47支3的97川 | Au,Ag,Bi,As,Co | Cu,Mo | Hg,Mn,Ni,Pb,Sb,Th,U,V,Zn |
| 5 | -620 m47号脉87线 | Au,Ag,Bi,As,Co | V,Ni | Cu,Hg,Mn,Mo,Pb,Sb,Th,U,Zn |
| 6 | -570 m50号脉88川 | Au,Ag,As,Bi,Co | Cu,Mo,Ni | Hg,Mn,Pb,Sb,Th,U,V,Zn |
| 7 | -420 m48号脉92线 | Au,Ag,As,Bi,Co,Mo | Sb,Hg,Cu,Pb,Zn | Mn,Ni,Th,U,V |
由此可见,玲珑金矿田含矿断裂基岩地球化学异常具有如下特征:
(1)最佳指示元素为Au、Ag、Bi、As和Co。在含矿剖面中这些元素的含量几乎同步起伏,可形成明显异常,对金矿体有着明显的指示意义。这些元素几乎在所有含矿断裂基岩剖面中均显示出明显的异常,若在未知新区的断裂中出现这些元素异常,就可以断定是金矿化异常所致,据此可区分非矿致异常。
(2)弱指示意义元素有Ni、Mo、Sb和Cu。这些元素在4条矿体中表现为有的剖面形成异常,而有的剖面则无异常,总体异常衬度不大。通常是在富金矿石中这些元素有异常,而在金含量低的近矿围岩中这些元素无异常。
(3)指示意义不明的元素有Hg、V、U、Zn、Pb、Th和Mn。
2.2 玲珑金矿田矿体基岩地球化学统计特征
对玲珑金矿田含矿体剖面中的样品进行统计,分析Au元素与其他元素之间的关系。
(1)按金含量进行分段统计
按金含量对4 条矿体基岩样品进行分段统计,了解玲珑金矿田微量元素的含量变化,如表3所示。其中,175支2号矿体的最佳指示元素为Au、Ag、Bi、As和Co,弱指示意义的元素为Mo、Ni、V和Sb,指示意义不明的元素为Hg、Mn、Cu、Pb、Zn、U和Th。47号矿体的最佳指示元素为Au、Ag、Bi、As、Co和Mo,弱指示意义元素为Cu、Pb、Sb、Hg、V和Zn,指示意义不明的元素为Mn、Ni、U和Th。50号矿体的最佳指示元素为Au、Ag、Bi、As、Co、Cu、Pb、Zn、Mo、Sb和Mn,指示意义不明的元素为V、Hg、Ni、U和Th。48号矿体的最佳指示元素为Au、Ag、As、Bi、Sb、Co、Hg、Cu、Pb、Zn和Mo,指示意义不明的元素为Mn、V、Ni、U和Th。
表3 玲珑金矿田微量元素含量
Table 3
矿体 编号 | 金含量区间 | 样品 数量 | Au | Ag | As | Sb | Bi | Hg | Mn | Cu | Pb | Zn | Mo | Co | Ni | V | Th | U |
|---|---|---|---|---|---|---|---|---|---|---|---|---|---|---|---|---|---|---|
| 背景 | 背景区 | 16 | 0.001 | 0.01 | 0.13 | <0.05 | 0.01 | 0.007 | 146 | 2.5 | 25 | 22 | 0.39 | 1.07 | 2 | 3 | 7.3 | 0.27 |
| 175号 | >10 | 13 | 35.070 | 8.06 | 60.08 | 0.22 | 16.46 | 0.010 | 93 | 4.1 | 18 | 21 | 2.90 | 277.00 | 22 | 20 | 3.5 | 1.11 |
| 1~10 | 14 | 3.888 | 1.89 | 26.39 | 0.11 | 4.42 | 0.005 | 134 | 68.6 | 35 | 18 | 1.35 | 58.21 | 11 | 26 | 4.0 | 0.56 | |
| 0.1~1.0 | 24 | 0.484 | 0.58 | 4.80 | 0.08 | 1.87 | 0.005 | 159 | 6.0 | 58 | 111 | 0.76 | 18.42 | 3 | 8 | 4.0 | 0.44 | |
| 0.01~0.10 | 39 | 0.040 | 0.07 | 0.99 | 0.05 | 0.13 | 0.007 | 188 | 5.5 | 20 | 32 | 0.48 | 2.64 | 2 | 7 | 5.0 | 0.37 | |
| <0.01 | 16 | 0.005 | 0.02 | 0.28 | 0.06 | 0.03 | 0.005 | 136 | 7.1 | 17 | 18 | 0.39 | 1.81 | 2 | 6 | 3.7 | 0.44 | |
| 47号 | >100 | 1 | 957.000 | 99.80 | 16.20 | 0.07 | 105.00 | 0.021 | 52 | 8.0 | 60 | 32 | 10.95 | 56.00 | 6 | 19 | 2.1 | 0.85 |
| 10~100 | 4 | 17.288 | 6.47 | 23.90 | 0.13 | 7.88 | 0.010 | 129 | 84.5 | 324 | 99 | 2.03 | 27.50 | 5 | 10 | 3.1 | 0.22 | |
| 1~10 | 13 | 2.376 | 2.21 | 23.77 | 0.09 | 3.72 | 0.008 | 268 | 115.1 | 214 | 139 | 1.03 | 40.85 | 9 | 15 | 3.8 | 0.38 | |
| 0.1~1.0 | 31 | 0.364 | 0.77 | 9.61 | 0.06 | 1.37 | 0.005 | 201 | 58.9 | 51 | 19 | 0.49 | 8.29 | 5 | 6 | 3.9 | 0.25 | |
| 0.01~0.10 | 46 | 0.038 | 0.10 | 2.32 | 0.06 | 0.21 | 0.005 | 208 | 5.9 | 21 | 33 | 0.50 | 3.26 | 4 | 7 | 3.9 | 0.31 | |
| <0.01 | 21 | 0.004 | 0.03 | 1.23 | 0.05 | 0.03 | 0.005 | 157 | 5.3 | 20 | 27 | 0.35 | 1.84 | 3 | 7 | 3.6 | 0.28 | |
| 50号 | >10 | 1 | 13.600 | 8.07 | 41.60 | 0.17 | 2.15 | 0.005 | 1905 | 889.0 | 94 | 12 | 2.05 | 22.00 | 4 | 2 | 0.6 | 0.10 |
| 1~10 | 13 | 2.500 | 2.90 | 14.69 | 0.10 | 0.55 | 0.005 | 457 | 297.7 | 197 | 176 | 0.87 | 6.92 | 3 | 4 | 2.1 | 0.10 | |
| 0.1~1.0 | 25 | 0.250 | 0.44 | 5.64 | 0.08 | 0.34 | 0.005 | 481 | 21.4 | 26 | 25 | 0.63 | 3.48 | 10 | 10 | 3.4 | 0.26 | |
| 0.01~0.10 | 34 | 0.046 | 0.12 | 1.24 | 0.06 | 0.11 | 0.006 | 233 | 23.9 | 21 | 11 | 0.46 | 1.68 | 2 | 3 | 4.1 | 0.23 | |
| <0.01 | 16 | 0.006 | 0.02 | 0.38 | 0.05 | 0.05 | 0.006 | 173 | 4.1 | 19 | 13 | 0.37 | 1.38 | 3 | 4 | 4.6 | 0.36 | |
| 48号 | 1~10 | 1 | 7.670 | 9.71 | 40.80 | 0.69 | 1.29 | 0.012 | 71 | 29.0 | 450 | 301 | 3.32 | 14.00 | 5 | 4 | 0.7 | 0.30 |
| 0.1~1.0 | 4 | 0.437 | 1.74 | 22.90 | 0.22 | 0.65 | 0.012 | 220 | 43.3 | 639 | 1 787 | 1.25 | 21.75 | 4 | 5 | 3.4 | 0.24 | |
| 0.01~0.10 | 12 | 0.026 | 0.12 | 1.38 | 0.06 | 0.11 | 0.005 | 241 | 4.0 | 27 | 35 | 0.39 | 2.33 | 3 | 4 | 5.6 | 0.35 | |
| <0.01 | 8 | 0.004 | 0.03 | 0.19 | 0.05 | 0.03 | 0.005 | 132 | 1.5 | 26 | 9 | 0.42 | 1.13 | 1 | 3 | 6.9 | 0.34 |
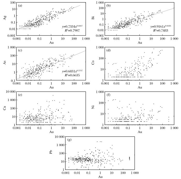
总体来看,这16种微量元素中,最佳指示元素有Au、Ag、Bi、As和Co,可形成高衬度值的异常,有较好指示意义的元素为Mo和Sb。有一定指示意义的元素有Cu、Pb、Zn和V,其中Pb和Zn含量变化同步起伏。指示意义不明的元素有Mn、Hg、U和Th。Ni、V和Co为后尾晕元素,在这4个矿体中含量由大至小的顺序为175支2号、47号、48号和50号,而前缘晕元素As的含量与之相反。显示出175支2号矿体可能已接近矿体的尾部,其余3条矿体深部仍有找矿远景。
(2)贫富矿石的各元素指示意义略有差异
根据全部样品数据,从背景到围岩再到矿石,除Mn、U和Th元素之外其他元素含量均有不同程度的增高,增高幅度从大到小依次为Au、Ag、Bi、As、Co和Cu,同样显示出这些元素对金矿化具有很好的指示意义。金含量高(大于1×10-6)的样品,除了Mn、Hg、U和Th元素无明显增加外,其他元素含量均明显高于金含量低(小于1×10-6)的样品;根据浓集强度,按指示意义从强到弱依次为Au、Ag、Bi、As和Co。金含量低(小于1×10-6)的样品,指示意义从强到弱顺序同样为Au、Ag、Bi、As、Co和Cu。在实际工作中,特别是化探扫面时,直接采到富矿石的可能性极小,这些元素在实际找矿和圈定异常时的指示意义更为明显。
(3)Au元素与其他元素之间的相关性
图3
图3
基岩样品中Au元素与其他元素之间的相关性图
Fig.3
Correlation diagram between gold and other elements in bedrock samples
2.3 指示元素的赋存特征
通过对玲珑金矿田矿石中主要金属矿物进行矿相学观察和电子探针分析(胡宝群等,2013),确定主要指示元素的赋存特征如下:
(1)Au元素的赋存状态:金主要以独立矿物相形式存在,金矿物为银金矿和含银自然金。金含量变化范围为62.35%~89.29%,平均值为79.35%;银含量变化范围为39.57%~10.09%,平均值为16.11%;Au/Ag比值变化范围为1.58~8.14,平均值为5.68。形态上,金矿物以极细的脉状、角砾状、麦粒状、浑圆粒状和不规则粒状产于黄铁矿(少量石英)的裂隙或孔洞中,粒状金矿物粒度细小,多为10 μm 左右,细脉状金的脉宽为1~5 μm(图4)。总体上,以充填于黄铁矿裂隙中的金矿物占绝大多数,未见金矿物变形,推测应是黄铁矿形成后破裂或溶蚀成孔洞,然后金呈细线和微粒状沉淀于这些空间。
图4
(2)Ag元素的赋存状态:银主要以银金矿中类质同象形式存在,含少量碲银矿(银含量为59.16%)。方铅矿中银含量为0.03%~0.32%,而黄铁矿和闪锌矿中银含量极低。
(5)Co元素的赋存状态:仅在黄铁矿中含有0.22%(0.06%~0.82%)的钴,而其他银金矿、方铅矿、闪锌矿和黄铜矿等金属矿物几乎不含钴,钴含量低于0.07%,多数低于0.01%的检出限。
(6)Mo元素的赋存状态:在黄铁矿和闪锌矿中分别含有0.65%(0.57%~0.74%)和0.45%(0.41%~0.47%)的钼,而在银金矿、方铅矿和黄铜矿等金属矿物中几乎不含钼,钼含量低于0.07%,多数低于0.01%的检出限。
(7)Pb、Zn、Cu元素的赋存状态:分别以各自的硫化物独立矿物(方铅矿、闪锌矿和黄铜矿)形式存在,这些硫化物矿物除了各自独立组成外,其他杂质成分均很低。
3 断裂基岩地球化学含矿性评价
招平断裂带主要发育于花岗岩中,考虑到剖面中还有角闪片(麻)岩和基性脉岩,它们与花岗岩的成分相差较大,故将这些样品的分析结果剔除后再进行比较。招平断裂基岩地球化学剖面测量结果如表4和图5所示。在1012剖面中,发现了金的低缓异常,衬度不高,宽度约为5 m。剖面位于郭家埠南加油站沿国道南60 m处西侧的小公路,起点于国道边,测线走向275°,剖面切过招平断裂带。Ag、As、Bi、Cu、Zn、Pb、Mo、Co、Ni和V元素含量有较明显的异常,其中Ag、As、Bi、Cu、Zn和Pb的异常衬度较高,宽度大,这些元素含量与Au元素同步起伏,与玲珑金矿田井下基岩剖面出现的异常元素组合(Au、Ag、As、Bi等)相似,推测该剖面中的金异常是矿致异常。
表4 招平断裂2个基岩剖面的元素含量变化
Table 4
剖面编号 及位置 | 样品 编号 | 采样 位置 | 点位 /m | Au | Ag | As | Bi | Co | Cu | Hg | Mn | Mo | Ni | Pb | Th | U | V | Zn |
|---|---|---|---|---|---|---|---|---|---|---|---|---|---|---|---|---|---|---|
| 1012剖面(郭家埠南侧小公路) | 1012-5 | 钾化碎裂花岗岩 | 164 | 0.001 | 0.02 | 0.2 | 0.15 | 4 | 3 | <0.005 | 166 | 0.19 | 21 | 10 | 3.2 | 0.20 | 35 | 50 |
| 1012-7 | 绢英岩化碎裂岩 | 197 | 0.017 | 0.04 | 0.1 | 0.15 | 3 | 14 | <0.005 | 730 | 0.85 | 9 | 14 | 3.6 | 1.06 | 22 | 70 | |
| 1012-7C | 白色断层泥 | 197 | 0.008 | 0.11 | 1.4 | 0.25 | 5 | 18 | <0.005 | 831 | 0.64 | 14 | 48 | 2.6 | 0.80 | 24 | 61 | |
| 1012-8 | 褐铁矿化绢英岩 | 192 | 0.007 | 0.05 | 0.3 | 0.05 | 2 | 6 | <0.005 | 2 720 | 1.32 | 4 | 25 | 2.3 | 2.03 | 11 | 63 | |
| 1012-9 | 褐铁矿化绢英岩 | 199 | <0.001 | 0.01 | 0.1 | 0.02 | 1 | 2 | <0.005 | 840 | 0.54 | 3 | 11 | 2.4 | 0.27 | 14 | 15 | |
| 1012-10 | 褐铁矿化绢英岩化花岗岩 | 200 | <0.001 | 0.01 | 0.1 | 0.01 | 1 | 1 | <0.005 | 846 | 1.13 | 2 | 11 | 8.0 | 0.36 | 10 | 11 | |
| 1012-12 | 弱绢英岩化碎裂花岗岩 | 218.5 | <0.001 | 0.01 | 0.1 | 0.01 | <1 | 1 | <0.005 | 382 | 0.36 | 1 | 15 | 3.9 | 0.28 | 2 | 11 | |
| 1012-14 | 绢英岩化碎裂岩 | 268 | 0.006 | 0.02 | 0.3 | 0.15 | 4 | 1 | <0.005 | 1 050 | 0.83 | 3 | 13 | 3.0 | 0.22 | 13 | 13 | |
| 1012-16 | 糜棱岩化花岗岩 | 446 | 0.001 | 0.01 | 0.1 | 0.01 | <1 | 1 | <0.005 | 75 | 0.24 | <1 | 33 | 8.1 | 1.55 | 2 | 33 | |
| 1021剖面(前花园村东300 m处公路旁) | 1021-1 | 强钾化花岗岩 | 53 | <0.001 | 0.09 | 1.1 | 0.03 | <1 | 7 | <0.005 | 148 | 0.44 | 1 | 19 | 5.4 | 0.61 | 1 | 18 |
| 1021-2 | 褐铁矿化硅化花岗岩 | 58 | 0.447 | 0.44 | 29.4 | 2.45 | 1 | 75 | <0.005 | 69 | 1.20 | 1 | 71 | 3.9 | 0.46 | 3 | 57 | |
| 1021-3 | 钾化绢英岩化花岗岩 | 70 | 0.009 | 0.03 | 1.3 | 0.11 | <1 | 9 | <0.005 | 97 | 0.83 | 2 | 19 | 6.5 | 0.29 | 2 | 15 | |
| 1021-5 | 绢英岩 | 301 | 0.001 | 0.09 | 0.3 | 0.25 | <1 | 12 | <0.005 | 83 | 0.30 | 1 | 25 | 6.4 | 0.21 | 4 | 41 | |
| 1021-8 | 钾化花岗岩 | 337 | <0.001 | 0.09 | 1.4 | 0.06 | <1 | 9 | <0.005 | 47 | 0.42 | 2 | 81 | 5.1 | 0.20 | 4 | 182 |
图5
图5
招平断裂2个基岩剖面的元素含量变化
Fig.5
Changes of element contents in two bedrock profiles of Zhaoping fault
在1021剖面中,发现了较为明显的金异常,衬度高。该剖面位于前花园村东300 m,测线沿土公路,测线走向180°,剖面斜交切过招平断裂。Ag、As、Bi、Cu、Mo元素含量也显示出较好的异常,衬度值高、异常明显,这几种元素含量同步起伏,也与玲珑金矿田井下基岩剖面出现的异常元素组合相似,据此推测该剖面中的金异常是矿致异常。此外,Zn、Pb元素也有一定的异常显现。
4 成晕机制及其应用
4.1 断裂含矿性评价方法
通过对已知矿体基岩地球化学进行系统研究,得到研究区的金矿化最佳指示元素组合及其异常强度和形态,据此判定未知新区的异常是否为矿致异常。如出现多种最佳元素的异常重合且异常特征相近时,可推测是矿致异常。
根据元素在前缘晕、中部晕和后尾晕的含量强弱,可大致推断深部的成矿潜力。通过计算矿体原生晕的轴向分带系列,对照前缘晕、中部晕和后尾晕元素一般分布规律,参考构造叠加晕的思想(李惠等,2013),并结合成矿演化的地质研究,可对已开采矿体的深部矿化进行预测分析,这是一种有效的找矿评价方法。总体而言,利用断裂剖面基岩地球化学测量,变找矿为找晕,可扩大找矿对象,但又不至于把范围扩得太大(如分散流异常)(李超等,2021)。结合异常中元素组合特征,对比前缘晕、中部晕和后尾晕中元素的一般分布规律,对深部或外围成矿远景进行推断;通过对不同中段进行取样、分析和计算,利用轴向分带序列和构造叠加晕方法,对已开采的矿体深部含矿远景进行评价(李惠等,2013;高海东等,2013,2020)。
4.2 断裂剖面基岩地球化学异常成因机制
胶东金矿取得了许多重大的理论和找矿成果,找矿仍不断有新的发现(吕古贤等,2004;宋明春等,2013;李惠等,2013;刘祥朋等,2017;李洪奎等,2017;Niu et al.,2019;Yu et al.,2020;王建等,2020)。深部和外围找矿工作总体上是从本区成岩成矿过程出发,研究主要控制因素,了解成岩(围岩)、成矿和成晕机制,并选用合适的方法和手段开展细致工作,从而达到找大矿、富矿的目的。
断裂控矿和强烈蚀变是胶东金矿的基本特征(宋明春等,2013;胡宝群等,2013,2021),是大多数热液矿床的基本特征,也是热液矿床成晕的主要控制因素(周岳强,2019;胡宝群等,2011,2017,2021)。在区域构造活动中,岩体受力作用常形成X状断裂和节理,这在平面和垂向上均有表现(高海东,2013,2020),并在之后发生滑动(如力学方向发生改变时),从而在X状断裂交会点或一个分支形成降压,一方面加大了纵向和横向的地压梯度,为成矿物质提供了驱动力,另一方面为矿体就位提供了空间(胡宝群等,2017)。若为不连续的分隔空间则可能形成充填结构为主的矿石(如石英脉型和含硫化物细脉型金矿石),若为连续的疏松破碎带就有可能形成交代结构为主的矿石(如蚀变型金矿石)。由于空间性质和降压性质不同,导致矿化和蚀变流体的物理化学性质(温度、压力、Eh值、pH值等)变化速率产生差异,进而影响水岩反应速度和强度。
综合前述研究,推测玲珑金矿成矿大致过程为:金主要以黄铁矿裂隙充填状产出,表明金的形成晚于寄主矿物黄铁矿;金矿体最佳指示元素组合为Au、Ag、As、Bi和Co,而Cu、Pb和Zn有一定的指示意义;成晕大致过程为:黄铁矿、黄铜矿、方铅矿和闪锌矿先形成,之后构造作用使先期形成的硫化物矿物产生破裂,再后发生Au、Ag、As、Bi和Co元素的热液成矿、成晕作用,这些元素以微细矿物充填于先期形成的矿物裂隙和晶隙之间。
4.3 玲珑金矿田矿体深部预测
在已开采的矿山中,开展矿体深部预测工作存在一定的困难,采用地球化学和构造叠加晕方法有助于推进深部预测工作。通过对矿体不同中段的含矿断裂剖面进行取样,分析元素含量,计算分带系数,采用构造叠加晕方法并结合矿体地质特征,可实现深部矿体资源预测。
在招平断裂带1012和1021剖面中均发现了较为明显的金异常,异常衬度高,Ag、As、Bi、Cu和Mo含量也显示出较好的异常,异常明显且衬度高,这几种元素含量同步起伏,与玲珑金矿田井下基岩剖面中的异常元素组合相似,Zn和Pb元素也有一定的异常显现。不同的是,1012剖面中金仅出现低缓异常,且尾晕元素Mo、Co、Ni和V也有较明显的异常,推测该剖面位置可能是矿体的尾部,1021剖面中Co、Ni和V等尾晕元素含量低且无异常显示,这与Ag、As、Bi、Cu前缘晕和中部晕元素明显异常不同,由此推断该段具有较好的找矿远景,现出露部分可能仅为矿体的上、中部。2个剖面中的金异常均为矿致异常,通过对比这2个剖面中的基岩地球化学异常特点可知,1021剖面中的金异常找矿潜力更大。
5 结论
通过玲珑金矿田井下含矿断裂和招平断裂基岩剖面地球化学特征研究,得出以下认识:
(1)玲珑金矿田原生晕最佳指示元素组合为Au、Ag、Bi、As和Co,在含矿剖面中这些元素的含量几乎同步起伏,可形成明显异常。具有弱指示意义的元素组合为Ni、Mo、Sb和Cu。指示意义不明的元素组合为Hg、V、U、Zn、Pb、Th和Mn。
(2)Au与Ag、Bi、As和Co元素均呈较好的幂指数正相关。金矿物主要以银金矿形式存在,并以微细粒状或脉状赋存于黄铁矿的裂隙和晶隙中。
(3)招平断裂基岩剖面地球化学测量显示2处金矿化异常,推测为矿致异常,说明该地段具有较好的找矿潜力,特别是前花园村东1021剖面异常找矿潜力更大。
(4)断裂剖面基岩地球化学测量方法通过变找矿为找晕,扩大了找矿对象,还可根据成晕元素分布的差异性进行深部和外围成矿远景预测和评价。
http://www.goldsci.ac.cn/article/2022/1005-2518/1005-2518-2022-30-4-518.shtml
参考文献
Metallogenic time and tectonic setting of the Jiaodong gold province,eastern China
[J].
Gold origin and fluid ore-forming effect of Zhao-Ye ore deposits concentrating area in Jiaodong,Shandong,China
[J].
Fluid evolution and large-scale gold metallogeny during Mesozoic tectonic transition in the eastern Shandong Province
[J].
Trace element characteristics of the No.47 vein in dakaitou ore districat of Linglong gold deposit
[J].
Geochemical characteristics and deep prediction of tectonic alteration rocks in No.50 vein of the Linglong gold deposit,Shandong Province
[J].
Characteristics of bismuth in gold deposits of Chifeng district,Inner Mongolia
[J].
Gold occurrence characteristics and their genetic significance in Dakaitou district of Linglong gold ore-deposit
[J].
Bi anomaly of the Dakaitou ore district in the Linglong gold mine and its indication significance
[J].
A preliminary study on the Mesozoic massive gold metallogenic mechanism of deep-large fault coupling with critical water in Jiaodong area,China
[J].
The theory of water phase transitions controlling hydrothermal mineralization
[J].
Depressurization and related phase transition in the lithosphere
[J].
Geochemistry of stream sediment and metallogenic prognosis of gold-polymetallic ore deposits in Weiziyu area,Liaoning Province
[J].
Metallogenic system of Jiaodong gold deposit in Shandong Province
[J].
A new prognostic method using structure superimposed halo in regional metallogenic belt
[J].
Structural superimposed halos method for prospecting blind ore-body in the deep of ore districts
[J].
The study on axial zonality sequence of primary halo and some criteria for the application of this sequence for major types of gold deposits in China
[J].
The characteristics of altered surrounding rocks in Xiling extra big gold deposit,northwest of Jiaodong
[J].
Primary research on geologic events of gold metallogenesis in East Shandong
[J].
The marked characteristics of the pyrite of gold ore genesis and mineral exploration
[J].
The thermal and dynamic process of core mantle crust and the metallogenesis of Guojiadian mantle branch in northwestern Jiaodong
[J].
Thermal uplifting-extension ore-forming theory and its prospecting significance in Jiaodong gold deposit
[J].
The characteristics of chalcopyrite in Linglong gold field,Zhaoyuan,Shandong Province
[J].
Hydrothermal alteration associated with Mesozoic Linglong-type grannite-hosting gold mineralization at the Haiyu gold deposit,Jiaodong gold province
[J].
Study on intrusive rocks forming period and stages division in Ludong area
[J].
Altered rock characteristics and their prospecting significance in Guojiabu district of Zhao-Ping francture
[J].
A study of geochemical zonation of primary halos in the Qujia gold deposit,Laizhou,Shandong Province,and its geological significance
[J].
Mesozoic gold metallogenic system of the Jiaodong gold province,eastern China
[J].
Significance of crustal extension and magmatism to gold deposits beneath Jiaodong Peninsula,eastern North China Craton:Seismic evidence from receiver function imaging with a dense array
[J].
Preliminary study on deep geophysical exploration model of gold ore fields in eastern Shandong,China
[J].
Rock geochemistry survey and its application in Linglong gold field
[J].
The wall rock alteration and its geochemical characteristics of Zhaoping fault zone in Jiaodong
[J].
Structural evolution of the Changsha-Pingjiang fault zone and its controlling on mineralization
[J].
胶东矿集区大规模成矿时间和构造环境
[J].
胶东招掖矿集区巨量金质来源和流体成矿效应
[J].
胶东中生代构造体制转折过程中流体演化和金的大规模成矿
[J].
玲珑金矿大开头矿区47 号脉微量元素特征
[J].
山东玲珑金矿50号脉三维构造蚀变岩地球化学特征及深部预测
[J].
内蒙古赤峰地区金矿床中铋的特征
[J].
玲珑金矿大开头矿区金的赋存特征及成因意义
[J].
玲珑金矿大开头矿区Bi特征及指示意义
[J].
胶东中生代巨量金矿堆积的深大断裂—临界水耦合成矿机制新探
[J].
热液矿床水相变控矿理论初探
[J].
岩石圈中的降压作用及其相变过程
[J].
辽宁省苇子峪地区水系沉积物地球化学特征及金多金属找矿远景预测
[J].
山东胶东金矿成矿理论体系
[J].
成矿区带构造叠加晕找矿预测新方法
[J].
构造叠加晕找盲矿法及其在矿山深部找矿效果
[J].
中国主要类型金矿床的原生晕轴向分带序列研究及其应用准则
[J].
胶西北西岭特大型金矿床蚀变围岩特征研究
[J].
胶东矿集区金矿成矿地质事件研究初探
[J].
黄铁矿的标型特征及其对金矿床成因与找矿勘查的启示
[J].
胶东金矿“热隆—伸展”成矿理论及其找矿意义
[J].
山东招远玲珑金矿田黄铜矿特征研究
[J].
胶东三山岛北海域金矿床热液蚀变作用研究
[J].
鲁东地区侵入岩形成时代和期次划分——锆石SHRIMP U-Pb年龄的证据
[J].
招平断裂郭家埠地区蚀变岩特征及找矿意义
[J].
山东莱州曲家金矿原生晕地球化学分带性研究及地质意义
[J].
胶东中生代金成矿系统
[J].
胶东金矿田的深部地球物理勘查模式初步研究
[J].
玲珑金矿田岩石地球化学测量及其找矿效果
[J].
胶东招平断裂带围岩蚀变地球化学特征
[J].
湖南长沙—平江断裂带构造演化及其控矿作用
[J].
/
| 〈 |
|
〉 |


甘公网安备 62010202000672号