赣南印支期白石钨(铜)矿床成矿岩体地球化学特征及地质意义
李利,王国光,李海立,肖惠良,陈乐柱

Geochemical Characteristics and Geological Significance of the Ore-forming Granite of Indosinian Baishi W-Cu Deposit in Southern Jiangxi Province
Li LI,Guoguang WANG,Haili LI,Huiliang XIAO,Lezhu CHEN
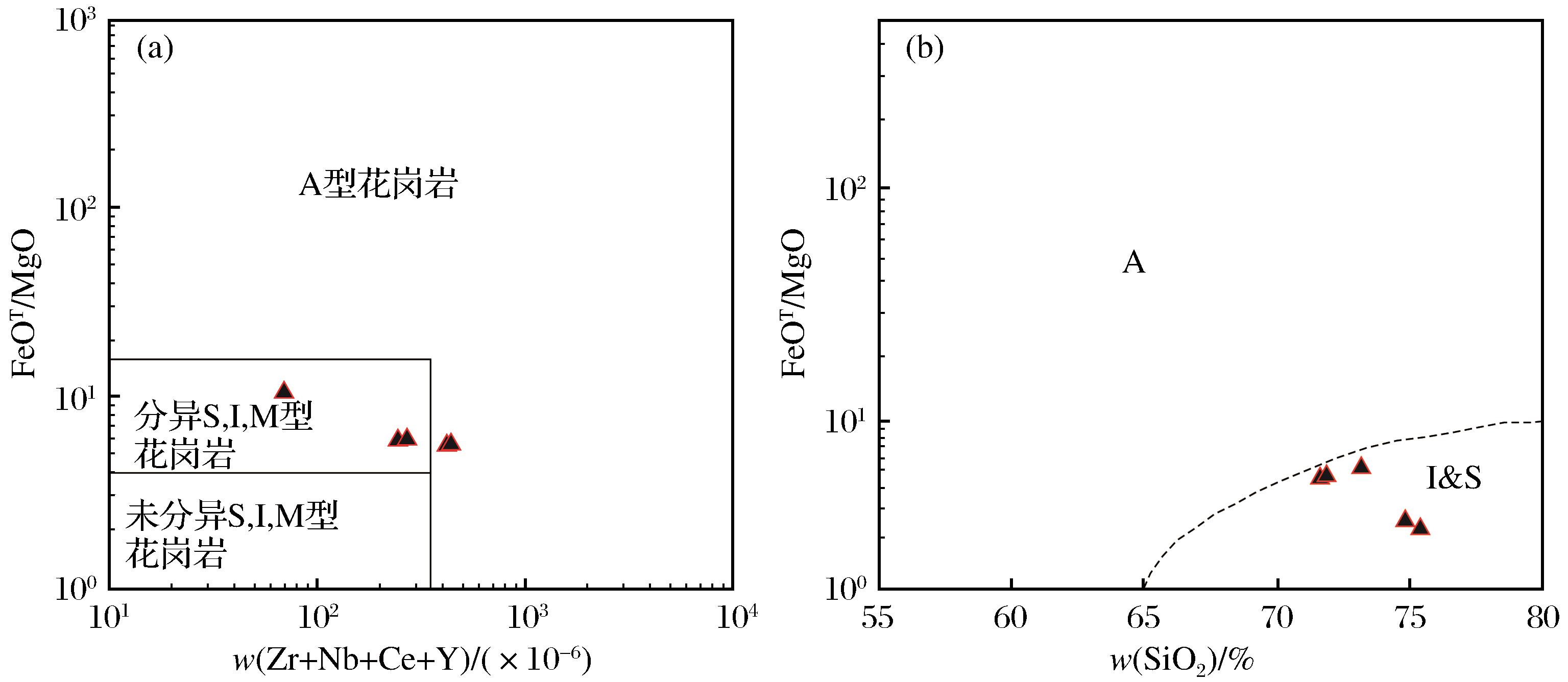
图7 白石花岗岩w(Zr+Nb+Ce+Y)-FeOT/MgO图解(a)(底图据Whalen et al.,1987)和w(SiO2)-FeOT/MgO图解(b)
(底图据Eby,1990
Fig.7 w(Zr+Nb+Ce+Y) - FeOT/MgO diagram(a)(base map according to Whalen et al.,1987) and w(SiO2) - FeOT/MgO diagram(b)(base map according to Eby,1990) of the Baishi granite