热冲击对花岗岩动态断裂行为的影响研究
王卫华,李凯,黄瑞新

Study on the Effect of Thermal Shock on Dynamic Fracture Behavior of Granite
Weihua WANG,Kai LI,Ruixin HUANG
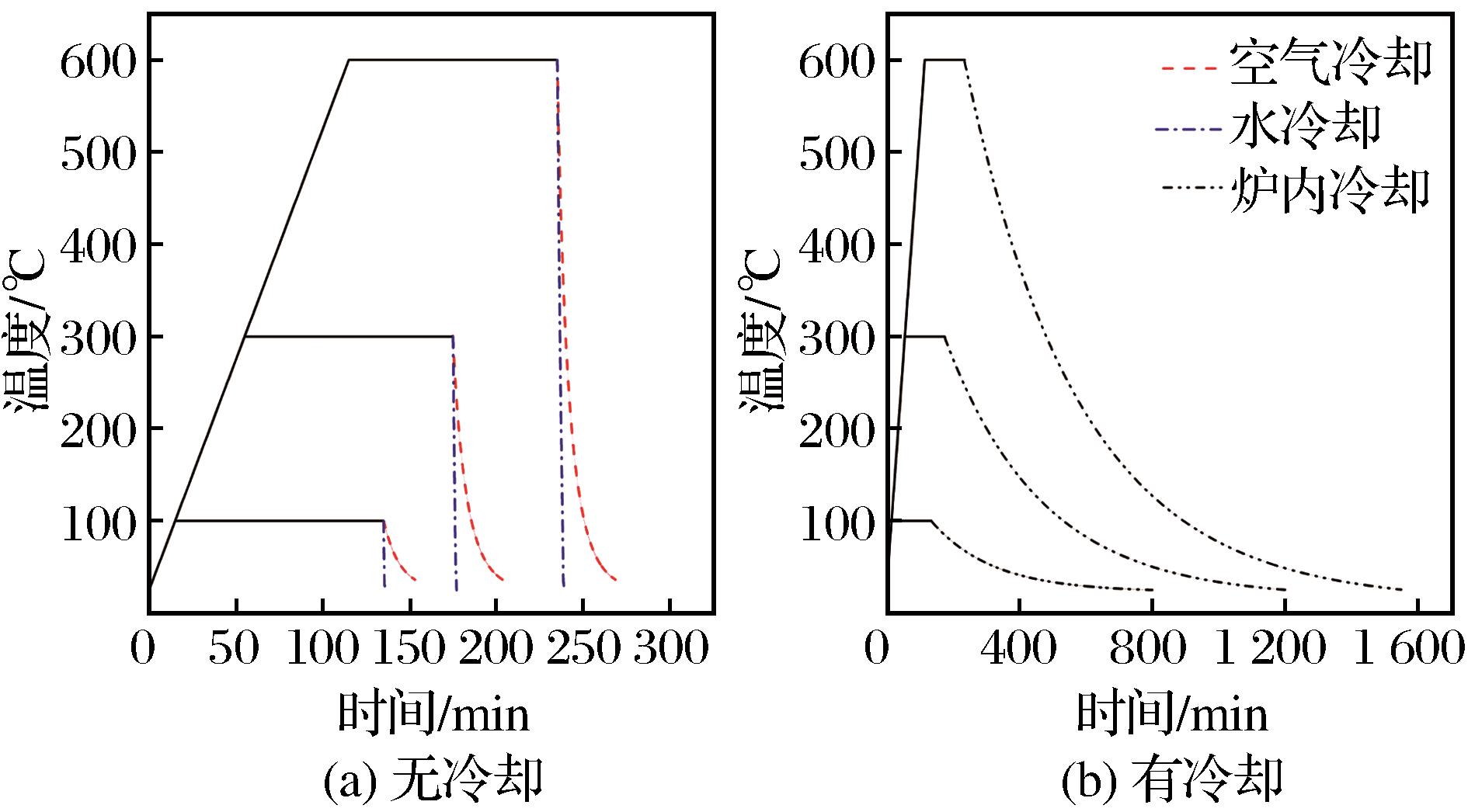
图2 热处理中的温度变化曲线
Fig.2 Temperature change curves of thermal treatments