2018年5月,中华人民共和国应急管理部发布了《2017年全国非煤矿山生产安全事故统计分析报告》[1 ] ,该报告显示,2017年全国非煤矿山共发生各类生产安全事故407起,死亡484人,反映出我国矿山安全形势依然严峻。
安全管理是提升矿山安全性及减少事故发生的一种有效途径。已有较多学者开展了相关研究,煤矿方面:田水承等[2 ] 深入分析了造成煤矿事故的3类危险源,认为要控制煤矿事故频发,特别是加强对第三类危险源的控制和研究;傅贵等[3 ] 提出了行为安全“2-4”模型,并将该模型运用在煤矿安全管理中;Liu等[4 ] 探讨了煤矿生产中安全心理状态对安全管理的影响及其评价方法;Mustafa等[5 ] 运用层次对数线性分析法对某煤矿井下发生的职业伤害进行了研究;Su等[6 ] 基于DEMATEL方法和ISM模型,建立了矿山安全管理体系影响指标体系结构,从而探索安全管理实施的有效途径。非煤矿山方面:张舒等[7 ] 提出了基于ISM和AHP以及模糊评判的矿山安全管理能力分析与评价方法;王志等[8 ] 基于BP神经网络建立了非煤地下矿山的安全评价模型;Yin等[9 ] 在数据库基础上,通过对C#和AE的二次开发,构建了一个提供可视化服务和决策支持的非煤矿山安全管理信息系统。也有学者针对地下金属矿山的安全管理进行了研究,例如:罗周全等[10 ] 基于DEMATEL-ISM对地下金属矿山人机系统事故影响因素进行了分析;Hu等[11 ] 建立了使用灰色关联分析评价人—机—环境地下金属矿山安全行为的模型,并对模型进行了对比分析;尹土兵等[12 ] 将AHP与模糊评价方法应用于山东某地下金矿,得到了各要素的权重,并确定了矿井安全等级。
以往安全管理方面的研究大多基于狭义安全模型[13 ] ,所构建模型仅限于事故的预防和风险控制,存在一定的局限性。随着安全学科的发展,安全管理研究范畴不再局限于事故预防和风险控制,因而出现了广义安全模型,该模型追求整个系统的协调运作和保障人们的身心健康,弥补了狭义安全模型仅限于事故防范和风险控制的缺陷。本文运用广义安全模型,构建地下金属矿山的安全管理模型。
1 某地下金属矿山广义安全模型的构建
1.1 广义安全模型
广义安全模型是吴超等[13 ] 于2018年相对于传统的狭义安全模型提出的。广义安全模型由“微系统”、“中系统””和“宏系统”三级子系统构成,人群、机群的匹配构成微系统;人群、机群分别与对人、机作用的学科匹配构成中系统;对人、机进行作用的学科相互匹配构成宏系统,模型组成如图1 所示。广义安全模型通过“微系统”、“中系统”和“宏系统”中的要素相互协调作用,可以达到整个系统安全运转的目的。
图1
图1
广义安全模型
Fig.1
Generalized safety model
广义安全模型以安全为切入点,克服了以往狭义安全模型以事故和风险为着眼点构建模型的局限性,以无伤害事故发生、无职业病危害、满足人的心理要求和达到最优安全效益为目标,能较全面地阐述安全科学理论体系整体框架。
1.2 矿山的广义安全管理模型构建
根据广义安全模型思想,构建某地下金属矿山的安全管理模型,如图2 所示。目前针对地下金属矿山构建的安全管理模型,主要着眼于造成事故的因素分析和隐患风险控制[10 ,11 ,12 ] ,具有一定的局限性。而本文构建模型的目标不仅限于防止事故发生,还包括保证各个微系统的正常运转,维持机群处于良好、稳定的状态,并追求人群的安全、健康、舒适和高效,使矿井内各系统协调运行,达到整个生产系统安全、高效运行的目的。广义安全管理模型的构建,为矿山安全管理组织的构建及管理活动提供了一种新选择和新思路。以下对图2 所示模型的各个系统及其相互关联进行说明。
图2
图2
某地下金属矿山的广义安全管理模型
Fig.2
A generalized safety management model for an underground metal mine
(1)微系统。人群、机群及其匹配构成微系统。根据矿井生产系统,将某地下金属矿山人机匹配系统划分为:人—提升系统、人—通风系统、人—运输系统、人—管道铺设装备系统、人—钻机系统、人—铁道铺设装备系统、人—铲运机系统、人—液压凿岩台车系统、人—爆破系统、人—支护系统、人—松石装备系统和人—装药台车系统。在此模型中安全管理的最终目的是使微系统中人群与机群达到并维持良好的匹配状态,保障各个微系统及整个矿山生产系统的正常、高效运转。
(2)中系统。在对矿山生产划分好微系统的基础上,针对机群,从对人的直接防护、对人的间接防护、外围防护及应急这3个方面进行定期检查;针对人群,从对人本身、对人直接作用和对人间接作用这3个方面进行定期管理,这一层的安全管理称为中系统。
对机群的管理方面:对人的直接防护包括机械安全、电气安全、防火防爆、压力容器安全、通风与空调安全及个体防护等内容;对人的间接防护包括安全检测装置、风险评价及环境状况评估等内容;外围防护与应急包括消防设备、事故统计与调查等。对人群的管理方面:对人本身的管理包括安全行为培养、安全知识学习及安全技能培训等;对人直接作用的管理包括有关安全奖惩、安全法规的宣传及安全文化的传播等;对人间接作用的管理包括公布企业安全事故及调查情况、设置安全标语等。
(3)宏系统。接收到微系统与中系统工作人员向上反馈的信息,做出对机群的维护与更新或对人群开展某种管理活动的决策,使各种改进活动相协调,这一层的安全管理称为宏系统。
2 结合广义安全模型的矿山安全评价
广义安全模型中微系统、中系统和宏系统的信息沟通十分重要,而实现这一信息沟通的有效途径就是开展定期的安全评价活动,获取矿井中各微系统的安全信息,因此,广义安全模型如果要在实际中得到运用,需要搭配一套系统的安全评价方法。
对于矿山的安全评价,已有学者进行了相关研究[8 ,14 ,15 ] ,其中运用人工智能(如B-P神经网络)进行评价的方法需要大量的原始评价数据进行训练,从而保证结果的准确性,因此并不适用于新构建的评价体系。本文耦合云模型、AHP法和CRITIC法,提出了一套结合广义安全模型的安全评价方法。
2.1 评价方法简介
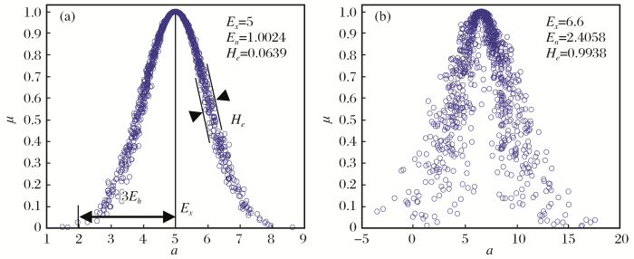
(1)云模型。云模型的概念是李德毅院士等[16 ] 于1995年提出的,是处理定性概念与定量描述的不确定转换模型。该模型已被运用于多个领域[17 ] 。云模型用期望值(E x )、熵(E n )和超熵(H e )这3个数值来表示数字的特征,考虑到了数字的模糊性和不确定性。期望值(E x )表示样本的中心值,熵(E n )是对样本不确定性的度量,超熵(H e )是对熵的不确定性的再描述[18 ] 。
①基于云模型雾化的评判分数统一。某个指标的评判如果是用主观打分的方法来确定分数,可运用云模型判定参与打分的专家意见是否统一。
按式(1)~(3)计算数据的云数字特征,利用正态正向云发生器得到纵轴表示不确定度(μ )、横轴表示分数(a )的云图(图3 )。当所得云图的云滴离散程度大,呈现雾状时,说明参与评判的专家意见不统一,可让专家进行重新评判。刘禹等[19 ] 通过大量的统计分析,得到云雾化的临界条件为H e = E n / 3 ,当H e > E n / 3 时,云图发生雾化,代表专家意见分歧较大,需要对评分数据进行进一步处理。例如:某一项指标由5个专家评判的得分为A = [ 4,4 , 5,6 , 6 ] ,云图如图3 (a)所示,可见评分有较明确的中心值,说明专家意见较统一,云图没有雾化;某一项指标由5个专家评判的得分为A = [ 5,5 , 5,9 , 9 ] ,云图如图3 (b)所示,可见评分没有明确的中心值,说明专家意见分歧较大,云图发生了雾化。
E x = 1 n ∑ i = 1 n a i (1)
E n = π 2 1 n ∑ i = 1 n a i - E x (2)
H e = | 1 n - 1 ∑ i = 1 n ( a i - E x ) 2 - E n 2 | (3)
图3
图3
云图的雾化特征
Fig.3
Atomized feature of cloud model
②评判矿井安全状况的等级云图的生成。利用综合等级云图评价某一时期的安全评价状况,能够考虑数字的模糊性与随机性[20 ] 。表1 列出了各等级云图对应评价等级的分数范围,根据式(4)~式(6)计算各等级云图的特征数字。
E x = 0.5 ( C m a x + C m i n ) (4)
E n = ( C m a x - C m i n ) / 6 (5)
H e = k (6)
式中:C m a x 与C m i n 分别为该等级分数范围的最大值与最小值,k 取任一不会导致云雾化的常数即可。
按计算参数绘制评价等级云图,如图4 所示。当得到某一时期的矿山安全评价得分为A m = [ 85,75,85,82,70 ] 时,利用式(1)~式(3)计算其云特征参数,将其云图绘制在评价等级云图中,如图4 所示,便能得到一个考虑模糊性与随机性的矿山安全评价结果。
图4
图4
评价等级云
Fig.4
Evaluation grade clouds
(2)AHP法。层次分析法(AHP)是美国著名的运筹学家Satty等[21 ] 于20世纪70年代提出的一种用一定标度对人的主观判断进行量化的方法。
AHP法可通过一定的数学转换,从人对指标重要性的定性认识(如重要、不重要),来得到评判指标主观的定量权重。AHP法中比较评价矩阵要素的取值方式原来是评判者根据要素i 与要素j 的重要性比较,从1分(非常不重要)~9分(非常重要)中选取分数。为了使AHP法能使用经过云模型统一意见后的重要度,将比较评价矩阵A c 中要素a c i j 的取值方式改为要素i 与要素j 量化了的重要度的比值。同时,原取值方式存在着所得矩阵过分偏离一致矩阵的情况,为防止评判结果失真,需要进行一致性检验,若检验不通过则需要重新评判,实际运用过程中很难找出哪些要素的评判出现了问题,浪费了大量时间。而新的取值方式不需要进行一致性检验。主要步骤如下:
A c = a c 11 a c 12 ⋯ a c 1 k a c 21 a c 22 ⋯ a c 2 k ⋮ ⋮ ⋮ ⋮ a c k 1 a c k 2 ⋯ a c k k (7)
式中:a c i j 为要素i 与要素j 量化了的重要度的比值;k 为本部分要素的数量。
③计算判断矩阵的最大特征向量及其对应特征值,归一化后得到要素的主观权重向量为
W s = ( w s 1 , w s 2 , ⋯ , w s k ) w s 1 + w s 2 + ⋯ + w s k = 1 (8)
(3)CRITIC法。CRITIC法是Diakoulaki[22 ] 于1995年提出的一种客观赋权方法,基本原理是通过样本的统计值考察样本所含信息量来确定权重。CRITIC法认为样本标准差越大,所含信息量越大,其权重也应越大。若样本与其他样本的正相关性越小,所含信息量越大,其权重也越大;若样本与其他样本的负相关性越大,所含信息量越大,其权重也越大。客观权重按式(9)~式(10)进行计算。
C i = σ i ∑ i = 1 k ( 1 - r i j ) (9)
w o i = C i / ∑ i = 1 k C i (10)
式中:σ i 为样本标准差;r i j 为第i 个和第j 个指标样本间的相关系数;C i 为样本信息量;w o i 为样本的客观权重。虽然利用云模型的雾化现象能够统一专家意见,但人的认识与客观存在仍存在着不可避免的差距,因而采用CRITIC法通过各项评判数据的信息量来判定客观权重,使评价权重更符合客观事实。另外,由于不同矿山之间的地质条件及作业方式有所差异,因此不借用其他矿山的数据来判别各指标的客观权重,需根据自身的评判数据对各指标的权重进行修正。
2.2 评价步骤
本文所提出的矿井安全评价流程如图5 所示,利用云模型雾化现象统一专家意见并考虑评判结果的模糊性与不确定性,利用AHP法确定各要素主观权重,再结合CRITIC法利用评价过程中的数据得到客观权重,并调整主观权重,进而更好地监控矿井安全状况。
图5
图5
评价步骤
Fig.5
Evaluation steps
(1)广义安全模型评价层次划分。根据矿井条件及采矿工作,将矿井生产过程中的人群与机群的匹配划分为若干个微系统(M1 ,M2 ,…,Mn )。对于划分好的微系统(M1 ,M2 ,…,Mn ),针对机群,从对人的直接防护、对人的间接防护、外围防护及应急3个方面选取适合要素(Em1 ,Em2 ,…,Em k );针对人群,从对人本身、对人直接作用和对人间接作用3个方面选取适合要素(Eh1 ,Eh2 ,…,Eh l )。得到的评价层次结构图如图6 所示。
图6
图6
评价层次结构图
Fig.6
Hierarchical structure of evaluation
(2)各要素的重要性打分及结合云模型的意见统一。邀请多位评判专家对各部分自要素的重要性进行打分,从重要到不重要,评分范围依次为1~9分,并利用云模型雾化现象统一专家意见,若某要素评分的云图出现雾化,则专家进行交流统一意见后对此要素进行重新评分,直至云图不再出现雾化。
(3)用AHP法确定已得到的评价指标体系中各要素的主观权重。
对于主观指标的评分,由对此微系统熟悉的人员给出(0~100分);对于客观指标的评分,按式(11)进行计算:
a i = b i - m i n ( b i ) m a x ( b i ) - m i n ( b i ) × 100 ( 正 向 指 标 ) m a x ( b i ) - b i m a x ( b i ) - m i n ( b i ) × 100 ( 逆 向 指 标 ) (11)
根据权重逐级计算各微系统人群、机群得分,各微系统得分,以及矿井总得分。
(7)依据权重和评分进行合理的安全决策,进行整改和开展相关工作。
利用CRITIC法和自身评价数据得到评价指标体系中各要素的客观权重,并按式(12)对权重进行修正。
w i = w o i + w s i 2 (12)
(9)重复上述步骤(5)、(6)、(7)、(8),直至矿井进行重大技术革新,需要重新划分微系统。
2.3 工程实例
将该方法运用于某地下金属矿山。根据广义安全模型划分的评价层次如表2 所示。将5位专家对各要素重要性的打分利用云模型的雾化现象统一意见后求取平均值,利用AHP法得到主观权重,如表2 所示。定期开展安全评价工作,每进行5次安全评价后,依据近期评价数据绘制矿井、各微系统及各要素的评价等级云图。矿井安全评价等级云如图7 所示,由图可见,矿井安全状况波动小,属于安全等级,说明该时间段内矿井生产正常进行,无职业病情况,评价结果与实际相符。
图7
图7
矿井安全评价等级云
Fig.7
Mine safety assessment grade clouds
各微系统安全评价等级云如图8 所示。其中,M1 、M3 、M4 、M5 、M6 和M12 微系统的安全状况稳定且波动较小;M2 、M7 和M8 微系统的安全得分波动不大,但其均值偏低,故应采取相应措施改善微系统中的低得分项;M9 微系统的安全得分均值较高,但其安全得分波动较大,故应查找造成这种波动的原因,并加以控制;M10 和M11 微系统不仅安全得分低,而且安全状况波动较大,应着重加以改善。评价结果符合矿井安全状况。
图8
图8
微系统安全评价等级云
Fig.8
Microsystem Safety Assessment Grade Clouds
利用CRITIC法和自身评价数据得到评价指标体系中各要素的客观权重,并对各部分权重进行修正,修正后权重如表2 所示,将修正后的权重用于下一阶段的评价。在修正后的权重中,人—通风系统(M2 )、人—爆破系统(M9 )、人—支护系统(M10 )和人—装药台车系统(M12 )权重较高,与实际情况相符。
3 结论
(1)结合广义安全模型,构建了某地下金属矿山的安全管理模型,将矿山生产系统划分为12个微系统,并将安全管理划分为对宏系统、中系统和微系统3个层次的管理,解释了各级系统的含义与组成。所构建的安全模型不再局限于事故预防与风险控制,而是着眼于人群的安全、健康、舒适和高效,使矿井内各系统协调运行,达到整个生产系统安全、高效运行。
(2)在构建某地下金属矿山广义安全模型的基础上,为获取各微系统中的信息,保障安全模型正常运转,提出了一种矿山安全评价方法,能够统一专家意见,考虑主观权重,并结合客观权重对各部分权重进行调整,得到考虑数据不确定性与模糊性的评价云图。在实际运用中,该方法能够很好地监控各级微系统的安全状况,并为宏系统的安全决策与中系统的决策执行提供信息支持。
参考文献
View Option
[1]
中华人民共和国应急管理部 .2017年全国非煤矿山生产安全事故统计分析报告
[R].北京 :中华人民共和国应急管理部 ,2018 .
[本文引用: 1]
Ministry of Emergency Management of the People’s Republic of China .Statistical analysis report on production safety accidents in non-coal mines in 2017
[R].Beijing :Ministry of Emergency Management of the People’s Republic of China ,2018 .
[本文引用: 1]
[2]
田水承 ,李红霞 ,王莉 ,等 .从三类危险源理论看煤矿事故的频发
[J].中国安全科学学报 ,2007 ,17 (1 ):10 .
[本文引用: 1]
Tian Shuicheng ,Li Hongxia ,Wang Li ,et al .Probe into the frequency of coal mine accidents based on the theory of three types of hazards
[J].China Safety Science Journal ,2007 ,17 (1 ):10 .
[本文引用: 1]
[3]
傅贵 ,殷文韬 ,董继业 ,等 .行为安全“2-4”模型及其在煤矿安全管理中的应用
[J].煤炭学报 ,2013 ,38 (7 ):1123 -1129 .
[本文引用: 1]
Fu Gui ,Yin Wentao ,Dong Jiye ,et al .Behavior-based accident causation:The “2-4”model and its safety implications in coal mines
[J].Journal of China Coal Society ,2013 ,38 (7 ):1123 -1129 .
[本文引用: 1]
[4]
Liu G Y ,Luo C L .Analysis of the safety psychological factors in the coal mine safety management
[J].Procedia Engineering ,2012 ,45 (2 ):253 -258 .
[本文引用: 1]
[5]
Mustafa O ,Seyhan O ,Erhan A .Applying hierarchical loglinear models to nonfatal underground coal mine accidents for safety management
[J].International Journal of Occupational Safety and Ergonomics ,2014 ,20 (2 ):239 -248 .
[本文引用: 1]
[6]
Su T Y ,Sun Z Q ,Yang N .The analysis of coal mine safety management evaluation system based on the DEMATEL and ISM model
[C]//2011 IEEE International Conference on Industrial Engineering and Engineering Management .NewYork :IEEE ,2011 :12304233
.
[本文引用: 1]
[7]
张舒 ,史秀志 ,古德生 ,等 .基于ISM和AHP以及模糊评判的矿山安全管理能力分析与评价
[J].中南大学学报(自然科学版) ,2011 ,42 (8 ):2406 -2416 .
[本文引用: 1]
Zhang Shu ,Shi Xiuzhi ,Gu Desheng ,et al .Analysis and evaluation of safety management capability in mine based on ISM and AHP and fuzzy evaluation method
[J].Journal of Central South University (Natural Science Edition) ,2011 ,42 (8 ):2406 -2416 .
[本文引用: 1]
[8]
王志 ,郭勇 .基于BP神经网络的非煤地下矿山安全评价模型
[J].中国安全科学学报 ,2009 ,19 (2 ):124 .
[本文引用: 2]
Wang Zhi ,Guo Yong .Safety assessment model of underground non-coal mine based on BP neural network
[J].China Safety Science Journal ,2009 ,19 (2 ):124 .
[本文引用: 2]
[9]
Yin J ,Wang Y J ,Lü L ,et al .Research of non-coal mine safety management system on the basis of GIS
[J].Journal of Wuhan University of Technology ,2010 ,32 (13 ):110 -113 .
[本文引用: 1]
[10]
罗周全 ,程鹏毅 .基于DEMATEL-ISM的地下金属矿山人机系统事故影响因素分析
[J].中国安全生产科学技术 ,2017 ,13 (12 ):145 -151 .
[本文引用: 2]
Luo Zhouquan ,Cheng Pengyi .Analysis on factors affecting accidents of man-machine system in underground metal mine based on DEMATEL-ISM
[J].Journal of Safety Science and Technology ,2017 ,13 (12 ):145 -151 .
[本文引用: 2]
[11]
Hu L R ,Li G Q .Evaluation of personnel underground behavior safety for metal mines based on grey relevance analysis
[J].Applied Mechanics and Materials ,2015 ,737 (2 ):461 -466 .
[本文引用: 2]
[12]
尹土兵 ,王品 ,张鸣鲁 .基于AHP及模糊综合评判的地下金属矿山安全分析与评价
[J].黄金科学技术 ,2015 ,23 (3 ):60 -66 .
[本文引用: 2]
Yin Tubing ,Wang Pin ,Zhang Minglu .Analysis and evaluation of safety in underground metal mine based on AHP and fuzzy evaluation method
[J].Gold Science and Technology ,2015 ,23 (3 ):60 -66 .
[本文引用: 2]
[13]
吴超 ,黄浪 ,贾楠 ,等 .广义安全模型构建研究
[J].科技管理研究 ,2018 ,38 (1 ):250 -255 .
[本文引用: 2]
Wu Chao ,Huang Lang ,Jia Nan ,et al .Study on the construction of generalized safety model
[J].Science and Technology Management Research ,2018 ,38 (1 ):250 -255 .
[本文引用: 2]
[14]
刘辉 ,王海宁 ,吕志飞 .模糊神经网络技术在矿山安全评价中的适应性研究
[J].中国安全生产科学技术 ,2005 ,1 (3 ):56 -59 .
[本文引用: 1]
Liu Hui ,Wang Haining ,Zhifei Lü .Study of adaptability on FNN in mine safety assessment
[J].Journal of Safety Science and Technology ,2005 ,1 (3 ):56 -59 .
[本文引用: 1]
[15]
陆秋琴 ,潘长波 ,黄光球 .基于未确知属性层次法的矿山资源环境安全评价模型
[J].安全与环境学报 ,2013 ,13 (1 ):234 -240 .
[本文引用: 1]
Lu Qiuqin ,Pan Changbo ,Huang Guangqiu .A mining resource environment evaluation model based on the fuzzy attribute hierarchical analysis
[J].Journal of Safety and Environment ,2013 ,13 (1 ):234 -240 .
[本文引用: 1]
[16]
李德毅 ,杜鹅 .不确定性人工智能
[M].北京 :国防工业出版社 ,2005 .
[本文引用: 1]
Li Deyi ,Du E .Uncertainty Artificial Intelligence
[M].Beijing :National Defense Industry Press ,2005 .
[本文引用: 1]
[17]
叶琼 ,李绍稳 ,张友华 ,等 .云模型及应用综述
[J].计算机工程与设计 ,2011 ,32 (12 ):4198 -4201 .
[本文引用: 1]
Ye Qiong ,Li Shaowen ,Zhang Youhua ,et al .Cloud model and application overview
[J].Computer Engineering and Design ,2011 ,32 (12 ):4198 -4201 .
[本文引用: 1]
[18]
李邵红 ,王少阳 ,朱建东 ,等 .基于权重融合和云模型的岩爆倾向性预测研究
[J].岩土工程学报 ,2018 ,40 (6 ):112 -120 .
[本文引用: 1]
Li Shaohong ,Wang Shaoyang ,Zhu Jiandong ,et al .Prediction of rock burst tendency based on weighted fusion and improved cloud model
[J].Chinese Journal of Geotechnical Engineering ,2018 ,40 (6 ):112 -120 .
[本文引用: 1]
[19]
刘禹 ,李德毅 .正态云模型雾化性质统计分析
[J].北京航空航天大学学报 ,2010 ,36 (11 ):1320 -1324 .
[本文引用: 1]
Liu Yu ,Li Deyi .Statistics on atomized feature of normal cloud model
[J].Journal of Beijing University of Aeronautics and Astronautics ,2010 ,36 (11 ):1320 -1324 .
[本文引用: 1]
[20]
彭洁 .基于云模型的退役铀尾矿库渗水污染现状分析及水质综合评价
[D].衡阳 :南华大学 ,2016 .
[本文引用: 1]
Peng Jie .Analysis on Current Situation of Pollution and Water Quality Comprehensive Assessment of Seepage of Decommissioning Uranium Tailings Impoundment Based on the Cloud Model
[D].Hengyang :University of South China ,2016 .
[本文引用: 1]
[21]
Saaty T L .How to make a decision:The analytic hierarchy process
[J].European Journal of Operational Research ,1994 ,24 (6 ):19 -43 .
[本文引用: 1]
[22]
Diakoulaki D ,Mavrotas G ,Papayannakis L .Determining objective weights in multiple criteria problems:The critic method
[J].Computers and Operations Research ,1995 ,22 (7 ):763 -770 .
[本文引用: 1]
2017年全国非煤矿山生产安全事故统计分析报告
1
2018
... 2018年5月,中华人民共和国应急管理部发布了《2017年全国非煤矿山生产安全事故统计分析报告》[1 ] ,该报告显示,2017年全国非煤矿山共发生各类生产安全事故407起,死亡484人,反映出我国矿山安全形势依然严峻. ...
2017年全国非煤矿山生产安全事故统计分析报告
1
2018
... 2018年5月,中华人民共和国应急管理部发布了《2017年全国非煤矿山生产安全事故统计分析报告》[1 ] ,该报告显示,2017年全国非煤矿山共发生各类生产安全事故407起,死亡484人,反映出我国矿山安全形势依然严峻. ...
从三类危险源理论看煤矿事故的频发
1
2007
... 安全管理是提升矿山安全性及减少事故发生的一种有效途径.已有较多学者开展了相关研究,煤矿方面:田水承等[2 ] 深入分析了造成煤矿事故的3类危险源,认为要控制煤矿事故频发,特别是加强对第三类危险源的控制和研究;傅贵等[3 ] 提出了行为安全“2-4”模型,并将该模型运用在煤矿安全管理中;Liu等[4 ] 探讨了煤矿生产中安全心理状态对安全管理的影响及其评价方法;Mustafa等[5 ] 运用层次对数线性分析法对某煤矿井下发生的职业伤害进行了研究;Su等[6 ] 基于DEMATEL方法和ISM模型,建立了矿山安全管理体系影响指标体系结构,从而探索安全管理实施的有效途径.非煤矿山方面:张舒等[7 ] 提出了基于ISM和AHP以及模糊评判的矿山安全管理能力分析与评价方法;王志等[8 ] 基于BP神经网络建立了非煤地下矿山的安全评价模型;Yin等[9 ] 在数据库基础上,通过对C#和AE的二次开发,构建了一个提供可视化服务和决策支持的非煤矿山安全管理信息系统.也有学者针对地下金属矿山的安全管理进行了研究,例如:罗周全等[10 ] 基于DEMATEL-ISM对地下金属矿山人机系统事故影响因素进行了分析;Hu等[11 ] 建立了使用灰色关联分析评价人—机—环境地下金属矿山安全行为的模型,并对模型进行了对比分析;尹土兵等[12 ] 将AHP与模糊评价方法应用于山东某地下金矿,得到了各要素的权重,并确定了矿井安全等级. ...
从三类危险源理论看煤矿事故的频发
1
2007
... 安全管理是提升矿山安全性及减少事故发生的一种有效途径.已有较多学者开展了相关研究,煤矿方面:田水承等[2 ] 深入分析了造成煤矿事故的3类危险源,认为要控制煤矿事故频发,特别是加强对第三类危险源的控制和研究;傅贵等[3 ] 提出了行为安全“2-4”模型,并将该模型运用在煤矿安全管理中;Liu等[4 ] 探讨了煤矿生产中安全心理状态对安全管理的影响及其评价方法;Mustafa等[5 ] 运用层次对数线性分析法对某煤矿井下发生的职业伤害进行了研究;Su等[6 ] 基于DEMATEL方法和ISM模型,建立了矿山安全管理体系影响指标体系结构,从而探索安全管理实施的有效途径.非煤矿山方面:张舒等[7 ] 提出了基于ISM和AHP以及模糊评判的矿山安全管理能力分析与评价方法;王志等[8 ] 基于BP神经网络建立了非煤地下矿山的安全评价模型;Yin等[9 ] 在数据库基础上,通过对C#和AE的二次开发,构建了一个提供可视化服务和决策支持的非煤矿山安全管理信息系统.也有学者针对地下金属矿山的安全管理进行了研究,例如:罗周全等[10 ] 基于DEMATEL-ISM对地下金属矿山人机系统事故影响因素进行了分析;Hu等[11 ] 建立了使用灰色关联分析评价人—机—环境地下金属矿山安全行为的模型,并对模型进行了对比分析;尹土兵等[12 ] 将AHP与模糊评价方法应用于山东某地下金矿,得到了各要素的权重,并确定了矿井安全等级. ...
行为安全“2-4”模型及其在煤矿安全管理中的应用
1
2013
... 安全管理是提升矿山安全性及减少事故发生的一种有效途径.已有较多学者开展了相关研究,煤矿方面:田水承等[2 ] 深入分析了造成煤矿事故的3类危险源,认为要控制煤矿事故频发,特别是加强对第三类危险源的控制和研究;傅贵等[3 ] 提出了行为安全“2-4”模型,并将该模型运用在煤矿安全管理中;Liu等[4 ] 探讨了煤矿生产中安全心理状态对安全管理的影响及其评价方法;Mustafa等[5 ] 运用层次对数线性分析法对某煤矿井下发生的职业伤害进行了研究;Su等[6 ] 基于DEMATEL方法和ISM模型,建立了矿山安全管理体系影响指标体系结构,从而探索安全管理实施的有效途径.非煤矿山方面:张舒等[7 ] 提出了基于ISM和AHP以及模糊评判的矿山安全管理能力分析与评价方法;王志等[8 ] 基于BP神经网络建立了非煤地下矿山的安全评价模型;Yin等[9 ] 在数据库基础上,通过对C#和AE的二次开发,构建了一个提供可视化服务和决策支持的非煤矿山安全管理信息系统.也有学者针对地下金属矿山的安全管理进行了研究,例如:罗周全等[10 ] 基于DEMATEL-ISM对地下金属矿山人机系统事故影响因素进行了分析;Hu等[11 ] 建立了使用灰色关联分析评价人—机—环境地下金属矿山安全行为的模型,并对模型进行了对比分析;尹土兵等[12 ] 将AHP与模糊评价方法应用于山东某地下金矿,得到了各要素的权重,并确定了矿井安全等级. ...
行为安全“2-4”模型及其在煤矿安全管理中的应用
1
2013
... 安全管理是提升矿山安全性及减少事故发生的一种有效途径.已有较多学者开展了相关研究,煤矿方面:田水承等[2 ] 深入分析了造成煤矿事故的3类危险源,认为要控制煤矿事故频发,特别是加强对第三类危险源的控制和研究;傅贵等[3 ] 提出了行为安全“2-4”模型,并将该模型运用在煤矿安全管理中;Liu等[4 ] 探讨了煤矿生产中安全心理状态对安全管理的影响及其评价方法;Mustafa等[5 ] 运用层次对数线性分析法对某煤矿井下发生的职业伤害进行了研究;Su等[6 ] 基于DEMATEL方法和ISM模型,建立了矿山安全管理体系影响指标体系结构,从而探索安全管理实施的有效途径.非煤矿山方面:张舒等[7 ] 提出了基于ISM和AHP以及模糊评判的矿山安全管理能力分析与评价方法;王志等[8 ] 基于BP神经网络建立了非煤地下矿山的安全评价模型;Yin等[9 ] 在数据库基础上,通过对C#和AE的二次开发,构建了一个提供可视化服务和决策支持的非煤矿山安全管理信息系统.也有学者针对地下金属矿山的安全管理进行了研究,例如:罗周全等[10 ] 基于DEMATEL-ISM对地下金属矿山人机系统事故影响因素进行了分析;Hu等[11 ] 建立了使用灰色关联分析评价人—机—环境地下金属矿山安全行为的模型,并对模型进行了对比分析;尹土兵等[12 ] 将AHP与模糊评价方法应用于山东某地下金矿,得到了各要素的权重,并确定了矿井安全等级. ...
Analysis of the safety psychological factors in the coal mine safety management
1
2012
... 安全管理是提升矿山安全性及减少事故发生的一种有效途径.已有较多学者开展了相关研究,煤矿方面:田水承等[2 ] 深入分析了造成煤矿事故的3类危险源,认为要控制煤矿事故频发,特别是加强对第三类危险源的控制和研究;傅贵等[3 ] 提出了行为安全“2-4”模型,并将该模型运用在煤矿安全管理中;Liu等[4 ] 探讨了煤矿生产中安全心理状态对安全管理的影响及其评价方法;Mustafa等[5 ] 运用层次对数线性分析法对某煤矿井下发生的职业伤害进行了研究;Su等[6 ] 基于DEMATEL方法和ISM模型,建立了矿山安全管理体系影响指标体系结构,从而探索安全管理实施的有效途径.非煤矿山方面:张舒等[7 ] 提出了基于ISM和AHP以及模糊评判的矿山安全管理能力分析与评价方法;王志等[8 ] 基于BP神经网络建立了非煤地下矿山的安全评价模型;Yin等[9 ] 在数据库基础上,通过对C#和AE的二次开发,构建了一个提供可视化服务和决策支持的非煤矿山安全管理信息系统.也有学者针对地下金属矿山的安全管理进行了研究,例如:罗周全等[10 ] 基于DEMATEL-ISM对地下金属矿山人机系统事故影响因素进行了分析;Hu等[11 ] 建立了使用灰色关联分析评价人—机—环境地下金属矿山安全行为的模型,并对模型进行了对比分析;尹土兵等[12 ] 将AHP与模糊评价方法应用于山东某地下金矿,得到了各要素的权重,并确定了矿井安全等级. ...
Applying hierarchical loglinear models to nonfatal underground coal mine accidents for safety management
1
2014
... 安全管理是提升矿山安全性及减少事故发生的一种有效途径.已有较多学者开展了相关研究,煤矿方面:田水承等[2 ] 深入分析了造成煤矿事故的3类危险源,认为要控制煤矿事故频发,特别是加强对第三类危险源的控制和研究;傅贵等[3 ] 提出了行为安全“2-4”模型,并将该模型运用在煤矿安全管理中;Liu等[4 ] 探讨了煤矿生产中安全心理状态对安全管理的影响及其评价方法;Mustafa等[5 ] 运用层次对数线性分析法对某煤矿井下发生的职业伤害进行了研究;Su等[6 ] 基于DEMATEL方法和ISM模型,建立了矿山安全管理体系影响指标体系结构,从而探索安全管理实施的有效途径.非煤矿山方面:张舒等[7 ] 提出了基于ISM和AHP以及模糊评判的矿山安全管理能力分析与评价方法;王志等[8 ] 基于BP神经网络建立了非煤地下矿山的安全评价模型;Yin等[9 ] 在数据库基础上,通过对C#和AE的二次开发,构建了一个提供可视化服务和决策支持的非煤矿山安全管理信息系统.也有学者针对地下金属矿山的安全管理进行了研究,例如:罗周全等[10 ] 基于DEMATEL-ISM对地下金属矿山人机系统事故影响因素进行了分析;Hu等[11 ] 建立了使用灰色关联分析评价人—机—环境地下金属矿山安全行为的模型,并对模型进行了对比分析;尹土兵等[12 ] 将AHP与模糊评价方法应用于山东某地下金矿,得到了各要素的权重,并确定了矿井安全等级. ...
12304233
1
2011
... 安全管理是提升矿山安全性及减少事故发生的一种有效途径.已有较多学者开展了相关研究,煤矿方面:田水承等[2 ] 深入分析了造成煤矿事故的3类危险源,认为要控制煤矿事故频发,特别是加强对第三类危险源的控制和研究;傅贵等[3 ] 提出了行为安全“2-4”模型,并将该模型运用在煤矿安全管理中;Liu等[4 ] 探讨了煤矿生产中安全心理状态对安全管理的影响及其评价方法;Mustafa等[5 ] 运用层次对数线性分析法对某煤矿井下发生的职业伤害进行了研究;Su等[6 ] 基于DEMATEL方法和ISM模型,建立了矿山安全管理体系影响指标体系结构,从而探索安全管理实施的有效途径.非煤矿山方面:张舒等[7 ] 提出了基于ISM和AHP以及模糊评判的矿山安全管理能力分析与评价方法;王志等[8 ] 基于BP神经网络建立了非煤地下矿山的安全评价模型;Yin等[9 ] 在数据库基础上,通过对C#和AE的二次开发,构建了一个提供可视化服务和决策支持的非煤矿山安全管理信息系统.也有学者针对地下金属矿山的安全管理进行了研究,例如:罗周全等[10 ] 基于DEMATEL-ISM对地下金属矿山人机系统事故影响因素进行了分析;Hu等[11 ] 建立了使用灰色关联分析评价人—机—环境地下金属矿山安全行为的模型,并对模型进行了对比分析;尹土兵等[12 ] 将AHP与模糊评价方法应用于山东某地下金矿,得到了各要素的权重,并确定了矿井安全等级. ...
基于ISM和AHP以及模糊评判的矿山安全管理能力分析与评价
1
2011
... 安全管理是提升矿山安全性及减少事故发生的一种有效途径.已有较多学者开展了相关研究,煤矿方面:田水承等[2 ] 深入分析了造成煤矿事故的3类危险源,认为要控制煤矿事故频发,特别是加强对第三类危险源的控制和研究;傅贵等[3 ] 提出了行为安全“2-4”模型,并将该模型运用在煤矿安全管理中;Liu等[4 ] 探讨了煤矿生产中安全心理状态对安全管理的影响及其评价方法;Mustafa等[5 ] 运用层次对数线性分析法对某煤矿井下发生的职业伤害进行了研究;Su等[6 ] 基于DEMATEL方法和ISM模型,建立了矿山安全管理体系影响指标体系结构,从而探索安全管理实施的有效途径.非煤矿山方面:张舒等[7 ] 提出了基于ISM和AHP以及模糊评判的矿山安全管理能力分析与评价方法;王志等[8 ] 基于BP神经网络建立了非煤地下矿山的安全评价模型;Yin等[9 ] 在数据库基础上,通过对C#和AE的二次开发,构建了一个提供可视化服务和决策支持的非煤矿山安全管理信息系统.也有学者针对地下金属矿山的安全管理进行了研究,例如:罗周全等[10 ] 基于DEMATEL-ISM对地下金属矿山人机系统事故影响因素进行了分析;Hu等[11 ] 建立了使用灰色关联分析评价人—机—环境地下金属矿山安全行为的模型,并对模型进行了对比分析;尹土兵等[12 ] 将AHP与模糊评价方法应用于山东某地下金矿,得到了各要素的权重,并确定了矿井安全等级. ...
基于ISM和AHP以及模糊评判的矿山安全管理能力分析与评价
1
2011
... 安全管理是提升矿山安全性及减少事故发生的一种有效途径.已有较多学者开展了相关研究,煤矿方面:田水承等[2 ] 深入分析了造成煤矿事故的3类危险源,认为要控制煤矿事故频发,特别是加强对第三类危险源的控制和研究;傅贵等[3 ] 提出了行为安全“2-4”模型,并将该模型运用在煤矿安全管理中;Liu等[4 ] 探讨了煤矿生产中安全心理状态对安全管理的影响及其评价方法;Mustafa等[5 ] 运用层次对数线性分析法对某煤矿井下发生的职业伤害进行了研究;Su等[6 ] 基于DEMATEL方法和ISM模型,建立了矿山安全管理体系影响指标体系结构,从而探索安全管理实施的有效途径.非煤矿山方面:张舒等[7 ] 提出了基于ISM和AHP以及模糊评判的矿山安全管理能力分析与评价方法;王志等[8 ] 基于BP神经网络建立了非煤地下矿山的安全评价模型;Yin等[9 ] 在数据库基础上,通过对C#和AE的二次开发,构建了一个提供可视化服务和决策支持的非煤矿山安全管理信息系统.也有学者针对地下金属矿山的安全管理进行了研究,例如:罗周全等[10 ] 基于DEMATEL-ISM对地下金属矿山人机系统事故影响因素进行了分析;Hu等[11 ] 建立了使用灰色关联分析评价人—机—环境地下金属矿山安全行为的模型,并对模型进行了对比分析;尹土兵等[12 ] 将AHP与模糊评价方法应用于山东某地下金矿,得到了各要素的权重,并确定了矿井安全等级. ...
基于BP神经网络的非煤地下矿山安全评价模型
2
2009
... 安全管理是提升矿山安全性及减少事故发生的一种有效途径.已有较多学者开展了相关研究,煤矿方面:田水承等[2 ] 深入分析了造成煤矿事故的3类危险源,认为要控制煤矿事故频发,特别是加强对第三类危险源的控制和研究;傅贵等[3 ] 提出了行为安全“2-4”模型,并将该模型运用在煤矿安全管理中;Liu等[4 ] 探讨了煤矿生产中安全心理状态对安全管理的影响及其评价方法;Mustafa等[5 ] 运用层次对数线性分析法对某煤矿井下发生的职业伤害进行了研究;Su等[6 ] 基于DEMATEL方法和ISM模型,建立了矿山安全管理体系影响指标体系结构,从而探索安全管理实施的有效途径.非煤矿山方面:张舒等[7 ] 提出了基于ISM和AHP以及模糊评判的矿山安全管理能力分析与评价方法;王志等[8 ] 基于BP神经网络建立了非煤地下矿山的安全评价模型;Yin等[9 ] 在数据库基础上,通过对C#和AE的二次开发,构建了一个提供可视化服务和决策支持的非煤矿山安全管理信息系统.也有学者针对地下金属矿山的安全管理进行了研究,例如:罗周全等[10 ] 基于DEMATEL-ISM对地下金属矿山人机系统事故影响因素进行了分析;Hu等[11 ] 建立了使用灰色关联分析评价人—机—环境地下金属矿山安全行为的模型,并对模型进行了对比分析;尹土兵等[12 ] 将AHP与模糊评价方法应用于山东某地下金矿,得到了各要素的权重,并确定了矿井安全等级. ...
... 对于矿山的安全评价,已有学者进行了相关研究[8 ,14 ,15 ] ,其中运用人工智能(如B-P神经网络)进行评价的方法需要大量的原始评价数据进行训练,从而保证结果的准确性,因此并不适用于新构建的评价体系.本文耦合云模型、AHP法和CRITIC法,提出了一套结合广义安全模型的安全评价方法. ...
基于BP神经网络的非煤地下矿山安全评价模型
2
2009
... 安全管理是提升矿山安全性及减少事故发生的一种有效途径.已有较多学者开展了相关研究,煤矿方面:田水承等[2 ] 深入分析了造成煤矿事故的3类危险源,认为要控制煤矿事故频发,特别是加强对第三类危险源的控制和研究;傅贵等[3 ] 提出了行为安全“2-4”模型,并将该模型运用在煤矿安全管理中;Liu等[4 ] 探讨了煤矿生产中安全心理状态对安全管理的影响及其评价方法;Mustafa等[5 ] 运用层次对数线性分析法对某煤矿井下发生的职业伤害进行了研究;Su等[6 ] 基于DEMATEL方法和ISM模型,建立了矿山安全管理体系影响指标体系结构,从而探索安全管理实施的有效途径.非煤矿山方面:张舒等[7 ] 提出了基于ISM和AHP以及模糊评判的矿山安全管理能力分析与评价方法;王志等[8 ] 基于BP神经网络建立了非煤地下矿山的安全评价模型;Yin等[9 ] 在数据库基础上,通过对C#和AE的二次开发,构建了一个提供可视化服务和决策支持的非煤矿山安全管理信息系统.也有学者针对地下金属矿山的安全管理进行了研究,例如:罗周全等[10 ] 基于DEMATEL-ISM对地下金属矿山人机系统事故影响因素进行了分析;Hu等[11 ] 建立了使用灰色关联分析评价人—机—环境地下金属矿山安全行为的模型,并对模型进行了对比分析;尹土兵等[12 ] 将AHP与模糊评价方法应用于山东某地下金矿,得到了各要素的权重,并确定了矿井安全等级. ...
... 对于矿山的安全评价,已有学者进行了相关研究[8 ,14 ,15 ] ,其中运用人工智能(如B-P神经网络)进行评价的方法需要大量的原始评价数据进行训练,从而保证结果的准确性,因此并不适用于新构建的评价体系.本文耦合云模型、AHP法和CRITIC法,提出了一套结合广义安全模型的安全评价方法. ...
Research of non-coal mine safety management system on the basis of GIS
1
2010
... 安全管理是提升矿山安全性及减少事故发生的一种有效途径.已有较多学者开展了相关研究,煤矿方面:田水承等[2 ] 深入分析了造成煤矿事故的3类危险源,认为要控制煤矿事故频发,特别是加强对第三类危险源的控制和研究;傅贵等[3 ] 提出了行为安全“2-4”模型,并将该模型运用在煤矿安全管理中;Liu等[4 ] 探讨了煤矿生产中安全心理状态对安全管理的影响及其评价方法;Mustafa等[5 ] 运用层次对数线性分析法对某煤矿井下发生的职业伤害进行了研究;Su等[6 ] 基于DEMATEL方法和ISM模型,建立了矿山安全管理体系影响指标体系结构,从而探索安全管理实施的有效途径.非煤矿山方面:张舒等[7 ] 提出了基于ISM和AHP以及模糊评判的矿山安全管理能力分析与评价方法;王志等[8 ] 基于BP神经网络建立了非煤地下矿山的安全评价模型;Yin等[9 ] 在数据库基础上,通过对C#和AE的二次开发,构建了一个提供可视化服务和决策支持的非煤矿山安全管理信息系统.也有学者针对地下金属矿山的安全管理进行了研究,例如:罗周全等[10 ] 基于DEMATEL-ISM对地下金属矿山人机系统事故影响因素进行了分析;Hu等[11 ] 建立了使用灰色关联分析评价人—机—环境地下金属矿山安全行为的模型,并对模型进行了对比分析;尹土兵等[12 ] 将AHP与模糊评价方法应用于山东某地下金矿,得到了各要素的权重,并确定了矿井安全等级. ...
基于DEMATEL-ISM的地下金属矿山人机系统事故影响因素分析
2
2017
... 安全管理是提升矿山安全性及减少事故发生的一种有效途径.已有较多学者开展了相关研究,煤矿方面:田水承等[2 ] 深入分析了造成煤矿事故的3类危险源,认为要控制煤矿事故频发,特别是加强对第三类危险源的控制和研究;傅贵等[3 ] 提出了行为安全“2-4”模型,并将该模型运用在煤矿安全管理中;Liu等[4 ] 探讨了煤矿生产中安全心理状态对安全管理的影响及其评价方法;Mustafa等[5 ] 运用层次对数线性分析法对某煤矿井下发生的职业伤害进行了研究;Su等[6 ] 基于DEMATEL方法和ISM模型,建立了矿山安全管理体系影响指标体系结构,从而探索安全管理实施的有效途径.非煤矿山方面:张舒等[7 ] 提出了基于ISM和AHP以及模糊评判的矿山安全管理能力分析与评价方法;王志等[8 ] 基于BP神经网络建立了非煤地下矿山的安全评价模型;Yin等[9 ] 在数据库基础上,通过对C#和AE的二次开发,构建了一个提供可视化服务和决策支持的非煤矿山安全管理信息系统.也有学者针对地下金属矿山的安全管理进行了研究,例如:罗周全等[10 ] 基于DEMATEL-ISM对地下金属矿山人机系统事故影响因素进行了分析;Hu等[11 ] 建立了使用灰色关联分析评价人—机—环境地下金属矿山安全行为的模型,并对模型进行了对比分析;尹土兵等[12 ] 将AHP与模糊评价方法应用于山东某地下金矿,得到了各要素的权重,并确定了矿井安全等级. ...
... 根据广义安全模型思想,构建某地下金属矿山的安全管理模型,如图2 所示.目前针对地下金属矿山构建的安全管理模型,主要着眼于造成事故的因素分析和隐患风险控制[10 ,11 ,12 ] ,具有一定的局限性.而本文构建模型的目标不仅限于防止事故发生,还包括保证各个微系统的正常运转,维持机群处于良好、稳定的状态,并追求人群的安全、健康、舒适和高效,使矿井内各系统协调运行,达到整个生产系统安全、高效运行的目的.广义安全管理模型的构建,为矿山安全管理组织的构建及管理活动提供了一种新选择和新思路.以下对图2 所示模型的各个系统及其相互关联进行说明. ...
基于DEMATEL-ISM的地下金属矿山人机系统事故影响因素分析
2
2017
... 安全管理是提升矿山安全性及减少事故发生的一种有效途径.已有较多学者开展了相关研究,煤矿方面:田水承等[2 ] 深入分析了造成煤矿事故的3类危险源,认为要控制煤矿事故频发,特别是加强对第三类危险源的控制和研究;傅贵等[3 ] 提出了行为安全“2-4”模型,并将该模型运用在煤矿安全管理中;Liu等[4 ] 探讨了煤矿生产中安全心理状态对安全管理的影响及其评价方法;Mustafa等[5 ] 运用层次对数线性分析法对某煤矿井下发生的职业伤害进行了研究;Su等[6 ] 基于DEMATEL方法和ISM模型,建立了矿山安全管理体系影响指标体系结构,从而探索安全管理实施的有效途径.非煤矿山方面:张舒等[7 ] 提出了基于ISM和AHP以及模糊评判的矿山安全管理能力分析与评价方法;王志等[8 ] 基于BP神经网络建立了非煤地下矿山的安全评价模型;Yin等[9 ] 在数据库基础上,通过对C#和AE的二次开发,构建了一个提供可视化服务和决策支持的非煤矿山安全管理信息系统.也有学者针对地下金属矿山的安全管理进行了研究,例如:罗周全等[10 ] 基于DEMATEL-ISM对地下金属矿山人机系统事故影响因素进行了分析;Hu等[11 ] 建立了使用灰色关联分析评价人—机—环境地下金属矿山安全行为的模型,并对模型进行了对比分析;尹土兵等[12 ] 将AHP与模糊评价方法应用于山东某地下金矿,得到了各要素的权重,并确定了矿井安全等级. ...
... 根据广义安全模型思想,构建某地下金属矿山的安全管理模型,如图2 所示.目前针对地下金属矿山构建的安全管理模型,主要着眼于造成事故的因素分析和隐患风险控制[10 ,11 ,12 ] ,具有一定的局限性.而本文构建模型的目标不仅限于防止事故发生,还包括保证各个微系统的正常运转,维持机群处于良好、稳定的状态,并追求人群的安全、健康、舒适和高效,使矿井内各系统协调运行,达到整个生产系统安全、高效运行的目的.广义安全管理模型的构建,为矿山安全管理组织的构建及管理活动提供了一种新选择和新思路.以下对图2 所示模型的各个系统及其相互关联进行说明. ...
Evaluation of personnel underground behavior safety for metal mines based on grey relevance analysis
2
2015
... 安全管理是提升矿山安全性及减少事故发生的一种有效途径.已有较多学者开展了相关研究,煤矿方面:田水承等[2 ] 深入分析了造成煤矿事故的3类危险源,认为要控制煤矿事故频发,特别是加强对第三类危险源的控制和研究;傅贵等[3 ] 提出了行为安全“2-4”模型,并将该模型运用在煤矿安全管理中;Liu等[4 ] 探讨了煤矿生产中安全心理状态对安全管理的影响及其评价方法;Mustafa等[5 ] 运用层次对数线性分析法对某煤矿井下发生的职业伤害进行了研究;Su等[6 ] 基于DEMATEL方法和ISM模型,建立了矿山安全管理体系影响指标体系结构,从而探索安全管理实施的有效途径.非煤矿山方面:张舒等[7 ] 提出了基于ISM和AHP以及模糊评判的矿山安全管理能力分析与评价方法;王志等[8 ] 基于BP神经网络建立了非煤地下矿山的安全评价模型;Yin等[9 ] 在数据库基础上,通过对C#和AE的二次开发,构建了一个提供可视化服务和决策支持的非煤矿山安全管理信息系统.也有学者针对地下金属矿山的安全管理进行了研究,例如:罗周全等[10 ] 基于DEMATEL-ISM对地下金属矿山人机系统事故影响因素进行了分析;Hu等[11 ] 建立了使用灰色关联分析评价人—机—环境地下金属矿山安全行为的模型,并对模型进行了对比分析;尹土兵等[12 ] 将AHP与模糊评价方法应用于山东某地下金矿,得到了各要素的权重,并确定了矿井安全等级. ...
... 根据广义安全模型思想,构建某地下金属矿山的安全管理模型,如图2 所示.目前针对地下金属矿山构建的安全管理模型,主要着眼于造成事故的因素分析和隐患风险控制[10 ,11 ,12 ] ,具有一定的局限性.而本文构建模型的目标不仅限于防止事故发生,还包括保证各个微系统的正常运转,维持机群处于良好、稳定的状态,并追求人群的安全、健康、舒适和高效,使矿井内各系统协调运行,达到整个生产系统安全、高效运行的目的.广义安全管理模型的构建,为矿山安全管理组织的构建及管理活动提供了一种新选择和新思路.以下对图2 所示模型的各个系统及其相互关联进行说明. ...
基于AHP及模糊综合评判的地下金属矿山安全分析与评价
2
2015
... 安全管理是提升矿山安全性及减少事故发生的一种有效途径.已有较多学者开展了相关研究,煤矿方面:田水承等[2 ] 深入分析了造成煤矿事故的3类危险源,认为要控制煤矿事故频发,特别是加强对第三类危险源的控制和研究;傅贵等[3 ] 提出了行为安全“2-4”模型,并将该模型运用在煤矿安全管理中;Liu等[4 ] 探讨了煤矿生产中安全心理状态对安全管理的影响及其评价方法;Mustafa等[5 ] 运用层次对数线性分析法对某煤矿井下发生的职业伤害进行了研究;Su等[6 ] 基于DEMATEL方法和ISM模型,建立了矿山安全管理体系影响指标体系结构,从而探索安全管理实施的有效途径.非煤矿山方面:张舒等[7 ] 提出了基于ISM和AHP以及模糊评判的矿山安全管理能力分析与评价方法;王志等[8 ] 基于BP神经网络建立了非煤地下矿山的安全评价模型;Yin等[9 ] 在数据库基础上,通过对C#和AE的二次开发,构建了一个提供可视化服务和决策支持的非煤矿山安全管理信息系统.也有学者针对地下金属矿山的安全管理进行了研究,例如:罗周全等[10 ] 基于DEMATEL-ISM对地下金属矿山人机系统事故影响因素进行了分析;Hu等[11 ] 建立了使用灰色关联分析评价人—机—环境地下金属矿山安全行为的模型,并对模型进行了对比分析;尹土兵等[12 ] 将AHP与模糊评价方法应用于山东某地下金矿,得到了各要素的权重,并确定了矿井安全等级. ...
... 根据广义安全模型思想,构建某地下金属矿山的安全管理模型,如图2 所示.目前针对地下金属矿山构建的安全管理模型,主要着眼于造成事故的因素分析和隐患风险控制[10 ,11 ,12 ] ,具有一定的局限性.而本文构建模型的目标不仅限于防止事故发生,还包括保证各个微系统的正常运转,维持机群处于良好、稳定的状态,并追求人群的安全、健康、舒适和高效,使矿井内各系统协调运行,达到整个生产系统安全、高效运行的目的.广义安全管理模型的构建,为矿山安全管理组织的构建及管理活动提供了一种新选择和新思路.以下对图2 所示模型的各个系统及其相互关联进行说明. ...
基于AHP及模糊综合评判的地下金属矿山安全分析与评价
2
2015
... 安全管理是提升矿山安全性及减少事故发生的一种有效途径.已有较多学者开展了相关研究,煤矿方面:田水承等[2 ] 深入分析了造成煤矿事故的3类危险源,认为要控制煤矿事故频发,特别是加强对第三类危险源的控制和研究;傅贵等[3 ] 提出了行为安全“2-4”模型,并将该模型运用在煤矿安全管理中;Liu等[4 ] 探讨了煤矿生产中安全心理状态对安全管理的影响及其评价方法;Mustafa等[5 ] 运用层次对数线性分析法对某煤矿井下发生的职业伤害进行了研究;Su等[6 ] 基于DEMATEL方法和ISM模型,建立了矿山安全管理体系影响指标体系结构,从而探索安全管理实施的有效途径.非煤矿山方面:张舒等[7 ] 提出了基于ISM和AHP以及模糊评判的矿山安全管理能力分析与评价方法;王志等[8 ] 基于BP神经网络建立了非煤地下矿山的安全评价模型;Yin等[9 ] 在数据库基础上,通过对C#和AE的二次开发,构建了一个提供可视化服务和决策支持的非煤矿山安全管理信息系统.也有学者针对地下金属矿山的安全管理进行了研究,例如:罗周全等[10 ] 基于DEMATEL-ISM对地下金属矿山人机系统事故影响因素进行了分析;Hu等[11 ] 建立了使用灰色关联分析评价人—机—环境地下金属矿山安全行为的模型,并对模型进行了对比分析;尹土兵等[12 ] 将AHP与模糊评价方法应用于山东某地下金矿,得到了各要素的权重,并确定了矿井安全等级. ...
... 根据广义安全模型思想,构建某地下金属矿山的安全管理模型,如图2 所示.目前针对地下金属矿山构建的安全管理模型,主要着眼于造成事故的因素分析和隐患风险控制[10 ,11 ,12 ] ,具有一定的局限性.而本文构建模型的目标不仅限于防止事故发生,还包括保证各个微系统的正常运转,维持机群处于良好、稳定的状态,并追求人群的安全、健康、舒适和高效,使矿井内各系统协调运行,达到整个生产系统安全、高效运行的目的.广义安全管理模型的构建,为矿山安全管理组织的构建及管理活动提供了一种新选择和新思路.以下对图2 所示模型的各个系统及其相互关联进行说明. ...
广义安全模型构建研究
2
2018
... 以往安全管理方面的研究大多基于狭义安全模型[13 ] ,所构建模型仅限于事故的预防和风险控制,存在一定的局限性.随着安全学科的发展,安全管理研究范畴不再局限于事故预防和风险控制,因而出现了广义安全模型,该模型追求整个系统的协调运作和保障人们的身心健康,弥补了狭义安全模型仅限于事故防范和风险控制的缺陷.本文运用广义安全模型,构建地下金属矿山的安全管理模型. ...
... 广义安全模型是吴超等[13 ] 于2018年相对于传统的狭义安全模型提出的.广义安全模型由“微系统”、“中系统””和“宏系统”三级子系统构成,人群、机群的匹配构成微系统;人群、机群分别与对人、机作用的学科匹配构成中系统;对人、机进行作用的学科相互匹配构成宏系统,模型组成如图1 所示.广义安全模型通过“微系统”、“中系统”和“宏系统”中的要素相互协调作用,可以达到整个系统安全运转的目的. ...
广义安全模型构建研究
2
2018
... 以往安全管理方面的研究大多基于狭义安全模型[13 ] ,所构建模型仅限于事故的预防和风险控制,存在一定的局限性.随着安全学科的发展,安全管理研究范畴不再局限于事故预防和风险控制,因而出现了广义安全模型,该模型追求整个系统的协调运作和保障人们的身心健康,弥补了狭义安全模型仅限于事故防范和风险控制的缺陷.本文运用广义安全模型,构建地下金属矿山的安全管理模型. ...
... 广义安全模型是吴超等[13 ] 于2018年相对于传统的狭义安全模型提出的.广义安全模型由“微系统”、“中系统””和“宏系统”三级子系统构成,人群、机群的匹配构成微系统;人群、机群分别与对人、机作用的学科匹配构成中系统;对人、机进行作用的学科相互匹配构成宏系统,模型组成如图1 所示.广义安全模型通过“微系统”、“中系统”和“宏系统”中的要素相互协调作用,可以达到整个系统安全运转的目的. ...
模糊神经网络技术在矿山安全评价中的适应性研究
1
2005
... 对于矿山的安全评价,已有学者进行了相关研究[8 ,14 ,15 ] ,其中运用人工智能(如B-P神经网络)进行评价的方法需要大量的原始评价数据进行训练,从而保证结果的准确性,因此并不适用于新构建的评价体系.本文耦合云模型、AHP法和CRITIC法,提出了一套结合广义安全模型的安全评价方法. ...
模糊神经网络技术在矿山安全评价中的适应性研究
1
2005
... 对于矿山的安全评价,已有学者进行了相关研究[8 ,14 ,15 ] ,其中运用人工智能(如B-P神经网络)进行评价的方法需要大量的原始评价数据进行训练,从而保证结果的准确性,因此并不适用于新构建的评价体系.本文耦合云模型、AHP法和CRITIC法,提出了一套结合广义安全模型的安全评价方法. ...
基于未确知属性层次法的矿山资源环境安全评价模型
1
2013
... 对于矿山的安全评价,已有学者进行了相关研究[8 ,14 ,15 ] ,其中运用人工智能(如B-P神经网络)进行评价的方法需要大量的原始评价数据进行训练,从而保证结果的准确性,因此并不适用于新构建的评价体系.本文耦合云模型、AHP法和CRITIC法,提出了一套结合广义安全模型的安全评价方法. ...
基于未确知属性层次法的矿山资源环境安全评价模型
1
2013
... 对于矿山的安全评价,已有学者进行了相关研究[8 ,14 ,15 ] ,其中运用人工智能(如B-P神经网络)进行评价的方法需要大量的原始评价数据进行训练,从而保证结果的准确性,因此并不适用于新构建的评价体系.本文耦合云模型、AHP法和CRITIC法,提出了一套结合广义安全模型的安全评价方法. ...
不确定性人工智能
1
2005
... (1)云模型.云模型的概念是李德毅院士等[16 ] 于1995年提出的,是处理定性概念与定量描述的不确定转换模型.该模型已被运用于多个领域[17 ] .云模型用期望值(E x )、熵(E n )和超熵(H e )这3个数值来表示数字的特征,考虑到了数字的模糊性和不确定性.期望值(E x )表示样本的中心值,熵(E n )是对样本不确定性的度量,超熵(H e )是对熵的不确定性的再描述[18 ] . ...
不确定性人工智能
1
2005
... (1)云模型.云模型的概念是李德毅院士等[16 ] 于1995年提出的,是处理定性概念与定量描述的不确定转换模型.该模型已被运用于多个领域[17 ] .云模型用期望值(E x )、熵(E n )和超熵(H e )这3个数值来表示数字的特征,考虑到了数字的模糊性和不确定性.期望值(E x )表示样本的中心值,熵(E n )是对样本不确定性的度量,超熵(H e )是对熵的不确定性的再描述[18 ] . ...
云模型及应用综述
1
2011
... (1)云模型.云模型的概念是李德毅院士等[16 ] 于1995年提出的,是处理定性概念与定量描述的不确定转换模型.该模型已被运用于多个领域[17 ] .云模型用期望值(E x )、熵(E n )和超熵(H e )这3个数值来表示数字的特征,考虑到了数字的模糊性和不确定性.期望值(E x )表示样本的中心值,熵(E n )是对样本不确定性的度量,超熵(H e )是对熵的不确定性的再描述[18 ] . ...
云模型及应用综述
1
2011
... (1)云模型.云模型的概念是李德毅院士等[16 ] 于1995年提出的,是处理定性概念与定量描述的不确定转换模型.该模型已被运用于多个领域[17 ] .云模型用期望值(E x )、熵(E n )和超熵(H e )这3个数值来表示数字的特征,考虑到了数字的模糊性和不确定性.期望值(E x )表示样本的中心值,熵(E n )是对样本不确定性的度量,超熵(H e )是对熵的不确定性的再描述[18 ] . ...
基于权重融合和云模型的岩爆倾向性预测研究
1
2018
... (1)云模型.云模型的概念是李德毅院士等[16 ] 于1995年提出的,是处理定性概念与定量描述的不确定转换模型.该模型已被运用于多个领域[17 ] .云模型用期望值(E x )、熵(E n )和超熵(H e )这3个数值来表示数字的特征,考虑到了数字的模糊性和不确定性.期望值(E x )表示样本的中心值,熵(E n )是对样本不确定性的度量,超熵(H e )是对熵的不确定性的再描述[18 ] . ...
基于权重融合和云模型的岩爆倾向性预测研究
1
2018
... (1)云模型.云模型的概念是李德毅院士等[16 ] 于1995年提出的,是处理定性概念与定量描述的不确定转换模型.该模型已被运用于多个领域[17 ] .云模型用期望值(E x )、熵(E n )和超熵(H e )这3个数值来表示数字的特征,考虑到了数字的模糊性和不确定性.期望值(E x )表示样本的中心值,熵(E n )是对样本不确定性的度量,超熵(H e )是对熵的不确定性的再描述[18 ] . ...
正态云模型雾化性质统计分析
1
2010
... 按式(1)~(3)计算数据的云数字特征,利用正态正向云发生器得到纵轴表示不确定度(μ )、横轴表示分数(a )的云图(图3 ).当所得云图的云滴离散程度大,呈现雾状时,说明参与评判的专家意见不统一,可让专家进行重新评判.刘禹等[19 ] 通过大量的统计分析,得到云雾化的临界条件为H e = E n / 3 ,当H e > E n / 3 时,云图发生雾化,代表专家意见分歧较大,需要对评分数据进行进一步处理.例如:某一项指标由5个专家评判的得分为A = [ 4,4 , 5,6 , 6 ] ,云图如图3 (a)所示,可见评分有较明确的中心值,说明专家意见较统一,云图没有雾化;某一项指标由5个专家评判的得分为A = [ 5,5 , 5,9 , 9 ] ,云图如图3 (b)所示,可见评分没有明确的中心值,说明专家意见分歧较大,云图发生了雾化. ...
正态云模型雾化性质统计分析
1
2010
... 按式(1)~(3)计算数据的云数字特征,利用正态正向云发生器得到纵轴表示不确定度(μ )、横轴表示分数(a )的云图(图3 ).当所得云图的云滴离散程度大,呈现雾状时,说明参与评判的专家意见不统一,可让专家进行重新评判.刘禹等[19 ] 通过大量的统计分析,得到云雾化的临界条件为H e = E n / 3 ,当H e > E n / 3 时,云图发生雾化,代表专家意见分歧较大,需要对评分数据进行进一步处理.例如:某一项指标由5个专家评判的得分为A = [ 4,4 , 5,6 , 6 ] ,云图如图3 (a)所示,可见评分有较明确的中心值,说明专家意见较统一,云图没有雾化;某一项指标由5个专家评判的得分为A = [ 5,5 , 5,9 , 9 ] ,云图如图3 (b)所示,可见评分没有明确的中心值,说明专家意见分歧较大,云图发生了雾化. ...
基于云模型的退役铀尾矿库渗水污染现状分析及水质综合评价
1
2016
... ②评判矿井安全状况的等级云图的生成.利用综合等级云图评价某一时期的安全评价状况,能够考虑数字的模糊性与随机性[20 ] .表1 列出了各等级云图对应评价等级的分数范围,根据式(4)~式(6)计算各等级云图的特征数字. ...
基于云模型的退役铀尾矿库渗水污染现状分析及水质综合评价
1
2016
... ②评判矿井安全状况的等级云图的生成.利用综合等级云图评价某一时期的安全评价状况,能够考虑数字的模糊性与随机性[20 ] .表1 列出了各等级云图对应评价等级的分数范围,根据式(4)~式(6)计算各等级云图的特征数字. ...
How to make a decision:The analytic hierarchy process
1
1994
... (2)AHP法.层次分析法(AHP)是美国著名的运筹学家Satty等[21 ] 于20世纪70年代提出的一种用一定标度对人的主观判断进行量化的方法. ...
Determining objective weights in multiple criteria problems:The critic method
1
1995
... (3)CRITIC法.CRITIC法是Diakoulaki[22 ] 于1995年提出的一种客观赋权方法,基本原理是通过样本的统计值考察样本所含信息量来确定权重.CRITIC法认为样本标准差越大,所含信息量越大,其权重也应越大.若样本与其他样本的正相关性越小,所含信息量越大,其权重也越大;若样本与其他样本的负相关性越大,所含信息量越大,其权重也越大.客观权重按式(9)~式(10)进行计算. ...