基于DPSIR模型的黄金行业绿色矿山建设综合评价研究 |
| 杨玮,薛梦鸽,龙涛,邓莎,邓博,方楠 |
|
Comprehensive Evaluation of Green Mine Construction in Gold Industry Based on DPSIR Model |
| Wei YANG,Mengge XUE,Tao LONG,Sha DENG,Bo DENG,Nan FANG |
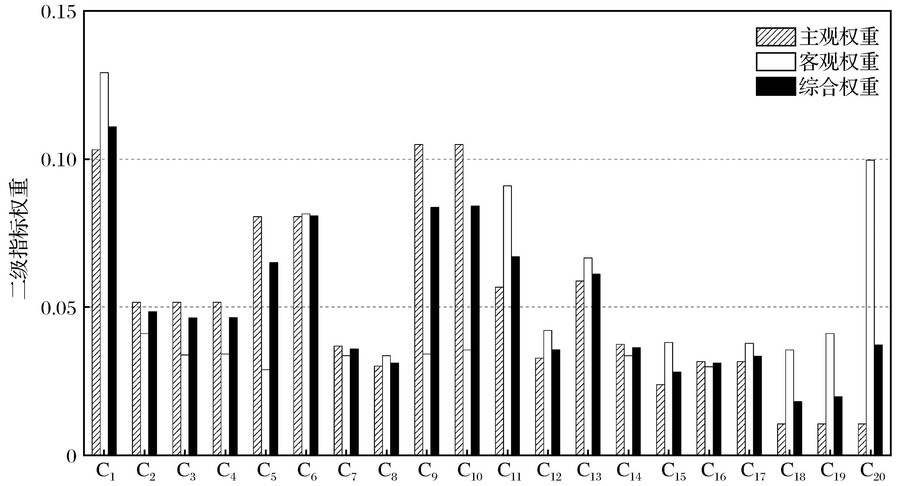
| 图4 二级指标权重对比 |
| Fig.4 Comparison of secondary indicator weights |
|