全尾砂沉降浓缩试验研究
Experimental Study on Sedimentation and Concentration of Unclassified Tailings
收稿日期: 2018-03-26 修回日期: 2018-06-23 网络出版日期: 2019-03-11
| 基金资助: |
|
Received: 2018-03-26 Revised: 2018-06-23 Online: 2019-03-11
作者简介 About authors
郭利杰(1980-),男,河南南乐人,教授,从事矿山充填技术与矿冶固废资源化利用方面的研究工作
关键词:
Keywords:
本文引用格式
陈鑫政, 郭利杰, 李文臣, 李宗楠.
CHEN Xinzheng, GUO Lijie, LI Wenchen, LI Zongnan.
1 沉降试验
1.1 试验材料
(1)絮凝剂。试验选用的絮凝剂为聚丙烯酰胺(PAM)阴离子型有机高分子絮凝剂,型号分别为HJ63016、AL504、SNF6013S和HJ70010。
表1 全尾砂基本物理参数
Table 1
| 参数 | 数值 | 参数 | 数值 |
|---|---|---|---|
| 密度/(g·cm-3) | 3.19 | 曲率系数Cc | 1.13 |
| 堆积密度/(g·cm-3) | 1.39 | -200目/% | 65.26 |
| 孔隙率/% | 56.5 | -400目/% | 49.81 |
| 不均匀系数Cu | 21.17 |
图1
1.2 试验原理
根据斯托克斯定律,固体颗粒在液体中的沉降速率与其粒径的平方成正比,与液体黏度成反比,可表示为
式中:
絮凝剂作用原理是通过中和颗粒表面电荷,降低或消除颗粒之间的排斥力,形成高分子链网并捕获细颗粒,使颗粒体积不断增大,沉降速度加快,加速了浓密过程。
1.3 试验方案
试验采用单因素分析方法,不考虑给料浓度与絮凝剂添加量之间的交互作用,主要包括4个部分。分述如下:
(1)絮凝剂优选。根据全尾砂性质和工程类比,初步选择4种絮凝剂品牌型号:HJ63016(北京恒聚,中国)、HJ70010(北京恒聚,中国)、AL504(北京希涛,中国)和SNF6013S(爱森,法国),开展尾砂浆静态絮凝沉降试验,从中选择一种最优的絮凝剂型号。其中,尾砂浆质量浓度为10%,絮凝剂溶液浓度为0.5%,絮凝剂添加量为20 g/t。
(2)最佳给料浓度选择。当确定最优絮凝剂型号后,配置质量浓度为6%、8%、10%、12%、14%、20%、25%和30%的尾砂浆,开展静态絮凝沉降试验,其中,絮凝剂溶液浓度为0.5%,絮凝剂添加量为20 g/t。
(3)最佳絮凝剂添加量选择。当确定最佳给料浓度后,配置该质量浓度的尾砂浆6组,开展静态絮凝沉降试验,其中,絮凝剂溶液浓度为0.5%,絮凝剂添加量分别为5,10,15,20,30 g/t。
(4)标准动态絮凝沉降试验。根据上述试验结果,开展标准动态絮凝沉降试验,验证所选择的给料浓度和絮凝剂添加量能否满足矿山要求。
试验采用固体通量和底流浓度作为絮凝剂优选、最佳给料浓度和最佳絮凝剂添加量的衡量指标。固体通量是指单位面积、单位时间内通过的固体质量,可表示为
式中:Fs为固体通量(t·h-1·m-2);ρ为尾砂浆密度(g/cm3);v为固体颗粒沉降速度(m/s);Cw为尾砂浆的质量浓度(%)。
底流浓度是指沉降24 h去除上部澄清水之后的砂浆浓度,计算公式为
式中:Cw为底流的质量浓度(%);m1为尾砂质量(g);m2为底流质量(g)。
2 试验结果与分析
2.1 絮凝剂优选
表2 絮凝剂优选试验结果
Table 2
絮凝剂 型号 | 质量浓度/% | 添加量/(g·t-1) | 底流浓度/% | 沉降速率/(m·h-1) | 固体通量/(t·h-1·m-2) |
|---|---|---|---|---|---|
| HJ63016 | 10 | 20 | 59 | 30.38 | 3.26 |
| AL504 | 10 | 20 | 57 | 29.84 | 3.20 |
| SNF6013S | 10 | 20 | 57 | 29.81 | 3.17 |
| HJ70010 | 10 | 20 | 58 | 30.49 | 3.27 |
图2
图2
固液分离界面高度随时间的变化曲线(不同絮凝剂)
Fig.2
Change curves of height of solid-liquid separation interface with time(different flocculants)
图3
图3
各絮凝剂型号试验组的固体通量与底流浓度
Fig.3
Bottom flow concentration and solid flux of each experiment with different flocculant type
2.2 最佳给料浓度选择
表3 最佳给料浓度选择试验结果
Table 3
| 给料浓度/% | 絮凝剂添加量/(g·t-1) | 底流浓度/% | 沉降速率/(m·h-1) | 固体通量/(t·h-1·m-2) |
|---|---|---|---|---|
| 6 | 20 | 54 | 34.0 | 2.07 |
| 8 | 20 | 57 | 29.4 | 2.49 |
| 10 | 20 | 57 | 27.6 | 2.93 |
| 12 | 20 | 60 | 20.2 | 2.61 |
| 14 | 20 | 63 | 17.3 | 2.68 |
| 20 | 20 | 63 | 7.7 | 1.77 |
| 25 | 20 | 63 | 4.9 | 1.45 |
| 30 | 20 | 64 | 2.5 | 0.91 |
图4
图4
固液分离界面高度随时间的变化曲线(不同给料浓度)
Fig.4
Change curves of height of solid-liquid separation interface with time(different feeding concentrations)
图5
图5
各给料浓度试验组的固体通量与底流浓度
Fig.5
Bottom flow concentration and solid flux of each experiment with different feeding concentration
由表3和图4可知,固液分离界面高度随时间的变化曲线分布在3个区域,其中给料浓度为30%时分布在最上部区域,沉降速率最小为2.5 m/h;给料浓度为20%和25%时分布在中部区域,沉降速率分别为7.7 m/h和4.9 m/h;给料浓度为6%~14%时分布在最下部区域,沉降速率大,分布范围为17.3~34.0 m/h。沉降速度越快,固液分离界面高度随时间的变化曲线的曲率越大,在5 min左右趋于水平。由表3和图5可知,固体通量随给料浓度的增加呈现先增大后减小的抛物线状变化规律,其中给料浓度为10%时达到最大固体通量;底流浓度随给料浓度的增大而增大,当给料浓度增加至14%后,底流浓度趋于稳定。综合考虑固体通量和底流浓度,选择10%~12%作为最佳给料浓度范围。
2.3 最佳絮凝剂添加量选择
表4 最佳絮凝剂添加量选择试验结果
Table 4
| 编号 | 絮凝剂添加量/(g·t-1) | 料浆密度/% | 底流浓度/% | 沉降速率/(m·h-1) | 固体通量/(t·h-1·m-2) |
|---|---|---|---|---|---|
| 1 | 5 | 10 | 64 | 23.54 | 2.53 |
| 2 | 10 | 10 | 66 | 24.98 | 2.62 |
| 3 | 15 | 10 | 62 | 29.41 | 3.12 |
| 4 | 20 | 10 | 61 | 30.96 | 3.31 |
| 5 | 25 | 10 | 62 | 30.74 | 3.26 |
| 6 | 30 | 10 | 61 | 32.00 | 3.40 |
图6
图6
固液分离界面高度随时间的变化曲线(不同絮凝剂添加量)
Fig.6
Change curves of height of solid-liquid separation interface with time(different flocculant dosages)
图7
图7
各絮凝剂添加量试验组的固体通量和底流浓度
Fig.7
Bottom flow concentration and solid flux of each experiment with different flocculant dosage
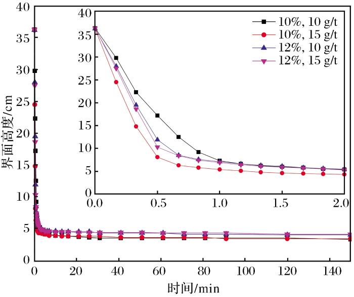
2.4 标准动态絮凝沉降试验
表 5 标准动态絮凝沉降试验结果
Table 5
| 编号 | 絮凝剂添加量/(g·t-1) | 料浆密度/% | 底流浓度/% | 沉降速率/(m·h-1) | 固体通量/(t·h-1·m-2) |
|---|---|---|---|---|---|
| 1# | 10 | 10 | 64.10 | 21.61 | 2.32 |
| 2# | 15 | 10 | 63.80 | 27.33 | 2.93 |
| 3# | 10 | 12 | 65.50 | 21.57 | 2.82 |
| 4# | 15 | 12 | 64.40 | 26.19 | 3.43 |
图8
图8
各试验组的固液分离界面高度随时间的变化曲线
Fig.8
Change curves of height of solid-liquid separation interface with time of different tests
图9
图9
1#至4#试验组的固体通量和底流浓度
Fig.9
Bottom flow concentration and solid flux of test 1# to 4#
3 结论
(1)对于某矿山全尾砂,阴离子聚丙烯酰胺絮凝沉降效率较佳,适合矿山尾砂浆沉降浓缩的最佳絮凝剂为HJ70010型絮凝剂。
(2)浓密机最佳给料浓度范围为10%~12%,最佳絮凝剂添加量范围为10~15g/t,固体通量和底流浓度分别达到3 t·h-1·m-2和64%。
(3)固体通量随给料浓度的增加呈现先增大后减小的抛物线状变化规律,随絮凝剂添加量的增加先增大后趋于稳定;底流浓度随给料浓度的增加先增大后趋于稳定,随絮凝剂添加量的增加呈现先增大后减小的抛物线状变化规律。
参考文献
尾矿和废石综合利用技术
[M].
Tailings and Waste Rock Comprehensive Utilization Technology
[M].
金属矿膏体充填理论与技术
[M].
Theory and Technology of Paste Filling in Metal Mine
[M].
我国胶结充填工艺发展的技术创新
[J].
Development and innovation of cemented filling technology in China
[J].
超细全尾砂絮凝沉降实验研究
[J].
Experimental study on flocculating sedimentation of ultra-fine unclassified tailings
[J].
鞍钢矿山超细铁矿全尾砂浆絮凝沉降特性试验
[J].
Experimental study on the flocculation and settling characteristics of the slurry with extra-fine iron total tailings in Angang Mine
[J].
细粒级尾砂絮凝沉降特性研究
[J].
Study on the flocculation settlement characteristics of fine-grained tailings
[J].
絮凝剂对全尾砂沉降性能影响试验研究
[J].
Experimental research of flocculant influence on settlement characteristic of unclassified tailings
[J].
全尾砂絮凝沉降的影响因素
[J].
Influence factors on flocculation sedimentation of unclassified tailings
[J].
基于响应曲面法优化全尾砂絮凝沉降实验研究
[J].
Experimental study on flocculation settlement of unclassified tailings based on response surface methodology
[J].
全尾砂絮凝沉降规律及其机理
[J].
Rule and mechanism of flocculation sedimentation of unclassified tailings
[J].
充填尾砂絮凝沉降规律试验研究
[J].
Experimental study on the rule of flocculation sedimentation of filling tailings
[J].
全尾砂浆最佳絮凝沉降参数
[J].
Optimal flocculating sedimentation parameters of unclassified tailings slurry
[J].
安徽某金矿山全尾砂絮凝沉降试验研究
[J].
Experimental study on the flocculating settling of unclassified tailings for a gold mine in Anhui Province
[J].26(Supp
.
全尾砂絮凝沉降参数预测模型研究
[J].
Study on the parameters prediction model of flocculating sedimentation of crude tailings
[J].
大红山铜矿全尾砂絮凝沉降的试验研究
[J].
Experimental study on all tailings flocculation settling in Dahongshan copper mine
[J].
全尾砂料浆磁化絮凝沉降特性
[J].
Flocculating sedimentation characteristic of pre-magnetized crude tailings slurry
[J].
The use of ultra-flocculation in optimization of the experimental flocculation procedures
[J].
Settling characteristics of ultrafine iron ore slimes
[J].
Enhanced flocculation and dewatering of clay mineral dispersions
[J].
Studies on the effect of flocculant adsorption on the dewatering of iron ore tailings
[J].
Guar gum as a selective flocculant for the beneficiation of alumina rich iron ore slimes:Density functional theory and experimental studies
[J].
浓缩机设计理论分析及应用
[J].
Theoretical analysis and application of thickener design
[J].
/
| 〈 |
|
〉 |


甘公网安备 62010202000672号