不同含水率下秦王川黄土抗剪强度与细观结构特征研究 |
| 李杰林,李大千,杨承业,张童 |
|
Study on Shear Strength and Meso-structure Characteristics of Qinwang-chuan Loess Under Different Water Content |
| Jielin LI,Daqian LI,Chengye YANG,Tong ZHANG |
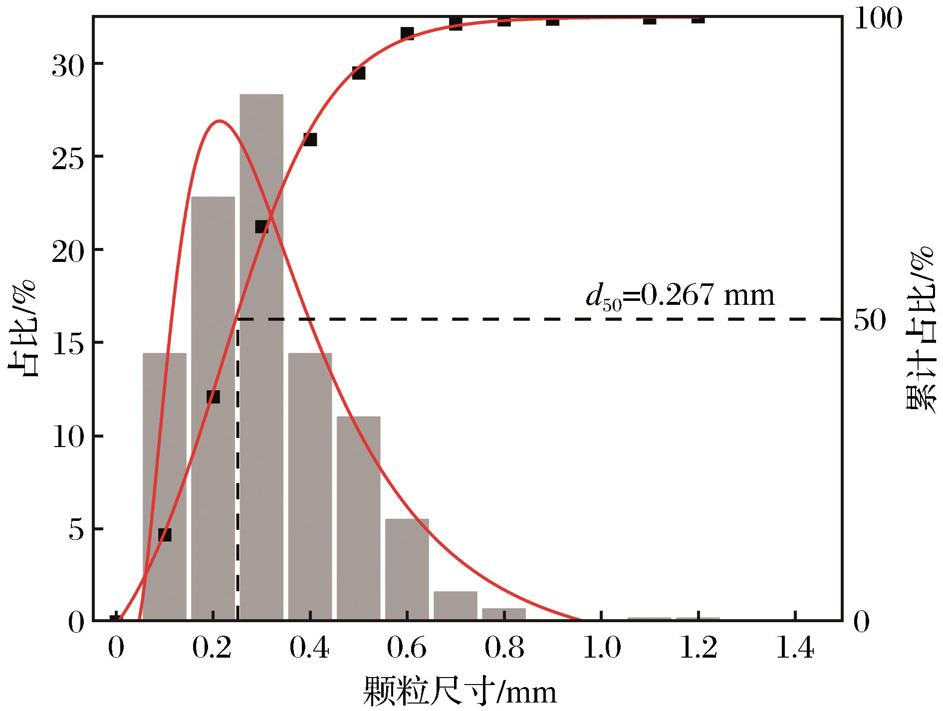
| 图2 土样粒径分布 |
| Fig.2 Particle size distribution of soil samples |
|